Advanced Search

Indexed by SCI、CA、РЖ、PA、CSA、ZR、etc .

Volume 36 Issue 5
Oct 2025
Turn off MathJax
Article Contents
Lin Jia, Jing-Sen Cai, Li Wu, Tian-Chyi Jim Yeh, E-Chuan Yan, Yi Du. Effect of Spatial Variability in the Geometry of Fractures on Granite Slope Stability. Journal of Earth Science, 2025, 36(5): 1923-1935. doi: 10.1007/s12583-023-1825-3
Citation: Lin Jia, Jing-Sen Cai, Li Wu, Tian-Chyi Jim Yeh, E-Chuan Yan, Yi Du. Effect of Spatial Variability in the Geometry of Fractures on Granite Slope Stability. Journal of Earth Science, 2025, 36(5): 1923-1935. doi: 10.1007/s12583-023-1825-3

Effect of Spatial Variability in the Geometry of Fractures on Granite Slope Stability

doi: 10.1007/s12583-023-1825-3
More Information
  • Corresponding author: Jing-Sen Cai, jingsencai@cug.edu.cn
  • Received Date: 01 Dec 2022
  • Accepted Date: 06 Feb 2023
  • Available Online: 14 Oct 2025
  • Issue Publish Date: 30 Oct 2025
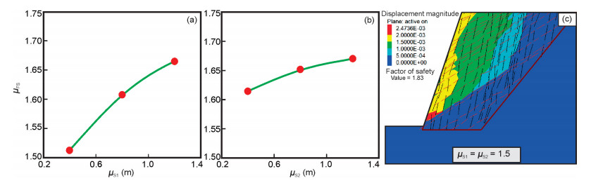
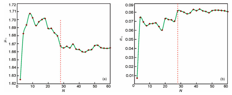
  • A DFN-DEC (discrete fracture network-distinct element code) method based on the MATLAB platform is developed to generate heterogeneous DFN. Subsequently, the effects of the spatial variability (the mean $ \mu $ and the standard deviation $ \sigma $) of the geometric properties (i.e., the fracture dip D, the trace length T and the spacing S) of both the gently-dipping (denoted with 1) and the steeply-dipping (denoted with 2) fractures on the stability of granite slope are investigated. Results indicate that the proposed DFN-DEC method is robust, generating fracture networks that resemble reality. In addition, the spatial variability of fracture geometry, influencing the structure of granite slope, plays a significant role in slope stability. The mean stability of the slope decreases with the increase of $ {\mu }_{{\mathrm{D}}_{1}} $ (the mean of gently-dipping fracture dip), $ {\sigma }_{{\mathrm{D}}_{2}} $ (the mean of steeply-dipping fracture dip), $ {\mu }_{{\mathrm{T}}_{1}} $ (the mean of gently-dipping fracture trace length), $ {\mu }_{{\mathrm{T}}_{2}} $ (the mean of steeply-dipping fracture trace length), $ {\sigma }_{{\mathrm{T}}_{1}} $ (the standard deviation of gently-dipping fracture trace length), $ {\sigma }_{{\mathrm{T}}_{2}} $ (the standard deviation of steeply-dipping fracture trace length), and the decrease of $ {\sigma }_{{\mathrm{D}}_{1}} $ (the standard deviation of gently-dipping fracture dip), $ {\mu }_{{\mathrm{D}}_{2}} $ (the standard deviation of steeply-dipping fracture dip), $ {\mu }_{{\mathrm{S}}_{1}} $ (the mean of gently-dipping fracture spacing) and $ {\mu }_{{\mathrm{S}}_{2}} $ (the mean of steeply-dipping fracture spacing). Among them, $ {\mu }_{{\mathrm{T}}_{1}} $, $ {\mu }_{{\mathrm{D}}_{1}} $ and $ {\mu }_{{\mathrm{S}}_{1}} $ have the major impact. When the fracture spacing is large, the variability in the fracture geometry becomes less relevant to slope stability. When within some ranges of the fracture spacing, the spatial varying of dips can increase the slope stability by forming an interlaced structure. The results also show that the effects of the variability of trace length on slope stability depend on the variability of dip. These findings highlight the importance of spatial variability in the geometry of fractures to rock slope stability analysis.

     

  • Conflict of Interest
    The authors declare that they have no conflict of interest.
  • loading
  • Brideau, M., Chauvin, S., Andrieux P., et al., 2012. Influence of 3D Statistical Discontinuity Variability on Slope Stability Conditions. In: 11th International and 2nd North American Symposium on Landslides and Engineered Slopes, Landslides and Engineered Slopes: Protecting Society through Improved Understanding, Banff
    Chen, L. L., 2018. Study on the Instability Mechanism of Bedding Rock Slope with Two Groups of Crossover Structures: [Dissertation]. China University of Geosciences, Beijing (in Chinese)
    Dong, Y. H., Fu, Y. M., Yeh, T. C. J., et al., 2019. Equivalence of Discrete Fracture Network and Porous Media Models by Hydraulic Tomography. Water Resources Research, 55(4): 3234–3247. https://doi.org/10.1029/2018wr024290
    Duncan, J. M., 2000. Factors of Safety and Reliability in Geotechnical Engineering. Journal of Geotechnical and Geoenvironmental Engineering, 126(4): 307–316. https://doi.org/10.1061/(asce)1090-0241(2000)126:4(307)
    Duzgun, H. S. B., Bhasin, R. K., 2009. Probabilistic Stability Evaluation of Oppstadhornet Rock Slope, Norway. Rock Mechanics and Rock Engineering, 42(5): 729–749. https://doi.org/10.1007/s00603-008-0011-3
    Fang, K., Tang, H. M., Zhu, J. C., et al., 2023. Study on Geomechanical and Physical Models of Necking-Type Slopes. Journal of Earth Science, 34(3): 924–934. https://doi.org/10.1007/s12583-021-1573-1
    Fisher, B. R., Eberhardt, E., 2012. Assessment of Parameter Uncertainty Associated with Dip Slope Stability Analyses as a Means to Improve Site Investigations. Journal of Geotechnical and Geoenvironmental Engineering, 138(2): 166–173. https://doi.org/10.1061/(asce)gt.1943-5606.0000515
    Griffiths, D. V., Fenton, G. A., 2004. Probabilistic Slope Stability Analysis by Finite Elements. Journal of Geotechnical and Geoenvironmental Engineering, 130(5): 507–518. https://doi.org/10.1061/(asce)1090-0241(2004)130:5(507)
    Griffiths, D. V., Huang, J. S., Fenton, G. A., 2009. Influence of Spatial Variability on Slope Reliability Using 2-D Random Fields. Journal of Geotechnical and Geoenvironmental Engineering, 135(10): 1367–1378. https://doi.org/10.1061/(asce)gt.1943-5606.0000099
    Hack, R., 2002. An Evaluation of Slope Stability Classification. ISRM International Symposium-EUROCK 2002. November 25–27, 2002, Madeira
    Hammah, R. E., Yacoub, T. E., Curran, J. H., 2008. Probabilistic Slope Analysis with the Finite Element Method. The 43rd US Rock Mechanics Symposium and 4th US-Canada Rock Mechanics Symposiumn, June 28th–July 1, 2009, Asheville
    Jia, H. B., Tang, H. M., Liu, Y. R., et al., 2008. Three-Dimensional Network Simulation Theory and Engineering Application of Rock Mass Fractures, Science Press, Beijing (in Chinese)
    Jia, L., Cai, J. S., Wu, L., et al., 2022. Influence of Fracture Geometric Characteristics on Fractured Rock Slope Stability. Applied Sciences, 13(1): 236. https://doi.org/10.3390/app13010236
    Jimenez-Rodriguez, R., Sitar, N., Chacón, J., 2006. System Reliability Approach to Rock Slope Stability. International Journal of Rock Mechanics and Mining Sciences, 43(6): 847–859. https://doi.org/10.1016/j.ijrmms.2005.11.011
    Li, M., 2017. Research on the Rock Mass Structure and Stability of Cableway Platform Excavation Slope at Left Bank of Yangfanggou Hydropower Station: [Dissertation]. Chengdu University of Technology, Chengdu (in Chinese with English Abstract)
    Lin, B., 2017. Excavation Response and Stability Evaluation of Left Abutment Slope of Rumei Hydropower Station in Lancang River: [Dissertation]. Chengdu University of Technology, Chengdu (in Chinese with English Abstract)
    Liu, L. L., Liang, C. Q., Xu, M., et al., 2023. Probabilistic Analysis of Large Slope Deformation Considering Soil Spatial Variability with Rotated Anisotropy. Earth Science, 48(5): 1836–1852. https://doi.org/10.3799/dqkx.2022.372 (in Chinese with English Abstract)
    Liu, M., 2015. The Analysis of Stability for The Left Spandrel Groove Slope of Mengdigou Hydropower Station on Yalong River: [Dissertation]. Chengdu University of Technology, Chengdu (in Chinese with English Abstract)
    Ma, S. Y., Xu, C., 2019. Applicability of Two Newmark Models in the Assessment of Coseismic Landslide Hazard and Estimation of Slope-Failure Probability: An Example of the 2008 Wenchuan Mw 7.9 Earthquake Affected Area. Journal of Earth Science, 30(5): 1020–1030. https://doi.org/10.1007/s12583-019-0874-0
    Park, H. J., Um, J. G., Woo, I., et al., 2012. Application of Fuzzy Set Theory to Evaluate the Probability of Failure in Rock Slopes. Engineering Geology, 125: 92–101. https://doi.org/10.1016/j.enggeo.2011.11.008
    Phoon, K. K., Kulhawy, F. H., 1999. Characterization of Geotechnical Variability. Canadian Geotechnical Journal, 36(4): 612–624. https://doi.org/10.1139/t99-038
    Rogers, S., Moffitt, K., Chance, A., 2006. Using Realistic Fracture Network Models for Modelling Block Stability and Groundwater Flow in Rock Slopes. Canadian Geotechnical Conference, Vancouver
    Shamekhi, E., Tannant, D. D., 2015. Probabilistic Assessment of Rock Slope Stability Using Response Surfaces Determined from Finite Element Models of Geometric Realizations. Computers and Geotechnics, 69: 70–81. https://doi.org/10.1016/j.compgeo.2015.04.014
    Vyazmensky, A., Stead, D., Elmo, D., et al., 2010. Numerical Analysis of Block Caving-Induced Instability in Large Open Pit Slopes: A Finite Element/Discrete Element Approach. Rock Mechanics and Rock Engineering, 43(1): 21–39. https://doi.org/10.1007/s00603-009-0035-3
    Wang, X. G., Jia, Z. X., Zhang, F. M., et al., 2010. The Simulation of Rock Joint Network and Its Application. China WaterPower Press, Beijing (in Chinese)
    Wang, Y. F., 2014. Analysis of the Formation Mechanism of the Middle Lower Angle Joint in the Dam Area of Songta Hydropower in the Nujiang River: [Dissertation]. Chengdu University of Technology, Chengdu (in Chinese with English Abstract)
    Wei, Y. J., 2015. Study on Characteristics of Rock Mass Structure and Engineering Application of Emeishan basalts in Project site of Hydroelectric Power Station in Southwestern China: [Dissertation]. Chengdu University of Technology, Chengdu (in Chinese with English Abstract)
    Wong, L. N. Y., Lai, V. S. K., Tam, T. P. Y., 2018. Joint Spacing Distribution of Granites in Hong Kong. Engineering Geology, 245: 120–129. https://doi.org/10.1016/j.enggeo.2018.08.009
    Xia, P., Hu, X. L., Wu, S. S., et al., 2020. Slope Stability Analysis Based on Group Decision Theory and Fuzzy Comprehensive Evaluation. Journal of Earth Science, 31(6): 1121–1132. https://doi.org/10.1007/s12583-020-1101-8
    Yan, C. C., 2015. Analysis on Characteristics and Formation Mechanism of the Middle Lower Angle Joints at the Damsite Area of Maji Hydropower in the Nujiang River: [Dissertation]. Chengdu University of Technology, Chengdu (in Chinese with English Abstract)
    Žák, J., Vyhnálek, B., Kabele, P., 2006. Is there a Relationship between Magmatic Fabrics and Brittle Fractures in Plutons? Physics of the Earth and Planetary Interiors, 157(3/4): 286–310. https://doi.org/10.1016/j.pepi.2006.05.001
    Zhang, H. W., Li, C. D., Chen, W. Q., et al., 2024. Upper- Bound Limit Analysis of the Multi-Layer Slope Stability and Failure Mode Based on Generalized Horizontal Slice Method. Journal of Earth Science, 35(3): 929–940. https://doi.org/10.1007/s12583-022-1626-0
    Zhang, T. L., Wu, T. Y., Wang, L. Q., et al., 2023. Nonlinear Prediction of Landslide Stability Based on Machine Learning. Earth Science, 48(5): 1989–1999. https://doi.org/10.3799/dqkx.2023.036 (in Chinese with English Abstract)
  • 加载中

Catalog

    通讯作者: 陈斌, bchen63@163.com
    • 1. 

      沈阳化工大学材料科学与工程学院 沈阳 110142

    1. 本站搜索
    2. 百度学术搜索
    3. 万方数据库搜索
    4. CNKI搜索

    Figures(12)  / Tables(8)

    Article Metrics

    Article views(729) PDF downloads(20) Cited by()
    Proportional views
    Related

    /

    DownLoad:  Full-Size Img  PowerPoint
    Return
    Return