Advanced Search

Indexed by SCI、CA、РЖ、PA、CSA、ZR、etc .

Volume 36 Issue 5
Oct 2025
Turn off MathJax
Article Contents
Molei Zhao, Guoxiong Chen, Jie Yang, Yuanzhi Zhou, Qiuming Cheng. Co-Evolution of Magmatic and Sedimentary Fluxes Coupling with Supercontinents: Insight from Singularity Analysis of Deep-Time Geological Records. Journal of Earth Science, 2025, 36(5): 2308-2316. doi: 10.1007/s12583-022-1796-9
Citation: Molei Zhao, Guoxiong Chen, Jie Yang, Yuanzhi Zhou, Qiuming Cheng. Co-Evolution of Magmatic and Sedimentary Fluxes Coupling with Supercontinents: Insight from Singularity Analysis of Deep-Time Geological Records. Journal of Earth Science, 2025, 36(5): 2308-2316. doi: 10.1007/s12583-022-1796-9

Co-Evolution of Magmatic and Sedimentary Fluxes Coupling with Supercontinents: Insight from Singularity Analysis of Deep-Time Geological Records

doi: 10.1007/s12583-022-1796-9
More Information
  • Corresponding author: Qiuming Cheng, qiuming.cheng@iugs.org
  • Received Date: 01 Oct 2022
  • Accepted Date: 01 Dec 2022
  • Available Online: 14 Oct 2025
  • Issue Publish Date: 30 Oct 2025
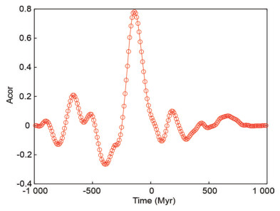
  • Continental crust is the long-term achievements of Earth's evolution across billions of years. The continental rocks could have been modified by various types of geological processes, such as metamorphism, weathering, and reworking. Therefore, physical or chemical properties of rocks through time record the composite effects of geological, biological, hydrological, and climatological processes. Temporal variations in these time series datasets could provide important clues for understanding the co-evolution of different layers on Earth. However, deciphering Earth's evolution in deep time is challenged by incompleteness, singularity, and intermittence of geological records associated with extreme geological events, hindering a rigorous assessment of the underlying coupling mechanisms. Here, we applied the recently developed local singularity analysis and wavelet analysis method to deep-time U-Pb age spectra and sedimentary abundance record across the past 3.5 Gyrs. Standard cross-correlation analysis suggests that the singularity records of marine sediment accumulations and magmatism intensity at continental margin are correlated negatively (R2 = 0.8), with a delay of ~100 Myr. Specifically, wavelet coherence analysis suggests a ~500‒800 Myr cycle of correlation between two records, implying a coupling between the major downward processes (subduction and recycling sediments) and upward processes (magmatic events) related to the aggregation and segregation of supercontinents. The results clearly reveal the long-term cyclic feedback mechanism between sediment accumulation and magmatism intensity through aggregation of supercontinents.

     

  • Conflict of Interest
    The authors declare that they have no conflict of interest.
  • loading
  • Alroy, J., Aberhan, M., Bottjer, D. J., et al., 2008. Phanerozoic Trends in the Global Diversity of Marine Invertebrates. Science, 321(5885): 97–100. https://doi.org/10.1126/science.1156963
    Arndt, N., Davaille, A., 2013. Episodic Earth Evolution. Tectonophysics, 609: 661–674. https://doi.org/10.1016/j.tecto.2013.07.002
    Belousova, E. A., Kostitsyn, Y. A., Griffin, W. L., et al., 2010. The Growth of the Continental Crust: Constraints from Zircon Hf-Isotope Data. Lithos, 119(3/4): 457–466. https://doi.org/10.1016/j.lithos.2010.07.024
    Bergen, K. J., Johnson, P. A., de Hoop, M. V., et al., 2019. Machine Learning for Data-Driven Discovery in Solid Earth Geoscience. Science, 363(6433): eaau0323. https://doi.org/10.1126/science.aau0323
    Cawood, P. A., Hawkesworth, C. J., Dhuime, B., 2012. Detrital Zircon Record and Tectonic Setting. Geology, 40(10): 875–878. https://doi.org/10.1130/g32945.1
    Chen, G. X., Cheng, Q. M., Peters, S. E., et al., 2022. Feedback between Surface and Deep Processes: Insight from Time Series Analysis of Sedimentary Record. Earth and Planetary Science Letters, 579: 117352. https://doi.org/10.1016/j.epsl.2021.117352
    Cheng, Q. M., 2007. Mapping Singularities with Stream Sediment Geochemical Data for Prediction of Undiscovered Mineral Deposits in Gejiu, Yunnan Province, China. Ore Geology Reviews, 32(1/2): 314–324. https://doi.org/10.1016/j.oregeorev.2006.10.002
    Cheng, Q. M., 2017. Singularity Analysis of Global Zircon U-Pb Age Series and Implication of Continental Crust Evolution. Gondwana Research, 51: 51–63. https://doi.org/10.1016/j.gr.2017.07.011
    Cheng, Q. M., 2018a. Extrapolations of Secular Trends in Magmatic Intensity and Mantle Cooling: Implications for Future Evolution of Plate Tectonics. Gondwana Research, 63: 268–273. https://doi.org/10.1016/j.gr.2018.08.001
    Cheng, Q. M., 2018b. Mathematical Geosciences: Local Singularity Analysis of Nonlinear Earth Processes and Extreme Geo-Events. Handbook of Mathematical Geosciences. Springer International Publishing, Cham. https://doi.org/10.1007/978-3-319-78999-6_10
    Cheng, Q. M., 2018c. Singularity Analysis of Magmatic Flare-Ups Caused by India-Asia Collisions. Journal of Geochemical Exploration, 189: 25–31. https://doi.org/10.1016/j.gexplo.2017.08.012
    Cheng, Q. M., Oberhänsli, R., Zhao, M. L., 2020. A New International Initiative for Facilitating Data-Driven Earth Science Transformation. Geological Society of London Special Publications, 499(1): 225–240. https://doi.org/10.1144/sp499-2019-158
    Cheng, Q. M., 2022. Quantitative Simulation and Prediction of Extreme Geological Events. Science China Earth Sciences, 65(6): 1012–1029. https://doi.org/10.1007/s11430-021-9881-2
    Clift, P., P. Vannucchi, 2004. Controls on Tectonic Accretion versus Erosion in Subduction Zones: Implications for the Origin and Recycling of the Continental Crust. Reviews of Geophysics, 42: RG2001. https://doi.org/10.1029/2003rg000127
    Condie, K. C., 1998. Episodic Continental Growth and Supercontinents: A Mantle Avalanche Connection? Earth and Planetary Science Letters, 163(1/2/3/4): 97–108. https://doi.org/10.1016/s0012-821x(98)00178-2
    Condie, K. C., Aster, R. C., 2013. Refinement of the Supercontinent Cycle with Hf, Nd and Sr Isotopes. Geoscience Frontiers, 4(6): 667–680. https://doi.org/10.1016/j.gsf.2013.06.001
    Dhuime, B., Hawkesworth, C. J., Storey, C. D., et al., 2011. From Sediments to Their Source Rocks: Hf and Nd Isotopes in Recent River Sediments. Geology, 39(4): 407–410. https://doi.org/10.1130/g31785.1
    Dhuime, B., Hawkesworth, C. J., Cawood, P. A., et al., 2012. A Change in the Geodynamics of Continental Growth 3 Billion Years Ago. Science, 335(6074): 1334–1336. https://doi.org/10.1126/science.1216066
    Dhuime, B., Wuestefeld, A., Hawkesworth, C. J., 2015. Emergence of Modern Continental Crust about 3 Billion Years Ago. Nature Geoscience, 8(7): 552–555. https://doi.org/10.1038/ngeo2466
    Dimanov, A., Dresen, G., Wirth, R., 1998. High-Temperature Creep of Partially Molten Plagioclase Aggregates. Journal of Geophysical Research: Solid Earth, 103(B5): 9651–9664. https://doi.org/10.1029/97jb03742
    Domeier, M., Magni, V., Hounslow, M. W., et al., 2018. Episodic Zircon Age Spectra Mimic Fluctuations in Subduction. Scientific Reports, 8: 17471. https://doi.org/10.1038/s41598-018-35040-z
    Fan, J. X., Hou, X. D., Chen, Q., et al., 2014. Geobiodiversity Database (GBDB) in Stratigraphic, Palaeontological and Palaeogeographic Research: Graptolites as an Example. GFF, 136(1): 70–74. https://doi.org/10.1080/11035897.2014.880070
    Fan, J. X., Shen, S. Z., Erwin, D. H., et al., 2020. A High-Resolution Summary of Cambrian to Early Triassic Marine Invertebrate Biodiversity. Science, 367(6475): 272–277. https://doi.org/10.1126/science.aax4953
    Gorshkov, B. G., Yüksel, K., Fotiadi, A. A., et al., 2022. Scientific Applications of Distributed Acoustic Sensing: State-of-the-Art Review and Perspective. Sensors (Basel), 22(3): 1033. https://doi.org/10.3390/s22031033
    Gregor, B., 1970. Denudation of the Continents. Nature, 228(5268): 273–275. https://doi.org/10.1038/228273a0
    Hutton, J., 2021. Theory of the Earth. Beyond Books Hub, Medford. https://books.google.com.hk/books/about/theory_of_the_earth.html?id=mcm2eaaaqbaj&redir_esc=y https://books.google.com.hk/books/about/theory_of_the_earth.html?id=mcm2eaaaqbaj&redir_esc=y
    Liu, C., Knoll, A. H., Hazen, R. M., 2017. Geochemical and Mineralogical Evidence that Rodinian Assembly was Unique. Nature Communications, 8(1): 1950. https://doi.org/10.1038/s41467-017-02095-x
    Liu, H., Sun, W. D., Zartman, R., et al., 2019. Continuous Plate Subduction Marked by the Rise of Alkali Magmatism 2.1 Billion Years Ago. Nature Communications, 10(1): 3408. https://doi.org/10.1038/s41467-019-11329-z
    Lu. Z., Kwoun, O., Rykhus, R., 2007. Interferometric Synthetic Aperture Radar (InSAR): Its Past, Present and Future. Photogrammetric Engineering and Remote Sensing, 73(3): 217. https://doi.org/10.1088/0952-4746/27/1/n02
    Lyell, C., 1854. Principles of Geology: Or, the Modern Changes of the Earth and Its Inhabitants Considered as Illustrative of Geology. D. Appleton & Company, New York
    Mayr, E., 1972. The Nature of the Darwinian Revolution: Acceptance of Evolution by Natural Selection Required the Rejection of Many Previously Held Concepts. Science, 176(4038): 981–989. https://doi.org/10.1126/science.176.4038.981
    McPhee, J., 1981. Basin and Range. Farrar, Straus, Giroux, New York
    Nakagawa, T., Tackley, P. J., 2012. Influence of Magmatism on Mantle Cooling, Surface Heat Flow and Urey Ratio. Earth and Planetary Science Letters, 329: 1–10. https://doi.org/10.1016/j.epsl.2012.02.011
    National Academies of Sciences, Engineering, and Medicine., 2020. A Vision for NSF Earth Sciences 2020–2030: Earth in Time. The National Academies Press, Washington, D. C. https://doi.org/10.17226/25761
    Parman, S. W., 2015. Time-Lapse Zirconography: Imaging Punctuated Continental Evolution. Geochemical Perspectives Letters, 1(1): 43–52. https://doi.org/10.7185/geochemlet.1505
    Peters, S. E., Husson, J. M., 2017. Sediment Cycling on Continental and Oceanic Crust. Geology, 45(4): 323–326.https://doi.org/1 0.1130/g38861.1 doi: 10.1130/G38861.1
    Peters, S. E., Quinn, D. P., Husson, J. M., et al., 2022. Macrostratigraphy: Insights into Cyclic and Secular Evolution of the Earth-Life System. Annual Review of Earth and Planetary Sciences, 50: 419–449. https://doi.org/10.1146/annurev-earth-032320-081427
    Peters, S. E., 2006. Macrostratigraphy of North America. The Journal of Geology, 114(4): 391–412. https://doi.org/10.1086/504176
    Puetz, S. J., 2018. A Relational Database of Global U-Pb Ages. Geoscience Frontiers, 9(3): 877–891. https://doi.org/10.1016/j.gsf.2017.12.004
    Reichstein, M., Camps-Valls, G., Stevens, B., et al., 2019. Deep Learning and Process Understanding for Data-Driven Earth System Science. Nature, 566(7743): 195–204. https://doi.org/10.1038/s41586-019-0912-1
    Saleh, M., Masson, F., Mohamed, A. S., et al., 2018. Recent Ground Deformation around Lake Nasser Using GPS and InSAR, Aswan, Egypt. Tectonophysics, 744: 310–321. https://doi.org/10.1016/j.tecto.2018.07.005
    Spencer, C. J., Cawood, P. A., Hawkesworth, C. J., et al., 2014. Proterozoic Onset of Crustal Reworking and Collisional Tectonics: Reappraisal of the Zircon Oxygen Isotope Record. Geology, 42(5): 451–454. https://doi.org/10.1130/g35363.1
    Walzer, U., Hendel, R., 2017. Continental Crust Formation: Numerical Modelling of Chemical Evolution and Geological Implications. Lithos, 278: 215–228. https://doi.org/10.1016/j.lithos.2016.12.014
    Windley, B. F., Kusky, T. M., Polat, A., 2021. Onset of Plate Tectonics by the Eoarchean. Precambrian Research, 352: 105980. https://doi.org/10.1016/j.precamres.2020.105980
    Zhou, C. H., Wang, H., Wang, C. S., et al., 2021. Geoscience Knowledge Graph in the Big Data Era. Science China Earth Sciences, 64(7): 1105–1114. https://doi.org/10.1007/s11430-020-9750-4
  • 加载中

Catalog

    通讯作者: 陈斌, bchen63@163.com
    • 1. 

      沈阳化工大学材料科学与工程学院 沈阳 110142

    1. 本站搜索
    2. 百度学术搜索
    3. 万方数据库搜索
    4. CNKI搜索

    Figures(6)

    Article Metrics

    Article views(298) PDF downloads(6) Cited by()
    Proportional views
    Related

    /

    DownLoad:  Full-Size Img  PowerPoint
    Return
    Return