Advanced Search

Indexed by SCI、CA、РЖ、PA、CSA、ZR、etc .

Volume 36 Issue 5
Oct 2025
Turn off MathJax
Article Contents
Zhengzhe Fan, Xian Chen, Dehui Zhang, Hongqi Yuan. Mechanism of Crust Growth Constrained by Back-Calculated U/Pb Ratios of the New Continental Crust. Journal of Earth Science, 2025, 36(5): 1892-1905. doi: 10.1007/s12583-023-1830-6
Citation: Zhengzhe Fan, Xian Chen, Dehui Zhang, Hongqi Yuan. Mechanism of Crust Growth Constrained by Back-Calculated U/Pb Ratios of the New Continental Crust. Journal of Earth Science, 2025, 36(5): 1892-1905. doi: 10.1007/s12583-023-1830-6

Mechanism of Crust Growth Constrained by Back-Calculated U/Pb Ratios of the New Continental Crust

doi: 10.1007/s12583-023-1830-6
More Information
  • Corresponding author: Xian Chen, chenxian1@mail.gyig.ac.cn
  • Received Date: 24 Jul 2022
  • Accepted Date: 17 Feb 2023
  • Available Online: 14 Oct 2025
  • Issue Publish Date: 30 Oct 2025
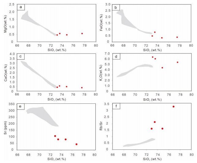
  • The mechanism of continental crust growth remains ambiguous. A key constraint is determining which tectonic settings were involved in the formation of the new continental crust. Because the basalts formed in intraplate (OIB, mean U/Pb = ~0.37 ± 0.11) and subduction (IAB, mean U/Pb = ~0.10 ± 0.06) settings have distinct U/Pb ratios, thus we back-calculate the present-day U/Pb ratios of the New Continental crust source [(U/Pb)nc] based on our zircon-Hf and published whole rock-Pb isotope compositions of the Wulaga Ⅰ-type granite to unfold the mechanism of the crust growth in the Lesser Xing'an Range (LXR), of the eastern Central Asian orogenic belt (CAOB). The Wulaga granodiorite porphyry yields zircon U-Pb ages of 103 ± 1 Ma with εHf(t) of +6.0 to +9.0 and TDM2 of 590 to 784 Ma (averaging at 709 ± 100 Ma). This result indicates that the Early Cretaceous Wulaga granodiorite porphyry was derived from the Neoproterozoic juvenile basaltic crust. The back-calculated (U/Pb)nc values (0.15–0.18) may approximately represent the U/Pb ratios of the basaltic protolith of the Wulaga granite. It is similar to the U/Pb ratios in the IAB magmas within the calculation errors. Therefore, the crust growth of the LXR may occur through subduction at ca. 700 Ma. In addition, this geochemical method also has been successfully applied to unfold the mechanism of the crust accretion of both the Jibei area in North China at ca. 2.0 Ga and the Hongol area in the eastern CAOB during ca. 1.1–0.8 Ga. The back-calculation of the present U/Pb ratio of the protolith of Ⅰ-type granites in this study may constitute a potential method to constrain the mechanism of continental crustal accretion.

     

  • Electronic Supplementary Materials:   Supplementary materials (Tables S1–S4) are available in the online version of this article at https://doi.org/10.1007/s12583-023-1830-6.
    Conflict of Interest
    The authors declare that they have no conflict of interest.
  • loading
  • Andersen, T., 2002. Correction of Common Lead in U-Pb Analyses that do not Report 204Pb. Chemical Geology, 192(1/2): 59–79. https://doi.org/10.1016/s0009-2541(02)00195-x
    AQSIQ (Administration of Quality Supervision, Inspection and Quarantine) and SAC (Standardization Administration of China), 2010. Methods for Chemical Analysis of Silicate Rocks: Parts 28 and 30 (GB/T 14506)(in Chinese)
    Blichert-Toft, J., Albarède, F., 1997. The Lu-Hf Isotope Geochemistry of Chondrites and the Evolution of the Mantle-Crust System. Earth and Planetary Science Letters, 148(1/2): 243–258. https://doi.org/10.1016/s0012-821x(97)00040-x
    Boynton, W. V., 1984. Cosmochemistry of the Rare Earth Elements: Meteorite Studies. Rare Earth Element Geochemistry. Elsevier, Amsterdam, 63–114. https://doi.org/10.1016/b978-0-444-42148-7.500 08-3 doi: 10.1016/b978-0-444-42148-7.50008-3
    Castillo, P. R., 2012. Adakite Petrogenesis. Lithos, 134: 304–316. https://doi.org/10.1016/j.lithos.2011.09.013
    Cawood, P. A., Hawkesworth, C. J., Pisarevsky, S. A., et al., 2018. Geological Archive of the Onset of Plate Tectonics. Philos. Trans. A Math Phys. Eng. Sci. , 376(2132): 20170405. https://doi.org/10.1098/rsta.2017.0405
    Chen, X. A., Liu, J. J., Carranza, E. J. M., et al., 2019. Geology, Geochemistry, and Geochronology of the Cuihongshan Fe-Polymetallic Deposit, Heilongjiang Province, NE China. Geological Journal, 54(3): 1254–1278. https://doi.org/10.1002/gj.3224
    Davidson, J. P., Arculus, R. J., 2006. The Significance of Phanerozoic Arc Magmatism in Generating Continental Crust. In: Brown, M., Rushmer, T., eds., Evolution and Differentiation of the Continental Crust. Cambridge University Press, Cambridge, 135–172
    Defant, M. J., Drummond, M. S., 1990. Derivation of Some Modern Arc Magmas by Melting of Young Subducted Lithosphere. Nature, 347(6294): 662–665. https://doi.org/10.1038/347662a0
    Delavault, H., Dhuime, B., Hawkesworth, C. J., et al., 2016. Tectonic Settings of Continental Crust Formation: Insights from Pb Isotopes in Feldspar Inclusions in Zircon. Geology, 44(10): 819–822. https://doi.org/10.1130/g38117.1
    Deng, J. F., Luo, Z. H., Su, S. G., et al., 2004. Petrogenesis, Tectonic Setting and Metallogenesis. Geological Publishing House, Beijing. 33–34 (in Chinese)
    Dew, R. E. C., Nachtergaele, S., Collins, A. S., et al., 2018. Data Analysis of the U-Pb Geochronology and Lu-Hf System in Zircon and Whole-Rock Sr, Sm-Nd and Pb Isotopic Systems for the Granitoids of Thailand. Data in Brief, 21: 1794–1809. https://doi.org/10.1016/j.dib.2018.10.176
    Dhuime, B., Hawkesworth, C., Cawood, P., 2011. When Continents Formed. Science, 331(6014): 154–155. https://doi.org/10.1126/science.1201245
    Dobretsov, N. L., Buslov, M. M., Vernikovsky, V. A., 2003. Neoproterozoic to Early Ordovician Evolution of the Paleo-Asian Ocean: Implications to the Break-Up of Rodinia. Gondwana Research, 6(2): 143–159. https://doi.org/10.1016/s1342-937x(05)70966-7
    Ducea, M. N., Saleeby, J. B., Bergantz, G., 2015. The Architecture, Chemistry, and Evolution of Continental Magmatic Arcs. Annual Review of Earth and Planetary Sciences, 43: 299–331. https://doi.org/10.1146/annurev-earth-060614-105049
    Fan, W. M., Guo, F., Wang, Y. J., et al., 2003. Late Mesozoic Calc-Alkaline Volcanism of Post-Orogenic Extension in the Northern Da Hinggan Mountains, Northeastern China. Journal of Volcanology and Geothermal Research, 121(1/2): 115–135. https://doi.org/10.1016/s0377-0273(02)00415-8
    Fisher, C. M., Vervoort, J. D., DuFrane, S. A., 2014. Accurate Hf Isotope Determinations of Complex Zircons Using the "Laser Ablation Split Stream" Method. Geochemistry, Geophysics, Geosystems, 15(1): 121–139. https://doi.org/10.1002/2013gc004962
    Gale, A., Dalton, C. A., Langmuir, C. H., et al., 2013. The Mean Composition of Ocean Ridge Basalts. Geochemistry, Geophysics, Geosystems, 14(3): 489–518. https://doi.org/10.1029/2012gc004334
    Gao, S., Liu, X. M., Yuan H. L., et al., 2002. Determination of Forty Two Major and Trace Elements in USGS and NIST SRM Glasses by Laser Ablation-Inductively Coupled Plasma-Mass Spectrometry. Geostandards and Geoanalytical Research, 26(2): 181–196. https://doi.org/10.1111/j.1751-908x.2002.tb00886.x
    Gao, S., Rudnick, R. L., Yuan, H. L., et al., 2004. Recycling Lower Continental Crust in the North China Craton. Nature, 432(7019): 892–897. https://doi.org/10.1038/nature03162
    Ge, W. C., Wu, F. Y., Zhou, C. Y., et al., 2007. Mineralization Ages and Geodynamic Implications of Porphyry Cu-Mo Deposits in the East of Xingmeng Orogenic Belt. Chinese Science Bulletin, 52(24): 3416–3427. http://engine.scichina.com/doi/10.1007/s11434-007-0466-8 doi: 10.1007/s11434-007-0466-8
    Griffin, W. L., Pearson, N. J., Belousova, E., et al., 2000. The Hf Isotope Composition of Cratonic Mantle: LAM-MC-ICPMS Analysis of Zircon Megacrysts in Kimberlites. Geochimica et Cosmochimica Acta, 64(1): 133–147. https://doi.org/10.1016/s0016-7037(99)00343-9
    Hawkesworth, C., Cawood, P. A., Dhuime, B., 2019. Rates of Generation and Growth of the Continental Crust. Geoscience Frontiers, 10(1): 165–173. https://doi.org/10.1016/j.gsf.2018.02.004
    HBGMR (Heilongjiang Bureau of Geology and Mineral Resources), 1993. Regional Geology of Heilongjiang Province. Geological Publishing House, Beijing. 260–347 (in Chinese with English Abstract)
    Hofmann, A. W., 2003. Sampling Mantle Heterogeneity through Oceanic Basalts: Isotopes and Trace Elements. Treatise on Geochemistry, 2: 568. https://doi.org/10.1016/b0-08-043751-6/02123-x
    Holmes, A., 1946. An Estimate of the Age of the Earth. Nature, 157: 680–684. https://doi.org/10.1038/157680a0
    Houtermans, F. G., 1946. Die Isotopenhäufigkeiten Im Natürlichen Blei Und Das Alter des Urans. Naturwissenschaften, 33(6): 185–186. https://doi.org/10.1007/bf00585229
    Jackson, S. E., Pearson, N. J., Griffin, W. L., et al., 2004. The Application of Laser Ablation-Inductively Coupled Plasma-Mass Spectrometry to in situ U-Pb Zircon Geochronology. Chemical Geology, 211(1/2): 47–69. https://doi.org/10.1016/j.chemgeo.2004.06.017
    Jaffey, A. H., Flynn, K. F., Glendenin, L. E., et al., 1971. Precision Measurement of Half-Lives and Specific Activities of 235U and 238U. Physical Review C, 4(5): 1889–1906. https://doi.org/10.1103/physrevc.4.1889
    Jagoutz, O., Kelemen, P. B., 2015. Role of Arc Processes in the Formation of Continental Crust. Annual Review of Earth and Planetary Sciences, 43: 363–404. https://doi.org/10.1146/annurev-earth-040809-152345
    Jahn, B. M., Wu, F. Y., Chen, B., 2000. Massive Granitoid Generation in Central Asia: Nd Isotope Evidence and Implication for Continental Growth in the Phanerozoic. Episodes, 23(2): 82–92. https://doi.org/10.18814/epiiugs/2000/v23i2/001
    Kelemen, P. B., Behn, M. D., 2016. Formation of Lower Continental Crust by Relamination of Buoyant Arc Lavas and Plutons. Nature Geoscience, 9(3): 197–205. https://doi.org/10.1038/ngeo2662
    Kodaira, S., Sato, T., Takahashi, N., et al., 2007. New Seismological Constraints on Growth of Continental Crust in the Izu-Bonin Intra-Oceanic Arc. Geology, 35(11): 1031–1034. https://doi.org/10.1130/g23901a.1
    Kogiso, T., Tatsumi, Y., Nakano, S., 1997. Trace Element Transport during Dehydration Processes in the Subducted Oceanic Crust: 1. Experiments and Implications for the Origin of Ocean Island Basalts. Earth and Planetary Science Letters, 148(1/2): 193–205. https://doi.org/10.1016/s0012-821x(97)00018-6
    Kusky, T. M., Wang, J. P., Wang, L., et al., 2020. Mélanges through Time: Life Cycle of the World's Largest Archean Mélange Compared with Mesozoic and Paleozoic Subduction-Accretion-Collision Mélanges. Earth-Science Reviews, 209: 103303. https://doi.org/10.1016/j.earscirev.2020.103303
    Li, J. Y., 2006. Permian Geodynamic Setting of Northeast China and Adjacent Regions: Closure of the Paleo-Asian Ocean and Subduction of the Paleo-Pacific Plate. Journal of Asian Earth Sciences, 26(3/4): 207–224. https://doi.org/10.1016/j.jseaes.2005.09.001
    Li, Z. X., Zhang, L., Powell, C. M., 1996. Positions of the East Asian Cratons in the Neoproterozoic Supercontinent Rodinia. Australian Journal of Earth Sciences, 43(6): 593–604. https://doi.org/10.1080/08120099608728281
    Liang, Q. L., Jiang, S. H., Liu, Y. F., 2013. Petrogenesis of the Donghouding A-Type Granite in Northern Hebei: Constraints from Geochemistry, Zircon U-Pb Dating and Sr-Nd-Pb-Hf Isotopic Composition. Geological Review, 59(6): 1119–1130 (in Chinese with English Abstract)
    Liang, Q., Jing, H., Gregoire, D. C., 2000. Determination of Trace Elements in Granites by Inductively Coupled Plasma Mass Spectrometry. Talanta, 51(3): 507–513. https://doi.org/10.1016/s0039-9140(99)00318-5
    Liu H. Y., Guo, H. M., Xing, L. N., et al., 2016. Geochemical Behaviors of Rare Earth Elements in Groundwater along a Flow Path in the North China Plain. Journal of Asian Earth Sciences, 117: 33–51. https://doi.org/10.1016/j.jseaes.2015.11.021
    Liu, Y. J., Li, W. M., Feng, Z. Q., et al., 2017. A Review of the Paleozoic Tectonics in the Eastern Part of Central Asian Orogenic Belt. Gondwana Research, 43: 123–148. https://doi.org/10.1016/j.gr.2016.03.013
    Luan, J. P., Xu, W. L., Wang, F., et al., 2017. Age and Geochemistry of Neoproterozoic Granitoids in the Songnen-Zhangguangcai Range Massif, NE China: Petrogenesis and Tectonic Implications. Journal of Asian Earth Sciences, 148: 265–276. https://doi.org/10.1016/j.jseaes.2017.09.011
    Lyons, J., Geist, D., Harpp, K., et al., 2007. Crustal Growth by Magmatic Overplating in the Galápagos. Geology, 35(6): 511–514. https://doi.org/10.1130/g23044a.1
    Moresi, L., Betts, P. G., Miller, M. S., et al., 2014. Dynamics of Continental Accretion. Nature, 508(7495): 245–248. https://doi.org/10.1038/nature13033
    Ning, W. B., Kusky, T. M., Wang, L., et al., 2022. Archean Eclogite-Facies Oceanic Crust Indicates Modern-Style Plate Tectonics. Proceedings of the National Academy of Sciences of the United States of America, 119(15): e2117529119. https://doi.org/10.1073/pnas.2117529119
    Niu, Y. L., Zhao, Z. D., Zhu, D. C., et al., 2013. Continental Collision Zones are Primary Sites for Net Continental Crust Growth—A Testable Hypothesis. Earth-Science Reviews, 127: 96–110. https://doi.org/10.1016/j.earscirev.2013.09.004
    Norrish, K., Chappell, B. W., 1977. X-Ray Fluorescence Spectrometry. In: Zussman, J., ed., Physical Methods in Determinative Mineralogy. Academic Press, London, 201–272
    Richards, J. P., Kerrich, R., 2007. Special Paper: Adakite-Like Rocks: Their Diverse Origins and Questionable Role in Metallogenesis. Economic Geology, 102(4): 537–576. https://doi.org/10.2113/gsecongeo.102.4.537
    Rudnick, R. L., Gao S., 2003. Composition of the Continental Crust. Treatise on Geochemistry. Elsevier, Amsterdam, 1–64. https://doi.org/10.1016/b0-08-043751-6/03016-4
    Şengör, A. M. C., Natal'in, B. A., Burtman, V. S., 1993. Evolution of the Altaid Tectonic Collage and Palaeozoic Crustal Growth in Eurasia. Nature, 364(6435): 299–307. https://doi.org/10.1038/364299a0
    Sláma, J., Košler, J., Condon, D. J., et al., 2008. Plešovice Zircon—A New Natural Reference Material for U-Pb and Hf Isotopic Microanalysis. Chemical Geology, 249(1/2): 1–35. https://doi.org/10.1016/j.chemgeo.2007.11.005
    Söderlund, U., Patchett, P. J., Vervoort, J. D., et al., 2004. The 176Lu Decay Constant Determined by Lu-Hf and U-Pb Isotope Systematics of Precambrian Mafic Intrusions. Earth and Planetary Science Letters, 219(3/4): 311–324. https://doi.org/10.1016/s0012-821x(04)00012-3
    Stacey, J. S., Kramers, J. D., 1975. Approximation of Terrestrial Lead Isotope Evolution by a Two-Stage Model. Earth and Planetary Science Letters, 26(2): 207–221. https://doi.org/10.1016/0012-821x(75)90088-6
    Stein, M., Hofmann, A. W., 1994. Mantle Plumes and Episodic Crustal Growth. Nature, 372(6501): 63–68. https://doi.org/10.1038/372063a0
    Sun, D. Y., Wu, F. Y., Shan, G., et al., 2005. Confirmation of Two Episodes of A-Type Granite Emplacement during Late Triassic and Early Jurassic in the Central Jilin Province, and Their Constraints on the Structural Pattern of Eastern Jilin-Heilongjiang Area, China. Earth Science Frontiers, 12(2): 263–275 (in Chinese with English Abstract)
    Sun, M. S., 2013. Late Mesozoic Magmatism and Its Tectonic Implication for the Jiamusi Block and Adjacent Areas of NE China: [Dissertation]. Zhejiang University Curtin University, Hangzhou Perth
    Sun, S. S., McDonough, W. F., 1989. Chemical and Isotopic Systematics of Oceanic Basalts: Implications for Mantle Composition and Processes. Geological Society, London, Special Publications, 42(1): 313–345. https://doi.org/10.1144/gsl.sp.1989.042.01.19
    Takahashi, N., Kodaira, S., Tatsumi, Y., et al., 2008. Structure and Growth of the Izu-Bonin-Mariana Arc Crust: 1. Seismic Constraint on Crust and Mantle Structure of the Mariana Arc-Back-Arc System. Journal of Geophysical Research, 113(B1): B01104. https://doi.org/10.1029/2007jb005120
    Taylor, S., McLennan, S., 1985. The Continental Crust: Its Composition and Evolution: An Examination of the Geochemical Record Preserved in Sedimentary Rocks. Blackwell, Oxford
    Wang, W., Cawood, P. A., Zhou, M. F., et al., 2016. Paleoproterozoic Magmatic and Metamorphic Events Link Yangtze to Northwest Laurentia in the Nuna Supercontinent. Earth and Planetary Science Letters, 433: 269–279. https://doi.org/10.1016/j.epsl.2015.11.005
    Wang, Q. A., McDermott, F., Xu, J. F., et al., 2005. Cenozoic K-Rich Adakitic Volcanic Rocks in the Hohxil Area, Northern Tibet: Lower-Crustal Melting in an Intracontinental Setting. Geology, 33(6): 465–468. https://doi.org/10.1130/g21522.1
    Wang, S. Y., Liu, B. S., 2014. Characteristics of U-Pb Chronology and Geochemistry of Neoproterozoic Granitic Gneiss in Dongfengjingyingsuo of Yichun Area. Global Geology, 33(4): 780–786 (in Chinese with English Abstract)
    Wang, Y. B., Liu, J. M., Sun, S. K., et al., 2012. Zircon U-Pb Geochronology, Petrogenesis and Geological Implication of Ore-Bearing Granodiorite Porphyry in the Wulaga Gold Deposit, Heilongjiang Province. Acta Petrologica Sinica, 28(2): 557–570
    Wang, Z. S., Kusky, T. M., Wang, L., 2022. Long-Lasting Viscous Drainage of Eclogites from the Cratonic Lithospheric Mantle after Archean Subduction Stacking. Geology, 50(5): 583–587. https://doi.org/10.1130/g49793.1
    Wang, Z. W., Xu, W. L., Pei, F. P., et al., 2016. Geochronology and Geochemistry of Early Paleozoic Igneous Rocks of the Lesser Xing'an Range, NE China: Implications for the Tectonic Evolution of the Eastern Central Asian Orogenic Belt. Lithos, 261: 144–163. https://doi.org/10.1016/j.lithos.2015.11.006
    Wei, H. Y., Sun, D. Y., Ye, S. Q., et al., 2012. Zircon U-PB Ages and Its Geological Significance of the Granitic Rocks in the Yichun-Hegang Region, Southeastern Xiao Hinggan Mountains. Earth Science, 37: 50–59 (in Chinese with English Abstract)
    Woodhead, J. D., Hergt, J. M., 2005. A Preliminary Appraisal of Seven Natural Zircon Reference Materials for in situ Hf Isotope Determination. Geostandards and Geoanalytical Research, 29(2): 183–195. https://doi.org/10.1111/j.1751-908x.2005.tb00891.x
    Wu, C. L., Chen, A. Z., Gao, Q. M., et al., 2010. Discovery of the Paleo-Proterozoic Granite in Taoshan, Yichun, Northeastern China. Acta Geologica Sinica, 84(9): 1324–1332 (in Chinese with English Abstract)
    Wu, F. Y., Jahn, B. M., Wilde, S., et al., 2000. Phanerozoic Crustal Growth: U-Pb and Sr-Nd Isotopic Evidence from the Granites in Northeastern China. Tectonophysics, 328(1/2): 89–113. https://doi.org/10.1016/s0040-1951(00)00179-7
    Wu, F. Y., Sun, D. Y., Ge, W. C., et al., 2011. Geochronology of the Phanerozoic Granitoids in Northeastern China. Journal of Asian Earth Sciences, 41(1): 1–30. https://doi.org/10.1016/j.jseaes.2010.11.014
    Wu, X. W., Zhang, C., Zhang, Y. J., et al., 2018. 2.7 Ga Monzogranite on the Songnen Massif and Its Geological Implications. Acta Geologica Sinica-English Edition, 92(3): 1265–1266. https://doi.org/10.1111/1755-6724.13609
    Wu, Z. Z., Wang, C., Song, S. G., et al., 2022. Ultrahigh-Pressure Peridotites Record Neoarchean Collisional Tectonics. Earth and Planetary Science Letters, 596: 117787. https://doi.org/10.1016/j.epsl.2022.117787
    Xu, J. F., Wu, J. B., Wang, Q., et al., 2014. Research Advances of Adakites and Adakitic Rocks in China. Bulletin of Mineralogy, Petrology and Geochemistry, 33(1): 6–13 (in Chinese with English Abstract)
    Xu, W. L., Pei, F. P., Wang, F., et al., 2013. Spatial-Temporal Relationships of Mesozoic Volcanic Rocks in NE China: Constraints on Tectonic Overprinting and Transformations between Multiple Tectonic Regimes. Journal of Asian Earth Sciences, 74: 167–193. https://doi.org/10.1016/j.jseaes.2013.04.003
    Yu, J. J., Wang, F., Xu, W. L., et al., 2012. Early Jurassic Mafic Magmatism in the Lesser Xing'an-Zhangguangcai Range, NE China, and Its Tectonic Implications: Constraints from Zircon U-Pb Chronology and Geochemistry. Lithos, 142/143: 256–266. https://doi.org/10.1016/j.lithos.2012.03.016
    Zhang, C., Wu, X. W., Liu, Z. H., et al., 2018. Precambrian Geological Events on the Western Margin of Songnen massif: Evidence from LA-ICP-MS U-Pb Geochronology of Zircons from Paleoproterozoic Granite in the Longjiang Area. Acta Petrologica Sinica, 34(10): 3137–3152 (in Chinese with English Abstract)
    Zhang, Y. L., Liu, C. Z., Ge, W. C., et al., 2011. Ancient Sub-Continental Lithospheric Mantle (SCLM) beneath the Eastern Part of the Central Asian Orogenic Belt (CAOB): Implications for Crust-Mantle Decoupling. Lithos, 126(3/4): 233–247. https://doi.org/10.1016/j.lithos.2011.07.022
    Zhang, Z. C., Mao, J. W., Wang, Y. B., et al., 2010. Geochemistry and Geochronology of the Volcanic Rocks Associated with the Dong'an Adularia-Sericite Epithermal Gold Deposit, Lesser Hinggan Range, Heilongjiang Province, NE China: Constraints on the Metallogenesis. Ore Geology Reviews, 37(3/4): 158–174. https://doi.org/10.1016/j.oregeorev.2010.03.001
    Zhao, G. C., Cawood, P. A., 2012. Precambrian Geology of China. Precambrian Research, 222/223: 13–54. https://doi.org/10.1016/j.precamres.2012.09.017
    Zhong, Y. T., Kusky, T. M., Wang, L., et al., 2021. Alpine-Style Nappes Thrust over Ancient North China Continental Margin Demonstrate Large Archean Horizontal Plate Motions. Nature Communications, 12(1): 1–15. https://doi.org/10.1038/s41467-021-26474-7
    Zhou, J. B., Wilde, S. A., Zhang, X. Z., et al., 2009. The Onset of Pacific Margin Accretion in NE China: Evidence from the Heilongjiang High-Pressure Metamorphic Belt. Tectonophysics, 478(3/4): 230–246. https://doi.org/10.1016/j.tecto.2009.08.009
    Zhou, J. B., Wilde, S. A., Zhao, G. C., et al., 2018. Nature and Assembly of Microcontinental Blocks within the Paleo-Asian Ocean. Earth-Science Reviews, 186: 76–93. https://doi.org/10.1016/j.earscirev.2017.01.012
  • 加载中

Catalog

    通讯作者: 陈斌, bchen63@163.com
    • 1. 

      沈阳化工大学材料科学与工程学院 沈阳 110142

    1. 本站搜索
    2. 百度学术搜索
    3. 万方数据库搜索
    4. CNKI搜索

    Figures(10)

    Article Metrics

    Article views(599) PDF downloads(41) Cited by()
    Proportional views
    Related

    /

    DownLoad:  Full-Size Img  PowerPoint
    Return
    Return