Advanced Search

Indexed by SCI、CA、РЖ、PA、CSA、ZR、etc .

Volume 37 Issue 2
Apr 2026
Turn off MathJax
Article Contents
Jingjing Sun, Ying Liang, Qing-Long Fu. Chemodiversity of Dissolved Organic Matter in Groundwater Elucidated by the Ultrahigh-Resolution Mass Spectrometry: A Case Study of the Jianghan Plain, China. Journal of Earth Science, 2026, 37(2): 818-827. doi: 10.1007/s12583-023-1834-2
Citation: Jingjing Sun, Ying Liang, Qing-Long Fu. Chemodiversity of Dissolved Organic Matter in Groundwater Elucidated by the Ultrahigh-Resolution Mass Spectrometry: A Case Study of the Jianghan Plain, China. Journal of Earth Science, 2026, 37(2): 818-827. doi: 10.1007/s12583-023-1834-2

Chemodiversity of Dissolved Organic Matter in Groundwater Elucidated by the Ultrahigh-Resolution Mass Spectrometry: A Case Study of the Jianghan Plain, China

doi: 10.1007/s12583-023-1834-2
More Information
  • Corresponding author: Qing-Long Fu, fuqinglong@cug.edu.cn
  • Received Date: 27 Dec 2022
  • Accepted Date: 06 Apr 2023
  • Available Online: 30 Mar 2026
  • Issue Publish Date: 30 Apr 2026
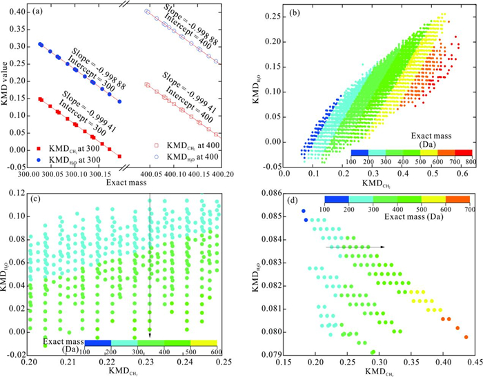
  • Dissolved organic matter (DOM) is an important reservoir of organic carbon ubiquitously present in various environmental systems. However, information regarding the chemodiversity of groundwater DOM at the molecular level is still limited. Herein, the Fourier transform ion cyclotron resonance mass spectrometry (FT-ICR MS) was used to characterize the molecular composition and chemodiversity of groundwater DOM from the Jianghan Plain, China. Overall, the groundwater DOM was mainly composed of CHO molecules, followed by CHON and CHOS molecules. Results of the Kendrick mass defect (KMD)-based homologous analysis revealed that the majority of CH2-homologue, H2O-homologue, and COO-homologue series generally have 2 to 8, 2 to 6, and 2 to 6 formulae for a given homologous series, respectively. The positive correlation observed among functional diversity indices suggesting that the chemodiversity of groundwater DOM is largely governed by their molecular characteristics could be quantified by the molecular parameter-based functional diversity. The higher functional diversity of unique molecules than common molecules suggests its potential role in tracing the transformation of DOM in various environments. The findings of this study are expected to deepen the understanding of chemical composition and structure, degradation and transformation of groundwater DOM, and its biogeochemical cycle in groundwater and surface water.

     

  • Electronic Supplementary Materials: Supplementary materials (Tables S1–S5; Figures S1–S5; Texts S1–S3) are available in the online version of this article at https://doi.org/10.1007/s12583-023-1834-2.
    Conflict of Interest
    The authors declare that they have no conflict of interest.
  • loading
  • Aguilar-Alarcón, P., Gonzalez, S. V., Simonsen, M. A., et al., 2020. Characterizing Changes of Dissolved Organic Matter Composition with the Use of Distinct Feeds in Recirculating Aquaculture Systems via High-Resolution Mass Spectrometry. Science of the Total Environment, 749: 142326. https://doi.org/10.1016/j.scitotenv.2020.142326
    Bae, E., Yeo, I. J., Jeong, B., et al., 2011. Study of Double Bond Equivalents and the Numbers of Carbon and Oxygen Atom Distribution of Dissolved Organic Matter with Negative-Mode FT-ICR MS. Analytical Chemistry, 83(11): 4193–4199. https://doi.org/10.1021/ac200464q
    Bao, H. Y., Niggemann, J., Luo, L., et al., 2017. Aerosols as a Source of Dissolved Black Carbon to the Ocean. Nature Communications, 8: 510. https://doi.org/10.1038/s41467-017-00437-3
    Botta-Dukát, Z., 2005. Rao􀆳s Quadratic Entropy as a Measure of Functional Diversity Based on Multiple Traits. Journal of Vegetation Science, 16(5): 533–540. https://doi.org/10.1111/j.1654-1103.2005.tb02393.x
    Chao, A., Shen, T., 2004. Nonparametric Estimation of Shannon's Index of Diversity when there are Unseen Species in Sample. Environmental and Ecological Statistics, 10(4): 429–443. https://doi.org/10.1023/a:1026096204727
    Chen, S., Xie, Q. R., Su, S. H., et al., 2022. Source and Formation Process Impact the Chemodiversity of Rainwater Dissolved Organic Matter along the Yangtze River Basin in Summer. Water Research, 211: 118024. https://doi.org/10.1016/j.watres.2021.118024
    Chen, X., Liu, J. H., Chen, J. F., et al., 2022. Oxygen Availability Driven Trends in DOM Molecular Composition and Reactivity in a Seasonally Stratified Fjord. Water Research, 220: 118690. https://doi.org/10.1016/j.watres.2022.118690
    D'Andrilli, J., Cooper, W. T., Foreman, C. M., et al., 2015. An Ultrahigh-Resolution Mass Spectrometry Index to Estimate Natural Organic Matter Lability. Rapid Communications in Mass Spectrometry, 29(24): 2385–2401. https://doi.org/10.1002/rcm.7400
    de Corte, D., Varela, M. M., Louro, A. M., et al., 2023. Zooplankton-Derived Dissolved Organic Matter Composition and Its Bioavailability to Natural Prokaryotic Communities. Limnology and Oceanography, 68(2): 336–347. https://doi.org/10.1002/lno.12272
    Deng, W. Y., He, C., Shi, Q., et al., 2022. Separation and Characterization of Sulfonates in Dissolved Organic Matter from Industrial Wastewater by Solid Phase Extraction and High-Resolution Mass Spectrometry. Analytical and Bioanalytical Chemistry, 414(16): 4697–4706. https://doi.org/10.1007/s00216-022-04092-6
    Ding, Y., Shi, Z. Q., Ye, Q. T., et al., 2020. Chemodiversity of Soil Dissolved Organic Matter. Environmental Science & Technology, 54(10): 6174–6184. https://doi.org/10.1021/acs.est.0c01136
    Dittmar, T., Koch, B. P., 2006. Thermogenic Organic Matter Dissolved in the Abyssal Ocean. Marine Chemistry, 102(3/4): 208–217. https://doi.org/10.1016/j.marchem.2006.04.003
    Dittmar, T., Koch, B., Hertkorn, N., et al., 2008. A Simple and Efficient Method for the Solid-Phase Extraction of Dissolved Organic Matter (SPE-DOM) from Seawater. Limnology and Oceanography: Methods, 6(6): 230–235. https://doi.org/10.4319/lom.2008.6.230
    Du, Y., Deng, Y. M., Liu, Z. H., et al., 2021. Novel Insights into Dissolved Organic Matter Processing Pathways in a Coastal Confined Aquifer System with the Highest Known Concentration of Geogenic Ammonium. Environmental Science & Technology, 55(21): 14676–14688. https://doi.org/10.1021/acs.est.1c05301
    Flerus, R., Koch, B. P., Schmitt-Kopplin, P., et al., 2011. Molecular Level Investigation of Reactions between Dissolved Organic Matter and Extraction Solvents Using FT-ICR MS. Marine Chemistry, 124(1/2/3/4): 100–107. https://doi.org/10.1016/j.marchem.2010.12.006
    Flerus, R., Lechtenfeld, O. J., Koch, B. P., et al., 2012. A Molecular Perspective on the Ageing of Marine Dissolved Organic Matter. Biogeosciences, 9(6): 1935–1955. https://doi.org/10.5194/bg-9-1935-2012
    Fu, Q. L., Fujii, M., Kwon, E., 2020. Development and Application of a High-Precision Algorithm for Nontarget Identification of Organohalogens Based on Ultrahigh-Resolution Mass Spectrometry. Analytical Chemistry, 92(20): 13989–13996. https://doi.org/10.1021/acs.analchem.0c02899
    Fu, Q. L., Fujii, M., Kwon, E., 2022a. Development of an Internal Calibration Algorithm for Ultrahigh-Resolution Mass Spectra of Dissolved Organic Matter. Analytical Chemistry, 94(30): 10589–10594. https://doi.org/10.1021/acs.analchem.2c01342
    Fu, Q. L., Fujii, M., Watanabe, A., et al., 2022b. Formula Assignment Algorithm for Deuterium-Labeled Ultrahigh-Resolution Mass Spectrometry: Implications of the Formation Mechanism of Halogenated Disinfection Byproducts. Analytical Chemistry, 94(3): 1717–1725. https://doi.org/10.1021/acs.analchem.1c04298
    Hansman, R. L., Dittmar, T., Herndl, G. J., 2015. Conservation of Dissolved Organic Matter Molecular Composition during Mixing of the Deep Water Masses of the Northeast Atlantic Ocean. Marine Chemistry, 177: 288–297. https://doi.org/10.1016/j.marchem.2015.06.001
    Hu, X. S., Zhou, Y. Q., Zhou, L., et al., 2022. Urban and Agricultural Land Use Regulates the Molecular Composition and Bio-Lability of Fluvial Dissolved Organic Matter in Human-Impacted Southeastern China. Carbon Research, 1(1): 19. https://doi.org/10.1007/s44246-022-00020-6
    Hughey, C. A., Hendrickson, C. L., Rodgers, R. P., et al., 2001. Kendrick Mass Defect Spectrum: A Compact Visual Analysis for Ultrahigh-Resolution Broadband Mass Spectra. Analytical Chemistry, 73(19): 4676–4681. https://doi.org/10.1021/ac010560w
    Jylhä-Ollila, M., Laine-Kaulio, H., Schilder, J., et al., 2021. Carbon Budget and Molecular Structure of Natural Organic Matter in Bank Infiltrated Groundwater. Groundwater, 59(5): 644–657. https://doi.org/10.1111/gwat.13087
    Kellerman, A. M., Dittmar, T., Kothawala, D. N., et al., 2014. Chemodiversity of Dissolved Organic Matter in Lakes Driven by Climate and Hydrology. Nature Communications, 5: 3804. https://doi.org/10.1038/ncomms4804
    Kellerman, A. M., Kothawala, D. N., Dittmar, T., et al., 2015. Persistence of Dissolved Organic Matter in Lakes Related to Its Molecular Characteristics. Nature Geoscience, 8(6): 454–457. https://doi.org/10.1038/ngeo2440
    Kendrick, E., 1963. A Mass Scale Based on CH2 = 14.000 0 for High Resolution Mass Spectrometry of Organic Compounds. Analytical Chemistry, 35(13): 2146–2154. https://doi.org/10.1021/ac60206a048
    Kim, S., Kramer, R. W., Hatcher, P. G., 2003. Graphical Method for Analysis of Ultrahigh-Resolution Broadband Mass Spectra of Natural Organic Matter, the van Krevelen Diagram. Analytical Chemistry, 75(20): 5336–5344. https://doi.org/10.1021/ac034415p
    Koch, B. P., Dittmar, T., 2006. From Mass to Structure: An Aromaticity Index for High-Resolution Mass Data of Natural Organic Matter. Rapid Communications in Mass Spectrometry, 20(5): 926–932. https://doi.org/10.1002/rcm.2386
    Koch, B. P., Witt, M., Engbrodt, R., et al., 2005. Molecular Formulae of Marine and Terrigenous Dissolved Organic Matter Detected by Electrospray Ionization Fourier Transform Ion Cyclotron Resonance Mass Spectrometry. Geochimica et Cosmochimica Acta, 69(13): 3299–3308. https://doi.org/10.1016/j.gca.2005.02.027
    Li, X. M., Sun, G. X., Chen, S. C., et al., 2018. Molecular Chemodiversity of Dissolved Organic Matter in Paddy Soils. Environmental Science & Technology, 52(3): 963–971. https://doi.org/10.1021/acs.est.7b00377
    Li, X. Q., Liu, Y., He, N. J., et al., 2024. Fluorescence Excitation-Emission Matrix Characteristics and Implication of Dissolved Organic Matter in Groundwater at a Typical Refinery-Polluted Site. Earth Science, 49(6): 2199–2212 (in Chinese with English Abstract)
    Longnecker, K., Kujawinski, E. B., 2011. Composition of Dissolved Organic Matter in Groundwater. Geochimica et Cosmochimica Acta, 75(10): 2752–2761. https://doi.org/10.1016/j.gca.2011.02.020
    Luo, J. W., Zhou, Q. X., Hu, X. G., et al., 2022. Lake Chemodiversity Driven by Natural and Anthropogenic Factors. Environmental Science & Technology, 56(9): 5910–5919. https://doi.org/10.1021/acs.est.1c08148
    McDonough, L. K., Andersen, M. S., Behnke, M. I., et al., 2022. A New Conceptual Framework for the Transformation of Groundwater Dissolved Organic Matter. Nature Communications, 13: 2153. https://doi.org/10.1038/s41467-022-29711-9
    McDonough, L. K., O'Carroll, D. M., Meredith, K., et al., 2020. Changes in Groundwater Dissolved Organic Matter Character in a Coastal Sand Aquifer Due to Rainfall Recharge. Water Research, 169: 115201. https://doi.org/10.1016/j.watres.2019.115201
    Mentges, A., Feenders, C., Seibt, M., et al., 2017. Functional Molecular Diversity of Marine Dissolved Organic Matter is Reduced during Degradation. Frontiers in Marine Science, 4: 194. https://doi.org/10.3389/fmars.2017.00194
    Nai, H., Xin, J., Liu, Y., et al., 2020. Distribution and Molecular Chemodiversity of Dissolved Organic Nitrogen in the Vadose Zone-Groundwater System of a Fluvial Plain, Northern China: Implications for Understanding Its Loss Pathway to Groundwater. Science of the Total Environment, 723: 137928. https://doi.org/10.1016/j.scitotenv.2020.137928
    Ohno, T., Parr, T. B., Gruselle, M. C I., et al., 2014. Molecular Composition and Biodegradability of Soil Organic Matter: A Case Study Comparing Two New England Forest Types. Environmental Science & Technology, 48(13): 7229–7236. https://doi.org/10.1021/es405570c
    Qi, Y. L., Hempelmann, R., Volmer, D. A., 2016. Two-Dimensional Mass Defect Matrix Plots for Mapping Genealogical Links in Mixtures of Lignin Depolymerisation Products. Analytical and Bioanalytical Chemistry, 408(18): 4835–4843. https://doi.org/10.1007/s00216-016-9598-5
    Qi, Y. L., Xie, Q., Wang, J. J., et al., 2022. Deciphering Dissolved Organic Matter by Fourier Transform Ion Cyclotron Resonance Mass Spectrometry\u00a0(FT-ICR MS): From Bulk to Fractions and Individuals. Carbon Research, 1(1): 3. https://doi.org/10.1007/s44246-022-00002-8
    Rao, C. R., 1982. Diversity and Dissimilarity Coefficients: A Unified Approach. Theoretical Population Biology, 21(1): 24–43. https://doi.org/10.1016/0040-5809(82)90004-1
    Riedel, T., Biester, H., Dittmar, T., 2012. Molecular Fractionation of Dissolved Organic Matter with Metal Salts. Environmental Science & Technology, 46(8): 4419–4426. https://doi.org/10.1021/es203901u
    Roth, V. N., Dittmar, T., Gaupp, R., et al., 2015. The Molecular Composition of Dissolved Organic Matter in Forest Soils as a Function of pH and Temperature. PLoS One, 10(3): e0119188. https://doi.org/10.1371/journal.pone.0119188
    Seidel, M., Beck, M., Riedel, T., et al., 2014. Biogeochemistry of Dissolved Organic Matter in an Anoxic Intertidal Creek Bank. Geochimica et Cosmochimica Acta, 140: 418–434. https://doi.org/10.1016/j.gca.2014.05.038
    Shen, Y., Chapelle, F. H., Strom, E. W., et al., 2015. Origins and Bioavailability of Dissolved Organic Matter in Groundwater. Biogeochemistry, 122(1): 61–78. https://doi.org/10.1007/s10533-014-0029-4
    Shi, W. X., Zhuang, W. E., Hur, J., et al., 2021. Monitoring Dissolved Organic Matter in Wastewater and Drinking Water Treatments Using Spectroscopic Analysis and Ultra-High Resolution Mass Spectrometry. Water Research, 188: 116406. https://doi.org/10.1016/j.watres.2020.116406
    Sleighter, R. L., Hatcher, P. G., 2007. The Application of Electrospray Ionization Coupled to Ultrahigh Resolution Mass Spectrometry for the Molecular Characterization of Natural Organic Matter. Journal of Mass Spectrometry, 42(5): 559–574. https://doi.org/10.1002/jms.1221
    Smith, C. R., Sleighter, R. L., Hatcher, P. G., et al., 2013. Molecular Characterization of Inhibiting Biochar Water-Extractable Substances Using Electrospray Ionization Fourier Transform Ion Cyclotron Resonance Mass Spectrometry. Environmental Science & Technology, 47(23): 13294–13302. https://doi.org/10.1021/es4034777
    Xiong, J., Sun, Z. Y., Hu, Y. L., et al., 2024. Characteristics of Dissolved Organic Matter in Alpine Mountain Soils and Its Effect on Riverine Dissolved Organic Matter Export. Earth Science, 49(11): 4169–4183 (in Chinese with English Abstract)
    Xue, J. K., Deng, Y. M., Luo, Y. P., et al., 2022. Unraveling the Impact of Iron Oxides-Organic Matter Complexes on Iodine Mobilization in Alluvial-Lacustrine Aquifers from Central Yangtze River Basin. Science of the Total Environment, 814: 151930. https://doi.org/10.1016/j.scitotenv.2021.151930
    Yang, L., Wu, S. X., Fu, Q. L., 2024. Application of Fourier Transform Ion Cyclotron Resonance Mass Spectrometry in Molecular Characterization of Dissolved Organic Matter: A Bibliometrics-Based Visual Study. Earth Science, 49(11): 4156–4168 (in Chinese with English Abstract)
    Yang, Y. J., Yuan, X. F., Deng, Y. M., et al., 2020. Seasonal Dynamics of Dissolved Organic Matter in High Arsenic Shallow Groundwater Systems. Journal of Hydrology, 589: 125120. https://doi.org/10.1016/j.jhydrol.2020.125120
    Yu, K., Duan, Y. H., Gan, Y. Q., et al., 2020. Anthropogenic Influences on Dissolved Organic Matter Transport in High Arsenic Groundwater: Insights from Stable Carbon Isotope Analysis and Electrospray Ionization Fourier Transform Ion Cyclotron Resonance Mass Spectrometry. Science of the Total Environment, 708: 135162. https://doi.org/10.1016/j.scitotenv.2019.135162
    Zhang, H. F., Zhang, Y. H., Shi, Q., et al., 2012. Characterization of Low Molecular Weight Dissolved Natural Organic Matter along the Treatment Trait of a Waterworks Using Fourier Transform Ion Cyclotron Resonance Mass Spectrometry. Water Research, 46(16): 5197–5204. https://doi.org/10.1016/j.watres.2012.07.004
    Zhang, P., Cao, C., Wang, Y. H., et al., 2021. Chemodiversity of Water-Extractable Organic Matter in Sediment Columns of a Polluted Urban River in South China. Science of the Total Environment, 777: 146127. https://doi.org/10.1016/j.scitotenv.2021.146127
    Zhang, Y. L., Heal, K. V., Shi, M. J., et al., 2022. Decreasing Molecular Diversity of Soil Dissolved Organic Matter Related to Microbial Community along an Alpine Elevation Gradient. Science of the Total Environment, 818: 151823. https://doi.org/10.1016/j.scitotenv.2021.151823
    Zhao, Q., Gan, Y. Q., Deng, Y. M., et al., 2022. Identifying Carbon Processing Based on Molecular Differences between Groundwater and Water-Extractable Aquifer Sediment Dissolved Organic Matter in a Quaternary Alluvial-Lacustrine Aquifer. Applied Geochemistry, 137: 105199. https://doi.org/10.1016/j.apgeochem.2022.105199
  • 加载中

Catalog

    通讯作者: 陈斌, bchen63@163.com
    • 1. 

      沈阳化工大学材料科学与工程学院 沈阳 110142

    1. 本站搜索
    2. 百度学术搜索
    3. 万方数据库搜索
    4. CNKI搜索

    Figures(4)

    Article Metrics

    Article views(109) PDF downloads(8) Cited by()
    Proportional views
    Related

    /

    DownLoad:  Full-Size Img  PowerPoint
    Return
    Return