Advanced Search

Indexed by SCI、CA、РЖ、PA、CSA、ZR、etc .

Volume 36 Issue 5
Oct 2025
Turn off MathJax
Article Contents
Liping Liao, Minghao Gong, Zhiquan Yang, Yingzi Xu, Wenzhi Wei, Yao Wei. Experimental Study on Failure Process and Hydrological Response of Granite Residual Soil Slope with Different Fissure Positions in Southern China. Journal of Earth Science, 2025, 36(5): 1963-1976. doi: 10.1007/s12583-022-1770-6
Citation: Liping Liao, Minghao Gong, Zhiquan Yang, Yingzi Xu, Wenzhi Wei, Yao Wei. Experimental Study on Failure Process and Hydrological Response of Granite Residual Soil Slope with Different Fissure Positions in Southern China. Journal of Earth Science, 2025, 36(5): 1963-1976. doi: 10.1007/s12583-022-1770-6

Experimental Study on Failure Process and Hydrological Response of Granite Residual Soil Slope with Different Fissure Positions in Southern China

doi: 10.1007/s12583-022-1770-6
More Information
  • Corresponding author: Zhiquan Yang, yzq1983816@kust.edu.cn; Yingzi Xu, xuyingzi@gxu.edu.cn
  • Received Date: 01 Jul 2022
  • Accepted Date: 20 Oct 2022
  • Available Online: 14 Oct 2025
  • Issue Publish Date: 30 Oct 2025
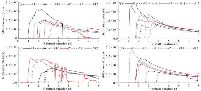
  • Granite residual soil slope is often destroyed, which poses great threats to Rong County in southeastern Guangxi, China. Heavy rainfall and fissures are the major triggering and internal factors. The fissure that controls the slope stability and the associated failure mechanisms remain unclear. The purpose of this study was to identify the controlling fissures through field investigation, elucidate the effect of its position, and analyze the failure process and hydrological response of residual soil slope through artificial flume model tests. The results comprised five aspects. (1) Surface weathering and unloading fissures could affect slope stability. (2) The failure processes with different fissure positions exhibited inconsistent characteristics. (3) The volume moisture content (VMC) had the most direct response at the fissure tip. The corresponding infiltration rate was the highest. The response time of pore water pressure (PWP) was longer than that of VMC. Fluctuations in PWP were associated with VMC and changes in the soil microstructure due to local deformation. (4) Slope failure was accompanied by serious soil erosion. This could be attributed to the infiltration direction and the interaction between soil and water. (5) Fissured soil slopes experienced five similar failure processes: sheet erosion and partial failure of the slope foot, occurrence of preferential flow and enlargement of the sliding area, creep deformation and tension fissure emergence, block sliding and gully erosion, and flow-slip.

     

  • Conflict of Interest
    The authors declare that they have no conflict of interest.
  • loading
  • Abd, A. H., Utili, S., 2017. Design of Geosynthetic-Reinforced Slopes in Cohesive Backfills. Geotextiles and Geomembranes, 45(6): 627–641. https://doi.org/10.1016/j.geotexmem.2017.08.004
    An, R., Kong, L. W., Li, C. S., et al., 2020. Strength Attenuation and Microstructure Damage of Granite Residual Soils under Hot and Rainy Weather. Chinese Journal of Rock Mechanics and Engineering, 39(9): 1902–1911 (in Chinese with English Abstract)
    Berti, M., Simoni, A., 2012. Observation and Analysis of Near-Surface Pore-Pressure Measurements in Clay-Shales Slopes. Hydrological Processes, 26(14): 2187–2205. https://doi.org/10.1 002/hyp.7981 doi: 10.1002/hyp.7981
    Chang, W. B., Wang, P., Wang, H. J., et al., 2021. Simulation of the Q2 Loess Slope with Seepage Fissure Failure and Seismic Response via Discrete Element Method. Bulletin of Engineering Geology and the Environment, 80(4): 3495–3511. https://doi.org/10.1007/s10064-021-02139-z
    Chen, G., Meng, X. M., Qiao, L., et al., 2018. Response of a Loess Landslide to Rainfall: Observations from a Field Artificial Rainfall Experiment in Bailong River Basin, China. Landslides, 15(5): 895–911. https://doi.org/10.1007/s10346-017-0924-6
    Chen, J., Lei, X. W., Zhang, H. L., et al., 2021. Laboratory Model Test Study of the Hydrological Effect on Granite Residual Soil Slopes Considering Different Vegetation Types. Scientific Reports, 11(1): 14668. https://doi.org/10.1038/s41598-021-9427 6-4 doi: 10.1038/s41598-021-94276-4
    Cheng, Q., Tang, C. S., Xu, D., et al., 2021. Water Infiltration in a Cracked Soil Considering Effect of Drying-Wetting Cycles. Journal of Hydrology, 593: 125640. https://doi.org/10.1016/j.jhyd rol.2020.125640 doi: 10.1016/j.jhydrol.2020.125640
    Huang, C. -C., Ju, Y. -J., Hwu, L. -K., et al., 2009. Internal Soil Moisture and Piezometric Responses to Rainfall-Induced Shallow Slope Failures. Journal of Hydrology, 370(1/2/3/4): 39–51. https://doi.org/10.1016/j.jhydrol.2009.02.051
    Costa, S., Kodikara, J., Barbour, S. L., et al., 2018. Theoretical Analysis of Desiccation Crack Spacing of a Thin, Long Soil Layer. Acta Geotechnica, 13(1): 39–49. https://doi.org/10.1007/s11440-017-0602-9
    Cotecchia, F., Vitone, C., Santaloia, F., et al., 2015. Slope Instability Processes in Intensely Fissured Clays: Case Histories in the Southern Apennines. Landslides, 12(5): 877–893. https://doi.org/10.1007/s10346-014-0516-7
    Cui, Y. F., Zhou, X. J., Guo, C. X., 2017. Experimental Study on the Moving Characteristics of Fine Grains in Wide Grading Unconsolidated Soil under Heavy Rainfall. Journal of Mountain Science, 14(3): 417–431. https://doi.org/10.1007/s11629-016-43 03-x doi: 10.1007/s11629-016-4303-x
    Gao, Q. F., Zeng, L., Shi, Z. N., 2021. Effects of Desiccation Cracks and Vegetation on the Shallow Stability of a Red Clay Cut Slope under Rainfall Infiltration. Computers and Geotechnics, 140: 104436. https://doi.org/10.1016/j.compgeo.2021.104436
    He, Y., Liu, Y., Zhang, Y. B., et al., 2019. Stability Assessment of Three-Dimensional Slopes with Cracks. Engineering Geology, 252: 136–144. https://doi.org/10.1016/j.enggeo.2019.03.001
    Hu, H. T., Wang, A. F., Liu, Y. J., et al., 2009. Stability of Granite Soil High Slopes. Chinese Journal of Geotechnical Engineering, 31(6): 824–828 (in Chinese with English Abstract)
    Julina, M., Thyagaraj, T., 2019. Quantification of Desiccation Cracks Using X-Ray Tomography for Tracing Shrinkage Path of Compacted Expansive Soil. Acta Geotechnica, 14(1): 35–56. https://doi.org/10.1007/s11440-018-0647-4
    Krzeminska, D. M., Bogaard, T. A., Debieche, T. H., et al., 2014. Field Investigation of Preferential Fissure Flow Paths with Hydrochemical Analysis of Small-Scale Sprinkling Experiments. Earth Surface Dynamics, 2(1): 181–195. https://doi.org/10.5194/esurf-2-181-2014
    Krzeminska, D. M., Bogaard, T. A., Malet, J. P., et al., 2013. A Model of Hydrological and Mechanical Feedbacks of Preferential Fissure Flow in a Slow-Moving Landslide. Hydrology and Earth System Sciences, 17(3): 947–959. https://doi.org/10.5194/hess-17-947-2013
    Lei, X. Q., Yang, Z. J., He, S. M., et al., 2017. Numerical Investigation of Rainfall-Induced Fines Migration and Its Influences on Slope Stability. Acta Geotechnica, 12(6): 1431–1446. https://doi.org/10.1007/s11440-017-0600-y
    Li, A. G., Yue, Z. Q., Tham, L. G., et al., 2005. Field-Monitored Variations of Soil Moisture and Matric Suction in a Saprolite Slope. Canadian Geotechnical Journal, 42(1): 13–26. https://doi.org/10.1139/t04-069
    Liao, L. P., Zhu, Y. Y., Zhao, Y. L., et al., 2019. Landslide Integrated Characteristics and Susceptibility Assessment in Rongxian County of Guangxi, China. Journal of Mountain Science, 16(3): 657–676. https://doi.org/10.1007/s11629-017-4804-2
    Liu, W. P., Ouyang, G. Q., Luo, X. Y., et al., 2020a. Moisture Content, Pore-Water Pressure and Wetting Front in Granite Residual Soil during Collapsing Erosion with Varying Slope Angle. Geomorphology, 362: 107210. https://doi.org/10.1016/j.geomorp h.2020.107210 doi: 10.1016/j.geomorph.2020.107210
    Liu, W. P., Song, X. Q., Luo, J., et al., 2020b. The Processes and Mechanisms of Collapsing Erosion for Granite Residual Soil in Southern China. Journal of Soils and Sediments, 20(2): 992–1002. https://doi.org/10.1007/s11368-019-02467-4
    Louati, F., Trabelsi, H., Jamei, M., et al., 2021. Impact of Wetting-Drying Cycles and Cracks on the Permeability of Compacted Clayey Soil. European Journal of Environmental and Civil Engineering, 25(4): 696–721. https://doi.org/10.1080/1964818 9.2018.1541144 doi: 10.1080/19648189.2018.1541144
    Lu, Z. C., 2021. Research on Macro- and Meso-Mechanical Properties of Weathered Granite Sand in Three Gorges Based on Particulate Discrete Element Method: [Dissertation]. China University of Geosciences, Wuhan (in Chinese)
    Luo, Y., Zhang, J. M., Zhou, Z., et al., 2021. Investigation and Prediction of Water Infiltration Process in Cracked Soils Based on a Full-Scale Model Test. Geoderma, 400: 115111. https://doi.org/10.1016/j.geoderma.2021.115111
    Michalowski, R. L., 2013. Stability Assessment of Slopes with Cracks Using Limit Analysis. Canadian Geotechnical Journal, 50(10): 1011–1021. https://doi.org/10.1139/cgj-2012-0448
    Mukhlisin, M., Khiyon, K. N., 2018. The Effects of Cracking on Slope Stability. Journal of the Geological Society of India, 91(6): 704–710. https://doi.org/10.1007/s12594-018-0927-5
    Padilla, C., Onda, Y., Iida, T., et al., 2014. Characterization of the Groundwater Response to Rainfall on a Hillslope with Fractured Bedrock by Creep Deformation and Its Implication for the Generation of Deep-Seated Landslides on Mt. Wanitsuka, Kyushu Island. Geomorphology, 204: 444–458. https://doi.org/10.1016/j.geomorph.2013.08.024
    Rahardjo, H., Satyanaga, A., Leong, E. C., et al., 2012. Variability of Residual Soil Properties. Engineering Geology, 141: 124–140. https://doi.org/10.1016/j.enggeo.2012.05.009
    Rayhani, M. H. T., Yanful, E. K., Fakher, A., 2007. Desiccation-Induced Cracking and Its Effect on the Hydraulic Conductivity of Clayey Soils from Iran. Canadian Geotechnical Journal, 44(3): 276–283. https://doi.org/10.1139/t06-125
    Rayhani, M. H. T., Yanful, E. K., Fakher, A., 2008. Physical Modeling of Desiccation Cracking in Plastic Soils. Engineering Geology, 97(1/2): 25–31. https://doi.org/10.1016/j.enggeo.2007.11.003
    Rosone, M., Ziccarelli, M., Ferrari, A., et al., 2018. On the Reactivation of a Large Landslide Induced by Rainfall in Highly Fissured Clays. Engineering Geology, 235: 20–38. https://doi.org/10.1016/j.enggeo.20 18.01.016 doi: 10.1016/j.enggeo.2018.01.016
    Shu, R. J., Kong, L. W., Liu, B. H., et al., 2021. Stress-Strain Strength Characteristics of Undisturbed Granite Residual Soil Considering Different Patterns of Variation of Mean Effective Stress. Applied Sciences, 11(4): 1874. https://doi.org/10.3390/app11041874
    Stockton, E., Leshchinsky, B. A., Olsen, M. J., et al., 2019. Influence of both Anisotropic Friction and Cohesion on the Formation of Tension Cracks and Stability of Slopes. Engineering Geology, 249: 31–44. https://doi.org/10.1016/j.enggeo.2018.12.016
    Tang, C. S., Cheng, Q., Leng, T., et al., 2020. Effects of Wetting-Drying Cycles and Desiccation Cracks on Mechanical Behavior of an Unsaturated Soil. CATENA, 194: 104721. https://doi.org/10.1016/j.cate na.2020.104721 doi: 10.1016/j.catena.2020.104721
    Utili, S., 2013. Investigation by Limit Analysis on the Stability of Slopes with Cracks. Géotechnique, 63(2): 140–154. https://doi.org/10.1680/geot.11.p.068
    Vogel, H. J., Hoffmann, H., Leopold, A., et al., 2005. Studies of Crack Dynamics in Clay Soil: Ⅱ. A Physically Based Model for Crack Formation. Geoderma, 125(3/4): 213–223. https://doi.org/10.10 16/j.geoderma.2004.07.008 doi: 10.1016/j.geoderma.2004.07.008
    Wang, J. D., Xu, Y. J., Ma, Y., et al., 2018. Study on the Deformation and Failure Modes of Filling Slope in Loess Filling Engineering: A Case Study at a Loess Mountain Airport. Landslides, 15(12): 2423–2435. https://doi.org/10.1007/s10346-018-1046-5
    Wei, W. Z., Zhao, R. H., Liao, L. P., et al., 2022. Granite Residual Soil Landslide Induced by Artificial Cutting Slope in Rong County, Guangxi Province, China. Mountain Research, 40(3): 396–410 (in Chinese with English Abstract)
    Wen, H., 2015. A Detailed Survey Report of Geological Disasters in Rongxian County, Guangxi. Guangxi Zhuang Autonomous Region Geological Environmental Monitoring Station, Nanning (in Chinese)
    Wen, H. T., Wei, C. H., Liao, L. P., et al., 2017. Occurrence and Temporal-Spatial Distribution Characteristics of Geological Hazards in Rongxian County in Southeast Guangxi Zhuang Autonomous Region. Bulletin of Soil and Water Conservation, 37(5): 182–188, 197 (in Chinese with English Abstract)
    Wu, J. H., Yuan, J. P., Ng, C. W. W., 2012. Theoretical and Experimental Study of Initial Cracking Mechanism of an Expansive Soil due to Moisture-Change. Journal of Central South University, 19(5): 1437–1446. https://doi.org/10.1007/s11 771-012-1160-9 doi: 10.1007/s11771-012-1160-9
    Wu, L. Z., Zhou, Y., Sun, P., et al., 2017. Laboratory Characterization of Rainfall-Induced Loess Slope Failure. CATENA, 150: 1–8. https://doi.org/10.1016/j.catena.2016.11.002
    Wu, N. S., 2006. Study on Classification of Granite Residual Soils. Rock and Soil Mechanics, 27(12): 2299–2304 (in Chinese with English Abstract)
    Xia, J. W., Cai, C. F., Wei, Y. J., et al., 2019. Granite Residual Soil Properties in Collapsing Gullies of South China: Spatial Variations and Effects on Collapsing Gully Erosion. CATENA, 174: 469–477. https://doi.org/10.1016/j.catena.2018.11.015
    Xu, L., Dai, F. C., Tham, L. G., et al., 2012. Investigating Landslide-Related Cracks along the Edge of Two Loess Platforms in Northwest China. Earth Surface Processes and Landforms, 37(10): 1023–1033. https://doi.org/10.1002/esp.3214
    Yao, Y. S., Ni, J. J., Li, J., 2021. Stress-Dependent Water Retention of Granite Residual Soil and Its Implications for Ground Settlement. Computers and Geotechnics, 129: 103835. https://doi.org/10.1016/j.compgeo.2020.103835
    Yin, Z. Z., Ping, Y. J., Wei, J., et al., 2012. Influences of Fissures on Slope Stability of Expansive Soil. Chinese Journal of Geotechnical Engineering, 34(12): 2155–2161 (in Chinese with English Abstract)
    Yin, Z. Z., Xu, B., 2011. Slope Stability of Expansive Soil under Fissure Influence. Chinese Journal of Geotechnical Engineering, 33(3): 454–459 (in Chinese with English Abstract)
    Zeng, L., Xiao, L. Y., Zhang, J. H., et al., 2020. Effect of the Characteristics of Surface Cracks on the Transient Saturated Zones in Colluvial Soil Slopes during Rainfall. Bulletin of Engineering Geology and the Environment, 79(2): 699–709. https://doi.org/10.1007/s10064-019-01584-1
    Zhang, G., Wang, R., Qian, J. Y., et al., 2012. Effect Study of Cracks on Behavior of Soil Slope under Rainfall Conditions. Soils and Foundations, 52(4): 634–643. https://doi.org/10.1016/j.sandf.20 12.07.005 doi: 10.1016/j.sandf.2012.07.005
    Zhang, J., Zhu, D., Zhang, S. H., 2020. Shallow Slope Stability Evolution during Rainwater Infiltration Considering Soil Cracking State. Computers and Geotechnics, 117: 103285. https://doi.org/10.1016/j.compgeo.2019.103285
    Zhang, J. M., Luo, Y., Zhou, Z., et al., 2021. Effects of Preferential Flow Induced by Desiccation Cracks on Slope Stability. Engineering Geology, 288: 106164. https://doi.org/10.1016/j.eng geo.2021.106164 doi: 10.1016/j.enggeo.2021.106164
    Zhang, S., Zhang, X. C., Pei, X. J., et al., 2019. Model Test Study on the Hydrological Mechanisms and Early Warning Thresholds for Loess Fill Slope Failure Induced by Rainfall. Engineering Geology, 258: 105135. https://doi.org/10.1016/j.enggeo.2019.0 5.012 doi: 10.1016/j.enggeo.2019.05.012
    Zhou, Z., Zhang, J. M., Ning, F. L., et al., 2020. Large-Scale Test Model of the Progressive Deformation and Failure of Cracked Soil Slopes. Journal of Earth Science, 31(6): 1097–1108. https://doi.org/10.1007/s12583-020-1342-6
    Zhu, L., Shen, T. Q., Ma, R., et al., 2020. Development of Cracks in Soil: An Improved Physical Model. Geoderma, 366: 114258. https://doi.org/10.1016/j.geoderma.2020.114258
    Zhu, L. X., Zhou, Z. J., Chen, L., et al., 2021. Limit Equilibrium Theory-Based Investigation on the Critical Tension Crack Depth in Loess Slope. Environmental Earth Sciences, 80(9): 1–13. https://doi.org/10.1007/s12665-021-09641-3
  • 加载中

Catalog

    通讯作者: 陈斌, bchen63@163.com
    • 1. 

      沈阳化工大学材料科学与工程学院 沈阳 110142

    1. 本站搜索
    2. 百度学术搜索
    3. 万方数据库搜索
    4. CNKI搜索

    Figures(11)  / Tables(3)

    Article Metrics

    Article views(272) PDF downloads(7) Cited by()
    Proportional views
    Related

    /

    DownLoad:  Full-Size Img  PowerPoint
    Return
    Return