Advanced Search

Indexed by SCI、CA、РЖ、PA、CSA、ZR、etc .

Current Issue

COVER
2026, 37(2): .
Abstract:
CONTENTS
2026, 37(2): .
Abstract:
Structural Geology, Petrology and Geochemistry
Meso-Tethys Ocean-Continent Subduction: Evidence from Zircon U-Pb Age and Geochemistry of Tonga-Like Boninites and High-Mg Andesites in the Dingqing Ophiolite, Xizang
Pengdong Liu, Fei Liu, Xiaohan Gong, Xinyang Zhu, Bo Wu, Guangya Wang, Ahmed E. Masoud
2026, 37(2): 381-395. doi: 10.1007/s12583-024-0107-z
Abstract:

The Dingqing ophiolite in the eastern segment of the Bangong-Nujiang suture zone records multiple episodes of magmatic events, providing crucial constraints on the tectonic evolution of the Meso-Tethyan Ocean. We focus on sheet dikes recently discovered during the geological survey of 1 : 50 000 scale mapping the Dingqing East ophiolite. The studied samples are categorized into two types of high-Ca boninite and high-Mg andesite. Two high-Mg andesite samples yield in-situ zircon U-Pb ages of 161.59 ± 0.59 and 162.85 ± 0.76 Ma, respectively. All samples show high contents of SiO2 (55.00 wt.%–59.76 wt.%), large range of MgO (4.32 wt.%–17.12 wt.%) and low TiO2 (0.17 wt.%–0.25 wt.%). In primitive mantle-normalized trace-element diagrams, they are characterized by enrichment in large ion lithophile elements (LILEs) such as Rb and Ba, and depletion in high field strength elements (HFSEs) such as Nb, Ta and Th. The absence of an obvious Zr-Hf spike is distinct from those of Izu-Bonin forearc boninites, but analogues for those of the Tonga boninites. We propose that the boninitic sheeted dikes formed in an ocean-continent subduction zone during the northward subduction of the Meso-Tethyan oceanic slab to the southern Qiangtang continental lithospheric mantle, which was probably influenced by an Early Permian mantle plume.

Uplift of the Central Part of the Jinsha River, Southeastern Tibetan Plateau: Evidence from Apatite Fission Track Dating and Bedrock Channel Longitudinal Profiles
Yangyang Ren, Youpu Dong, Wenchang Li
2026, 37(2): 396-411. doi: 10.1007/s12583-024-0039-7
Abstract:

The initial timing of uplift at the southeastern margin of the Tibetan Plateau (SMTP) remains under debate, with estimates ranging from the Eocene, to the Oligocene. The Jinsha River was formed before the Miocene, therefore, it is likely to record the uplift information of the Tibetan Plateau, which is important for understanding the tectonic uplift of the SMTP. Here, we collected granite samples from the Yangla area in the middle part of the Jinsha River, and analyzed the uplift characteristics of the Cenozoic in the middle part of the Jinsha River by using the apatite fission tracks and the river longitudinal profiles. We show that the uplift time of the first phase is about 25–20 Ma, and the uplift time of the second phase is about 5 Ma. From the channel profile, seven tributaries of the Jinsha Rivers also have developed two phases of knickpoints. The tributaries consist of three sections with distinct geomorphological parameters, each separated by knickpoints. We argue that large-scale uplift occurred in the Late Cenozoic on the SMTP, with different locations having different uplift times, and the interior may have undergone significant uplift in the early Oligocene, but significant uplift of the SMTP occurred by the Late Oligocene to Early Miocene. The Jinsha River flowing from the interior of the plateau has developed multiple knick points during the uplift process, recording information about the uplift of the Tibetan Plateau.

Ash Aggregate Accumulation and Its Significance to the Paleo-Volcano Edifice Reconstruction of the Early Cretaceous Yingcheng Formation in the Southeastern Margin of the Songliao Basin, China
Ye Wang, Rihui Cheng, Yanjie Shen, Zhongjie Xu, Yang Zhou
2026, 37(2): 412-426. doi: 10.1007/s12583-023-1815-5
Abstract:

The ash aggregates occur in the pyroclastic rocks of Early Cretaceous Yingcheng Formation, which are outcropped in the southeastern margin of the Songliao Basin, China. We focus on the types and genesis of the ash aggregates. Five types of ash aggregates are identified, including ash pellets (Ap), layered accretionary lapilli (Lacc), ultrafine rim-type accretionary lapilli (Ufacc), coated lava particle (Clp), and coated breccia (Cb), and there are six types of lithofacies related to ash aggregate accumulation: (1) Ap and Lacc bearing fine tuff with hummocky-parallel bedding, (2) Ufacc bearing fine tuff with hummocky-parallel bedding, (3) Lacc and Ufacc bearing fine tuff with hummocky-parallel bedding, (4) Ap, Clp, Lacc, and Ufacc bearing medium-fine tuff with graded and parallel bedding, (5) Lacc and Cb bearing lapilli-ash tuff with massive-graded bedding, and (6) Cb bearing lapilli tuff with massive-welded structure. Base surges, pyroclastic flows, and ash falls contribute to the ash aggregation, especially ash falls. Our study of the ash aggregate accumulation relative to the lithofacies and their spatial distribution is helpful to reconstruct the paleo-volcano edifice, distinguish the ash fall deposits from the pyroclastic flow/surge deposits and infer wind direction during the time of volcanic activity in the research area.

Characteristics of the Recently Identified Seismic Surface Rupture Zone along the Eastern Segment of the Kunzhong Fault and Its Seismogeological Significance, Northern Tibetan Plateau
Yanwen Chen, Daoyang Yuan, Hao Sun, Yan Zhan, Hongqiang Li, Yameng Wen, Ruihuan Su, Jinchao Yu
2026, 37(2): 427-442. doi: 10.1007/s12583-025-0232-3
Abstract:

The Tibetan Plateau is one of the regions with the most active neotectonic movement and frequent seismic activity in the world. The Bayan Har Block, located in the Northern Tibetan Plateau, has been the main area for clusters of major earthquakes with M ≥ 7 on the Chinese mainland in the past 28 years. The Kunzhong fault (KZF) is an important branch of the East Kunlun fault zone (EKF), which forms the northern boundary of the Bayan Har Block. The KZF is crucial for understanding regional tectonic evolution and seismic activity, but research on its Late Quaternary tectonic activity remains limited. On the basis of satellite image interpretation, field investigations, and high-resolution unmanned aerial vehicle photogrammetry, this study identifies an ~40 km-long seismic surface rupture zone well preserved in the eastern segment of the KZF. The rupture zone is characterized by left-lateral dislocated small gullies, cracks and scarps, with a maximum co-seismic horizontal displacement of ~2.9 ± 0.1 m. This earthquake's magnitude is estimated to be M7.2 ± 0.2 according to the statistical relationships between parameters of strike-slip seismic surface rupture zone and magnitude. Based on the surface rupture characteristics, seismogenic faults, and historical seismic records, this earthquake may have been a clustered event occurring shortly before or after the 1937 Tuosuo Lake MS7.5 earthquake. Alternatively, it may also have been a joint earthquake involving the KZF and EKF that occurred simultaneously with the Tuosuo Lake earthquake. Combined with deep crustal magnetotelluric profiles, these findings suggest that the region between the KZF and EKF forms a diffuse transition boundary zone in the northern Bayan Har Block. In seismic risk assessments of active faults, greater attention should be given to clustered or joint rupture earthquakes occurring along both main block boundary faults and their branch faults.

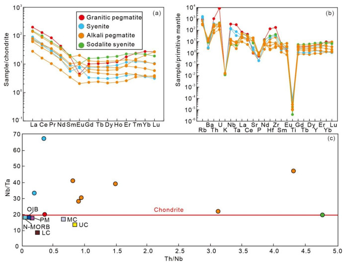
Altered Oceanic Crust Source for the Alkaline Rocks with Superchondritic Nb/Ta Ratios Due to the Steep Subduction
Xu Zhao, Ning-Bo Li, He-Cai Niu, Shu-Cheng Tan
2026, 37(2): 443-456. doi: 10.1007/s12583-024-0072-6
Abstract:

The cause resulting in alkaline rocks with superchondritic Nb/Ta ratios remains a geochemical enigma. This paper presents zircon and apatite geochronology, mineralogy, geochemistry, and Nd-Hf-Zn isotope investigation on the Ejinao nepheline syenite from South China to constrain the petrogenesis of alkaline rocks. The occurrence of alkaline minerals, including alkaline feldspar, arfvedsonite, and nepheline, indicate an alkaline feature of the Ejinao nepheline syenite. Zircon and apatite from the rock show U-Pb concordia age of 135.4 ± 0.9 and 137.5 ± 5.8 Ma, respectively, suggesting generation in the Early Cretaceous. The rock is characterized by low MgO (0.17 wt.%–0.26 wt.%) contents, but high Fe2O3T (4.66 wt.%–6.16 wt.%) and total alkalis (Na2O + K2O = 12.1 wt.%–13.1 wt.%) contents, consistent with the melts from subducting oceanic crust rather than mantle peridotite. The rock has low TiO2 (0.13 wt.%–0.21 wt.%) contents and superchondritic Nb/Ta and Zr/Hf ratios, resulting from rutile residue in the source area. The εNd(t) (-1.35 to -1.09), εHf(t) (-3.03 to -1.52), and δ66Zn (0.32‰ to 0.34‰) values of the nepheline syenite manifest the involvement of 15%–20% carbonate-bearing sediments in the altered oceanic crust. Geochemical modeling further reveals that the nepheline syenite was sourced from 10%–20% melting of such a source. This superchondritic Nb/Ta nepheline syenite was generated during the steep subduction of the Paleo-Pacific Ocean, which is needed to bring oceanic slab to a hot mantle and resulted in the altered oceanic crust melting. Our study highlights that the altered oceanic crust represents a novel source for superchondritic Nb/Ta alkaline rocks.

ZirconfO2: An Excel VBA Program for Magmatic and Hydrothermal Oxygen Fugacity Calculation Using Zircon Trace Elements
Jing Lei, Yilin Xiao
2026, 37(2): 457-467. doi: 10.1007/s12583-023-1975-y
Abstract:

Oxygen fugacity of magmas and hydrothermal fluids is an important factor affecting element migration and mineralization. Zircon is an excellent monitor for oxygen fugacity of melts and fluids due to its exceptionally stable nature. However, zircon oxybarometers involve many complex algorithms leading to difficulties in use. Therefore, there is an urgent need to realize automatic calculation of various zircon oxybarometers. This study developed a Visual Basic for Applications (VBA) program, ZirconfO2, built in an ExcelTM workbook, for calculating the oxygen fugacity of magmatic and hydrothermal fluids through the trace element characteristics of zircons. The program covers almost all the algorithms of zircon oxybarometers commonly-used so far. Through the user-friendly interface, users may input data expediently, obtain multiple results of various algorithms and find the most reliable oxygen fugacity range, effectively avoiding the possible misdirection of a single algorithm.

Mineral Deposits
In-situ Elemental and Boron Isotopic Geochemistry of Tourmalines from Pegmatites in the Edanggang Li-Be Deposit in the Quanji Massif, NW China
Xuan Zhou, Tong Pan, Shan-Ping Li, Qing-Feng Ding
2026, 37(2): 468-483. doi: 10.1007/s12583-023-1939-5
Abstract:

The Edanggang area is characterized by small-scale Li-Be-bearing granitic pegmatites in the Quanji Massif, northwest China. The genesis of these Li-Be-bearing pegmatites remains unresolved. In this study, we use tourmalines as an indicator to constrain the genesis of them. In-situ major and trace elements and boron isotopic compositions of tourmaline are analyzed. Two types of tourmalines are recognized, i.e., coarse-grained tourmaline (Tur 1) and fine tourmaline (Tur 2). Both types of tourmalines share similar geochemical characteristics and are enriched in Fe, Na, and Al, but relatively depleted in Ca and Mg, with compositions close to alkali-group tourmaline and schorl. Petrography, chemical discrimination diagrams, and Al occupations in the Y-site suggest that the tourmalines are magmatic origin formed in the late stage of granitic pegmatite crystallization. Low V and Sr contents, and relatively high Co/Ni ratios of tourmalines are also in agreement with the above origin. The δ11B values of all tourmalines vary from -14.13‰ to -10.40‰, indicating the boron in the pegmatites was mainly derived from parental granitic pegmatite magma. The last-formed magmatic mineral assemblages of magmatic crystallizations in the Early Triassic might contribute to predominant Li and Be reserves rather than the late external hydrothermal metasomatism.

Petrogenesis and Nb Metallogenic Implications of the Yilan-Like Rare-Metal-Bearing Peralkaline-Alkaline Intrusion in the Northern Tarim Basin in Northwest China
Ying Wang, Cuicui Wang, Zuohuai Yang, Lei Jiang
2026, 37(2): 484-507. doi: 10.1007/s12583-024-0091-3
Abstract:

Despite extensive studies on Nb deposits associated with alkaline rocks, the key factors controlling Nb enrichment remain uncertain, with conditions varying across distinct alkaline intrusions. To better understand Nb mineralization in alkaline rocks, we conducted an integrated investigation of samples from an Nb-bearing peralkaline-alkaline intrusion in the Yilan-like region of the northern Tarim Basin. The Yilan-like intrusion is predominatly composed of granitic pegmatite, alkali pegmatite, syenite, and sodalite syenite. Zircon dating results reveal that this intrusion was emplaced at about 276 Ma. The Yilan-like intrusion is characterized by high SiO2 and total alkali contents and prominent enrichment of HFSE and LREE, with obvious depletions of Ba, K, P, and Ti. The peralkaline-alkaline rocks have high initial 87Sr/86Sr ratios (0.715 8 to 0.853 3) and negative εNd(t) values (-7.8 to -8.5). We propose that the Yilan-like peralkaline-alkaline intrusion was generated via remelting of deep crustal materials enriched in alkali, F, and HFSE. With Nb concentrations reaching up to 252 ppm and Nb primarily hosted in titanite, ilmenite, rutile, pyrochlore, and columbite, the intrusion shows significant potential for Nb mineralization. Based on the chemical compositions of Nb minerals, we suggest that both magmatic and hydrothermal processes played key roles in Nb enrichment.

Metallogenic Age of the Qianjiadian Uranium Deposit—Evidence from Fluid Inclusions and (U-Th)/He
Ruxin Ding, Yangshijia Li, Zilong Li, Rongli Huang, Minqiang Cao, Xingzhou Chen, Hui Rong, Heping Zou
2026, 37(2): 508-516. doi: 10.1007/s12583-023-1819-1
Abstract:

The metallogenic age of sandstone-type uranium deposits has always been a scientific problem to be solved in uranium exploration. This paper proposes a method combining the homogenization temperature of secondary fluid inclusions with the apatite (U-Th)/He dating method to determine the metallogenic age related to fluid trapping. The dates of apatite (U-Th)/He can be used as the lower limit of the metallogenic age when the closure temperature of apatite (U-Th)/He is less than the homogenization temperature of the secondary fluid. The samples of the uranium deposits in the Qianjiadian sag show that the homogenization temperatures of secondary fluid inclusions in the ore-bearing horizon are about 83–204 ℃ with a peak of 110–115 ℃, and the apatite (U-Th)/He dates in the same horizon vary between 29.0 ± 1.5–41.8 ± 2.7 Ma. Because the homogenization temperatures of secondary fluid are greater than the closure temperature of apatite (U-Th)/He (75 ± 5 ℃), the dates of apatite (U-Th)/He (29.0 ± 1.5–41.8 ± 2.7 Ma) are considered as the lower limit of the metallogenic age.

Rare-Earth Elements (REE) and Mercury in the Historically Important Miguel Burnier Manganese-Ore District, Quadrilátero Ferrífero of Minas Gerais, Brazil
Tiago Henrique DeFerreira, Alexandre Raphael Cabral, Francisco Javier Rios, Lucas Eustáquio Dias Amorim
2026, 37(2): 517-530. doi: 10.1007/s12583-025-0208-3
Abstract:

The Miguel Burnier manganese (Mn)-ore deposit, located in the Quadrilátero Ferrífero of Minas Gerais, Brazil, has enrichments in the rare-earth elements (REE). Here, this finding is reported. Three types of REE enrichments have been identified in: (1) Cenozoic wad-like diamictite; (2) hydrothermally altered manganiferous mudstone of Cenozoic age; (3) lithiophorite-rich veinlets and pockets within Precambrian itabirite. In the latter, churchite-(Y) [Y(PO4)·2H2O] and rhabdophane-(La) [La(PO4)·H2O] are the main REE-bearing minerals. Other metals, in particular mercury (Hg), are also enriched, indicating that metalliferous overprint took place during the Cenozoic in a tectonically stable, cratonic terrane.

Energy Science
Investigation of Oil Content in Lacustrine Shale-Oil Systems: Insights from Two Different Pyrolysis
Yuping Wu, Chenglin Liu, Fujie Jiang, Tao Hu, Chenxi Zhang, Jiahao Lyu, Renda Huang, Meiling Hu, Guanyun Wu, Rizwan Sarwar Awan
2026, 37(2): 531-543. doi: 10.1007/s12583-023-1814-6
Abstract:

This research has investigated the oil content of lacustrine shale-oil systems from the Junggar Basin. Twenty-eight samples are used for different pyrolysis experiments to study the characteristics of shale oil occurrence and the difference between various evaluation methods. Additionally, the factors affecting the physical states of shale oil are discussed. Compared with the standard Rock-Eval, the two-step pyrolysis and multi-step pyrolysis can eliminate the influence of the carryover effect. Therefore, these two types of pyrolysis are used to obtain the total, free, and adsorbed oil yield of the shale. The results demonstrate that the total oil yield acquired by multi-step pyrolysis is quite similar to that obtained by two-step pyrolysis. Both of them can prevent the retained oil yield from being underestimated by more than 50%. However, the free oil yield obtained by multi-step pyrolysis is significantly higher than that obtained by two-step pyrolysis. The multi-step pyrolysis can easily exaggerate the real free oil yield in resource evaluation. Therefore, this article suggests using the two-step pyrolysis to eva-luate the characteristics of petroleum in shales. Furthermore, the amount of hydrocarbons within shales is related to organic matter properties. The higher the organic matter richness, the higher the total/adsorbed oil yield within the shale before reaching the adsorption saturation. The better the kerogen type, the higher the amount of liquid hydrocarbons within shales. As the thermal evolution of shales increases, the free oil proportion and the mobility of petroleum increase. This study compared different pyrolysis methods, which provided new insight for obtaining the oil content of shales, a key parameter of shale oil resource evaluation.

Classification and Evaluation of a Shale Oil Reservoir in the Qingshankou Formation in the Southern Songliao Basin, NE China
Guofeng Wang, Dawei Zhang, Liang Yang, Yongqing Zhang, Junling He, Jilin Xing, Jun Jiang, Jijun Li, Shuning Zhang, Chenxu Yan, Hang You, Ketao Zheng, Yinwu Zhang, Jiaheng Xue
2026, 37(2): 544-558. doi: 10.1007/s12583-023-1936-8
Abstract:

The reservoir's physical properties control the seepage capacity of the shale oil. Developing a method to classify and identify high-quality reservoirs is important to commercial shale oil production. In this study, the Qingshankou Formation shale oil reservoir in the southern Songliao Basin in China was selected. A series of reservoir characterization experiments were conducted to investigate the characteristics of the micropore structure of the reservoir and its influencing factors. A shale reservoir classification evaluation standard was established using fractal theory. It is based on the reservoir micro- and macrocharacteristics. The research results show that the reservoir qualities are controlled by mineral composition, sedimentation, and diagenesis. The larger the pore-throat ratio of the reservoir, the more significant the permeability decrease under compaction. A pore size classification standard based on the shale pore characteristics can be established using fractal theory. There is a coupling relationship between pore size and macroscopic physical properties, which can be used to establish the evaluation standard of the reservoir. Based on the division of hydraulic flow units, the standard can be applied to predict favorable reservoirs.

Pore Structure Characteristics and Controlling Factors of Different Lithofacies in Lacustrine Shale: A Case Study of Fengcheng Formation in Mahu Sag, Junggar Basin
Jiahao Lyu, Fujie Jiang, Jing Xue, Tao Hu, Yuping Wu, Chenxi Zhang, Meiling Hu, Renda Huang
2026, 37(2): 559-575. doi: 10.1007/s12583-023-1973-0
Abstract:

The practice of shale oil exploration and development all over the world has shown that reservoir quality is a key factor restricting oil and gas production, the study of ultra-deep (4 500 m) reservoirs in petroliferous basins is a hot spot for oil and gas exploration in the world today. In this paper, taking the Fengcheng Formation (P1f) in Mahu sag of Junggar Basin as an example, through experiments such as geochemistry, whole rock analysis, FE-SEM, N2 adsorption, and CO2 adsorption, the lithofacies are separated, and the pore structure properties of the various lithofacies are compared. Discuss the primary influencing elements that lead to pore structure differences. The results reveal that the shale of the P1f can be separated into four lithofacies (namely felsic shale, mixed shale, lime shale and dolomitic shale), according to the mineral composition. The shale pores of P1f develop intergranular pores, intragranular pores, organic pores and micro-fractures. Among them, intergranular pores, intragranular pores and micro-fractures are the most developed, and the pore size is larger, which is a favorable storage space. Different lithofacies have different pore development characteristics. With the change of lithofacies (mixed shale-dolomitic shale-lime shale-felsic shale), the size of the developed pores changes from small to large, and the pore structure changes from "mainly microporous" to "mainly macropores". The felsic shale has developed laminae, mainly mesopores and macropores, with the largest pore diameter and the highest content of brittle minerals, which is the dominant lithofacies in the shale oil reservoir of the P1f. TOC, felsic and clay minerals all affect the pore development of shale in the P1f, but the influence of organic matter and inorganic minerals on pore volume varies with pore size. The purpose of this article is to characterize the pore structures and regulators of various lithofacies in lacustrine shale and to provide new ideas for ultra-deep shale oil exploration.

Impact of Sedimentary Environmental Evolution on Organic Matter Enrichment in Upper Paleozoic Marine-Continental Transitional Shales in the Shenfu Block, Eastern Ordos Basin, China: Evidence from Geochemistry
Yanchao Zhang, Xiangdong Yin, Shu Jiang, Litao Ma, Jiaming Li
2026, 37(2): 576-592. doi: 10.1007/s12583-024-0055-7
Abstract:

The shale gas exploration of marine-continental transitional facies has gained great attention in China, which is viewed as another breakthrough following the marine shale gas prior to continental shale gas. The Upper Paleozoic marine-continental transitional shales have high TOC abundance with large total thickness in the eastern Ordos Basin, progressively becoming a favorable area for exploration of transitional shale gas. Nevertheless, compared with the relatively homogeneous marine shales, the marine-continental transitional shales demonstrated strong anisotropy in the aspects of thickness, lithology and organic matter (OM). Thus, in this paper, based on the trace element and rock-eval data, we investigated the sedimentary facies, provenance, paleoclimate, paleobathymetry, and redox condition, as well as their controls on the enrichment of organic matter in the Shenfu Block, eastern Ordos Basin. The results of trace element experiments indicate that the paleoenvironment of the Ordos Basin underwent a transition from a marine to a continental environment, evolving from the Benxi Formation of the Carboniferous system to the Upper Shihezi Formation of the Permian system. The provenance area is characterised by the presence of high iron and high magnesium feldspar, with a medium degree of weathering. The paleoclimate experienced alternating periods of dry heat, relatively warm wet conditions, and dry heat. The paleowater depth decreased along the sedimentary profile. With regard to the redox environment index, the Taiyuan Formation is the stratum exhibiting the highest degree of reduction. The detection criteria for biomarkers were found to be consistent with the inorganic geochemical characteristics. The relationship between various trace elements and TOC indicates that redox conditions are the primary factors influencing the accumulation of organic matter in transitional shale. Organic matter is more abundant in warm and humid marine and terrestrial environments than in deep water and anoxic conditions. The characteristics of trace elements can be inferred to suggest that the Benxi Formation and Taiyuan Formation have greater potential for exploration and development.

Fault Development and Tectonic Evolution in the Lishu Depression, Songliao Basin, NE China
Shengmin Su, Youlu Jiang, Yuhu Liu
2026, 37(2): 593-607. doi: 10.1007/s12583-023-1927-9
Abstract:

The Lishu depression, located in the southeastern region of the Songliao Basin, exhibits diverse fault types and complex tectonic evolution characteristics. However, the slipping direction and activity duration of strike-slip faults, as well as the overall tectonic evolution process remain unknown. This study applied a method for determining the slipping direction and activity duration of strike-slip faults, and reconstructed the tectonic evolution process of the Lishu depression using balanced cross sections. The determination of the slipping direction of strike-slip faults was based on the analysis of the dislocation distance of a specific set of strata on two fault walls within the anticline zone, and the activity duration of strike-slip faults was defined by the sedimentary period of the strata cut by faults, and the variation characteristics of formation thickness. The slipping direction and activity duration of the strike-slip faults in the study area suggest that the depression experienced a left-lateral strike regime during the sedimentary periods of 135–131.8 and 124.5–112 Ma. However, during the sedimentary periods of the Yingcheng Formation (131.8–124.5 Ma), the region was influenced by a right-lateral strike background. The study area experienced a continuous process of extension from 145.6 to 124.5 Ma, and compression commenced from the depositional period of the Nenjiang Formation (88.5 Ma), as shown by negative values of the extension rate. The findings of this study hold significant theoretical implications for the identification of the slipping direction and distance of strike-slip faults within comparable depressions. Moreover, these results have practical implications for further hydrocarbon exploration in the Lishu depression.

Growth History of Complex Fault System and Syn- to Post-Rift Transition in the Wushi East Subsag, Beibuwan Basin
Zheng Wang, Ke Xu, Dianjun Tong, Yong Tang, Chen Hu, Jianye Ren
2026, 37(2): 608-624. doi: 10.1007/s12583-024-1987-7
Abstract:

The Wushi sag is located in the central part of the Beibuwan Basin, northern South China Sea. Above the thick oily shale unit in the Wushi East subsag, a suite of terrace-like extensional décollement fault systems exists, which, in conjunction with the No. 7 boundary fault, control a complex fault system. This study integrates the high-resolution 3D seismic data and quantitative analysis of fault displacement to analyze the growth history of the complex fault system and to establish a model of fault system evolution in the Wushi East subsag. The findings reveal two phases of fault growth northward migration during the rifting process. The first phase occurred between the rift Ⅰ phase and the décollement Ⅰ phase, witnessing fault activity migrating northward from the No. 7 boundary fault to the décollement faults (Fd and Fe) in the hangingwall. The second phase occurred between the décollement Ⅰ phase and the décollement Ⅱ phase, with fault activity migrating further northward from Fd and Fe to Fa, Fb and Fd. By the end of the Oligocene, basin inversion controlled the syn- to post-rift transition of the Wushi East subsag. This study bears significant implications for hydrocarbon exploration and for understanding the mechanism underlying the syn- to post-rift process in the north continental marginal basins of the South China Sea.

Clay Mineral Transformation in Medium-High Maturity Shale Oil Reservoir: A Case Study of the Qingshankou Formation, Songliao Basin, Northeast China
Xinping Liang, Xueyu Yao, Rukai Zhu, Xiaojun Wang, Zhijun Jin, Changrong Li
2026, 37(2): 625-641. doi: 10.1007/s12583-024-0070-8
Abstract:

Currently, significant hurdles lie ahead in China's lacustrine shale oil exploration and exploitation, particularly due to the high clay mineral content, which severely impacts pore development in organic-rich shales. In this study, we take the medium- to high-maturity shale of the Qingshankou Formation (K2qn) in the Gulong sag, Songliao Basin, China, as an example and analyze the dynamic evolution of the clay minerals and their effects on pore development by core observations, scanning electron microscopy, X-ray diffraction, physical property and nitrogen adsorption to provide a valuable reference for the effective evaluation of lacustrine clay-rich shale oil reservoirs. Our findings reveal that the dynamic transformation of clay minerals in the Qingshankou Formation is classified into three stages based on diagenesis, thermal maturity, and mineral characteristics: the initial stage (vitrinite reflectivity (Ro) < 0.7%), the rapid transformation stage (Ro = 0.7%–1.3%), and the late diagenesis stage (Ro > 1.3%). Clay minerals play crucial roles in controlling shale reservoirs during the rapid transformation process, which is evidenced by the formation of shrinkage fractures, enhanced pore connectivity, increased porosity, and expanded space for shale oil adsorption and storage. In addition, authigenic quartz can form during the transformation of clay minerals, contributing to increased reservoir brittleness and improving the potential for reservoir fracturing.

Elemental Geochemistry of Upper Campanian Shales in the Western Pontides (Türkiye): Sedimentary Environment Controls on the Organic Matter Accumulation and Source Rock Potential
Zeynep Doner
2026, 37(2): 642-670. doi: 10.1007/s12583-025-0309-z
Abstract:

This study investigates the factors controlling organic matter accumulation in organic-bearing shales around the Bolu area of Western Pontides and their implications for hydrocarbon potential through elemental and organic geochemical analyses. The organic-bearing shales in this area contain both organic matter and various critical trace elements and also attract interest as a hydrocarbon resource. In the end, the paleoceanographic model of the depositional environment was established. The findings indicate that the studied shales were deposited in a shallow-marine shelf environment with a brackish to saline marine setting, under semi-humid to semi-arid paleoclimate conditions, and subject to low to moderate chemical weathering. However, paleoclimate and variability in water column productivity did not significantly influence organic matter enrichment. Redox indicators suggest deposition occurred under oxic to suboxic conditions, with minor oxygen deficiency aiding organic matter preservation. Fluctuations in sedimentation rate likely influenced organic matter by either promoting its degradation in an oxidizing environment or diluting its concentration. While detrital input contributed to organic matter enrichment, clay minerals did not appear to play a significant role in its preservation. These shales exhibit fair organic matter content and are characterized by Type Ⅳ kerogen, indicating limited or no gas generation potential, thereby classifying them as spent hydrocarbon sources. Furthermore, prolonged atmospheric exposure of outcrop samples may have led to organic matter degradation, resulting in residual carbon at high thermal maturity. By integrating multiple geochemical proxies, this study presents the first comprehensive assessment of these shales, offering new insights into their hydrocarbon potential.

Engineering Geology
Study on the Deformation Mechanism and Prediction Model of Rock Mass in Deep Coal Mining
Ruixue Zhang, Zhigang Tao, Manchao He
2026, 37(2): 671-684. doi: 10.1007/s12583-025-0317-z
Abstract:

This study presents a new coal mining technique that uses top-cut unloading to induce the fragmentation and expansion of collapsed ore. Stress compensation and control are achieved by using a constant-resistance, large deformation anchor cable. The research employs laboratory physical model tests and an artificial neural network (ANN) time-series prediction model to monitor, analyze, and predict the movement and crack development of the overlying rock layers in tunnels. The results show that the support characteristics of constant-resistance, large-deformation anchor cables, combined with the filling effect of collapsed ore fragmentation and expansion, automatically form tunnel supports. This new mining method significantly reduces the displacement of the overlying rock layers and minimizes surface subsidence. Furthermore, the ANN time-series prediction model accurately forecasts displacement at multiple monitoring points in the overlying rock mass and the axial force of constant-resistance, large deformation anchors. This innovative mining method provides valuable insights for ecological protection and exploration of underground works.

Earthquake-Induced Landslide Mapping in Mountainous Areas Using a Semantic Segmentation Model Combined with a Dual Feature Pyramid
Xuyang Xiang, Wenping Gong, Fumeng Zhao, Zhan Cheng, Lei Wang
2026, 37(2): 685-702. doi: 10.1007/s12583-023-1956-6
Abstract:

Landslides are widely distributed in mountainous regions around the world. Rapid mapping of earthquake-induced landslides in mountainous areas plays a crucial role in post-disaster assessment and rescue planning. In mountainous areas, it is challenging to identify small landslides using existing landslide mapping methods accurately. To address this challenge, this paper proposes a dual feature pyramid-based UNet (DFPU-Net) model, which utilizes the VGG16 model as the backbone feature extraction network. Meanwhile, two modified pyramid-structured modules, in terms of the atrous spatial pyramid pooling (ASPP) module and pyramid pooling module (PPM), are integrated into the backbone feature extraction network. Furthermore, the features of landslides extracted by the enhanced feature extraction network are screened by the deconvolution layers and convolutional block attention module (CBAM). To demonstrate the effectiveness of the proposed model, landslides in Grand'Anse and Sud departments, induced by the 2021 Haiti Mw7.3 earthquake, are mapped as a case study. The inputs adopted in this case study are satellite optical images, slope map, and normalized difference vegetation index (NDVI) map collected in this study region, and the estimated Precision, Recall, F1 score, Accuracy, and IoU of the landslide mapping results are 89.10%, 74.20%, 80.97%, 95.32%, and 68.02% respectively, indicating the effectiveness of the proposed model. The comparisons conducted show that the proposed model yields a higher Recall value than the existing models of UNet, DeepLab V3+, and PSPNet, thus, the superiority of the proposed model over the existing models is demonstrated.

Multi-Scale Structural Geological Model and Quantification of Stability Evaluation for a High-Steep Fractured Rock Slope
Jia Wang, Wen Zhang, Donghui Chen, Han Yin, Junqi Chen
2026, 37(2): 703-721. doi: 10.1007/s12583-023-1953-9
Abstract:

This study aims to evaluate the stability of a high-steep fractured rock slope on the right bank of Dongcuo River, Southeast Tibetan Plateau by establishing a multi-scale structural geological model. Multi-scale discontinuity information was first identified via unmanned aerial vehicle photogrammetry. The multi-scale structural geological model for the cross section of the slope was established by multi-scale discontinuity processing. In particular, large-scale discontinuities were directly embedded into the model, medium-scale discontinuities were realized via discrete fracture network simulation technology, and small-scale discontinuities were implicitly considered in the equivalent rock parameter calculation. A staged scheme for searching the shortest paths of the multi-scale structural geological model via Dijkstra's algorithm was established. The searched shortest path with the largest discontinuity persistence passes the most fractures and processes the lowest shear strength, which can represent the critical slip surface (CSS). Three potential CSSs were selected for the quantification of the factor of safety (FOS) using the transfer coefficient method. Modified Jennings' criteria were proposed to estimate the equivalent shear strength of the CSS composed of rock bridges and discontinuities. Finally, FOS is calculated as 3.81, implying that the studied rock slope remains stable.

Creeping Reservoir Landslide Progressive Evolution Process: From Large-Scale Direct Shear Creep Test to Seepage-Mechanical-Deformation Block Model
Jiefei Zhang, Shu Zhang, Huiming Tang, Qingbing Liu, Qiang Li, Huan Zhang
2026, 37(2): 722-739. doi: 10.1007/s12583-025-0215-4
Abstract:

Creeping reservoir landslides experience slow, ongoing deformation driven by cyclical hydrological conditions, posing a significant threat to hydropower infrastructure and nearby communities. Long-term high consolidation pressure leads to the formation of a dense soil matrix unique structure in the slip zone soils, significantly affecting creeping reservoir landslides evolution. However, current studies often fail to adequately describe and incorporate creep properties of the intact slip zone soils, resulting in a lack of precision and efficiency when simulating the progressive evolution process of creeping reservoir landslides. This study conducted a series of large-scale direct shear creep tests on the intact slip zone soils, from No. 1 Linjiang landslide of the Huangtupo landslide in the Three Gorges Reservoir area (TGRA), to investigate their creep behavior and long-term strength. Subsequently, a seepage-mechanical-deformation (SMD) block model was developed, offering higher computational efficiency and the ability to dynamically adapt to real-time hydrological boundary conditions, and providing a novel framework for simulating the progressive evolution of the No.1 Linjiang landslide. The experimental results indicate that the intact slip zone soil exhibits distinct creep characteristics and a notable long-term strength. The performance of the SMD block model was further validated through comparison with monitoring data over one hydrological year. Furthermore, the simulation results highlight that the primary deformations occur at the front and rear of the landslide, and the middle acting as an anti-sliding section. Overall, this study advances the understanding of creeping reservoir landslide progressive evolution processes and enhances the simulation capabilities of landslide deformation, providing valuable insights for risk assessment and mitigation strategies in the TGRA.

Long-Term in-situ Monitoring of Anchoring System and Preliminary Analysis of Monitoring Data
Luobin Zheng, Huiming Tang, Liangqing Wang, Changdong Li, Chengren Xiong, Zongxing Zou, Chenlu Wang, Lingfeng Zhu, Yifan Zhang
2026, 37(2): 740-751. doi: 10.1007/s12583-024-0333-4
Abstract:

The geological environment in which the reservoir slope is situated is intricate, influenced by factors such as precipitation and fluctuations in reservoir water levels. Furthermore, the anchoring structure embedded within the rock mass of the slope undergoes corrosion and deterioration due to these factors, resulting in a highly complex interaction process between the slope rock mass and the anchoring structure. The long-term safety of rock-anchored structure systems is closely tied to the construction and safe operation of reservoirs, as both internal and external factors play a role in ensuring their stability. The present study aims to investigate this intricate issue by designing and establishing an on-site comprehensive multi-field information monitoring platform. The multi-site information monitoring platform comprises three components, namely the landslide monitoring system, anchor structure monitoring system, and data management system. The landslide monitoring system encompasses the surveillance of surface deformation, subsurface deformation, and environmental factors. The monitoring system for anchor structures includes the monitoring of prestress, anchor cable strain, and corrosion status of steel bars. The establishment of a preliminary system for data transmission and management has been accomplished. The current monitoring results indicate that the health condition of the tested anchor cables is satisfactory, and the strain and corrosion status are influenced by the design of the anchor cable structure. The platform is currently undergoing enhancements with the incorporation of cutting-edge anchoring structure design and monitoring equipment.

Environment Geology and Hydrogeology
Spatiotemporal Characterization, Risk Assessment, and Source Identification of Dissolved Trace Elements in the Zijiang River, Central China
Junqi Li, Yao Du, Teng Ma, Dian Li, Ziyan Cai, Yu Xu
2026, 37(2): 752-762. doi: 10.1007/s12583-023-1841-3
Abstract:

The Zijiang River Basin is home to the world's largest antimony reserves, but it also grapples with severe ecological contamination. Notably, there is a lack of information on surface water pollution, particularly with regard to trace elements (TEs). In order to gain a better understanding of the situation, risk, and sources of TEs, we conducted an extensive study on the Zijiang River. Our findings revealed that 95.83% of the samples had antimony levels exceeding China's drinking water limit of 5 μg/L. By using multiple multivariate statistical techniques, we identified five main sources of TEs. Sr, Mn, Co, Ni, and Ba are primarily derived from the natural weathering of rocks. Human activities, such as industrial emissions, are major contributors to the presence of Pb, Cu, Zn, and Sn. P and Ti are released from sediment influenced by cascading reservoirs. Sb, As, and Se stem from antimony mining activities. The hazard index indicated that antimony poses a non-carcinogenic risk to human health, with children being especially vulnerable. Furthermore, antimony was found to be the most significant factor for residential exposure. Consequently, we recommend paying close attention to antimony pollution and intensifying research efforts on antimony in the Zijiang River Basin.

Distribution and Source of Nitrate in Groundwater in the Hilly-Plain Transition Area of Jianghan Plain Using Dual N and O Isotopes of Nitrate
Kewen Luo, Teng Ma, Shuai Shen
2026, 37(2): 763-774. doi: 10.1007/s12583-023-1851-1
Abstract:

Nitrogen contamination of groundwater in the Jianghan Plain (JHP) in the middle reaches of the Yangtze River is widespread, but the sources and fate of nitrate (NO3-) in the transitional area between plains and hills are poorly understood. This paper characterized the distribution, sources and transformation processes of NO3- in groundwater in the hilly-plain transition area of JHP through hydrogeochemistry and dual isotopes (δ15N and δ18O-NO3-). The hydrogeochemical results showed that the NO3- in the plain and hilly areas is heterogeneous and controlled by topography. From plain to hilly areas in summer, NO3- in groundwater has a general trend of decreasing with the direction of groundwater flow. The groundwater in the plain area is strongly affected by anthropogenic activities, and the NO3- in the multi-level aquifer gradually decreases with increasing depth. Changes in redox conditions caused by river erosion may be responsible for higher NO3- in groundwater along the eroded banks. The isotopic results showed that NO3- in the hilly area mainly comes from soil organic nitrogen, which is a natural source. While, groundwater NO3- in the plain area is strongly affected by livestock manure and domestic sewage, which may be owing to the high density of residents and the impact of anthropogenic activities.

Perpetuation of the "Evaporation Paradox" in the Arid and Semi-Arid Regions of Northern China since the Last Deglaciation
Zhiping Zhang, Shengqian Chen, Jie Chen, Lingxin Huang, Zhongwei Shen, Aifeng Zhou, Jianbao Liu, Fahu Chen
2026, 37(2): 775-786. doi: 10.1007/s12583-024-0129-6
Abstract:

Variations in potential evapotranspiration (PET) are closely linked to regional water equilibria and agricultural productivity. Amid the backdrop of ongoing global warming, PET within the arid and semi-arid regions of northern China (ASARNC), notable for its fragile ecological conditions, exhibits non-monotonic fluctuations. In this study, we selected Dali Lake, a hydrologically closed-lake situated in the ASARNC, as the research object. We calculated ∆δ18OL-P based on δ18OCarb records (indicative of δ18OL) and stalagmite δ18O records (as a proxy for δ18OP) to reconstruct PET changes since the last deglaciation. The findings indicate a gradual decline in PET from ~14 000 cal yr before the present (BP), with PET reaching its minimum around 6 000 cal yr BP. Subsequently, PET exhibited a gradual increase. Moreover, we unveiled an inverse relationship between PET and temperature fluctuations in the ASARNC, suggesting the perpetuation of the evaporation paradox in the region since the last deglaciation. On a millennial timescale, variations in solar radiation (or global dimming) due to changes in cloud or aerosols concentrations, along with shifts in summer wind speed and humidity, rather than surface temperature fluctuations, may primarily drive changes in PET.

Dynamic Variations of Carbon-Sulfur Cycles through the Late Permian to Early Triassic
Biao Ma, Laishi Zhao, Lei Zhang, Zihu Zhang, Shunling Wu, Zhengyi Lyu, Xiangdong Wang, Chao Li
2026, 37(2): 787-801. doi: 10.1007/s12583-023-1843-1
Abstract:

Marine carbon-sulfur cycles experienced long-term frequent perturbations through the Latest Permian to Early Triassic. However, relationships between carbon and sulfur isotopes are still unclear. Here, we report δ13Ccarb and δ34SCAS, and elemental proxies (UEF, MoEF, Mn/Th, Cd/Mo and Co × Mn) from the Wuchiapingian to Spathian successions (Zuodeng Section) in the southern Nanpanjiang Basin, South China. Sudden decreases in both UEF and MoEF values (from ~150 to < 10, and ~60 to < 10, respectively) and a gentle increase in Mn/Th ratios (< 200 to ~1 000) indicate a locally anoxic seawater condition during the Late Permian and an oxic condition during the Early Triassic. Variations of Cd/Mo, Co × Mn and TOC suggest that the Late Permian anoxic condition was related to locally intensive oceanic circulation (e.g., upwelling) and higher marine productivity, which was probably controlled by a relatively cool climate regime, whereas the Early Triassic climate warming may have resulted in intensive oceanic stratification, suppressed marine productivity, and thus narrowed the spatial distribution of the oxygen minimum zone, leaving the study site apart from anoxic water mass in that time. Both δ13Ccarb and δ34SCAS excursions were coupled during the Griesbachian and Dienerian substages probably due to elevated or suppressed marine productivity and co-burial of organic matter and pyrite driven by climatic variations. Decoupled δ13Ccarb34SCAS excursions occurred during the Late Permian and the Smithian global warming, respectively probably because of elevated bacterial sulfate reduction and pyrite burial rate induced by serious global-oceanic anoxia. This study deciphers that dynamic variations of marine carbon-sulfur cycles may have been controlled by extremely environmental changes through the Late Permian to Early Triassic.

Environmental Change and Human Occupation during Late Pleistocene in Hunan Province, South China
Aipeng Guo, Longjiang Mao, Yiyuan Li, Haicheng Lai, Jiafu Zhang, Duowen Mo
2026, 37(2): 802-817. doi: 10.1007/s12583-023-1951-y
Abstract:

The Paleolithic sites in South China have caused controversy regarding human behaviors in response to the rapidly shifting environment of the Late Pleistocene. However, chronometric and high-resolution proxies are absent from interpreting the paleoenvironmental evolution. Here we present the chronology, grain size parameters, and geochemical elements records from the Hejialing (HJL) site in South China to reveal the crucial aspects of environmental evolution, and human occupation. The geochemical record shows that during MIS 5e–5a, northern Hunan experienced the influence of the summer monsoon and maintained a warm and humid climate. The laterite layer began to develop. During MIS 4, the climate transitioned to a dry and cold state, leading to the attraction of hominins to the HJL area due to the abundant water and lithic raw material resources, resulting in their establishment of a short-term camp. The HJL site was primarily inhabited by hunter-gatherer societies within a forested environment. From MIS 4 to MIS 2, Hunan experienced a prolonged period of dry and cold climatic conditions, with a brief rainfall recovery occurring in late MIS 3. Diminished vegetation and resource availability compelled human populations to broaden their activities and undertake migrations. The HJL site was abandoned amid the arid phase of MIS 2. The HJL area gradually became buried beneath eolian dust deposition (EM1) from distant sources and riverine dust from nearby sources (EM2), and the site was informed. In MIS 1, During MIS 1, the climate shifted to a warm and humid state, marking the emergence of early agricultural practices. As an essential part of South China, the environmental evolution process and diverse survival strategies employed by hominins in Hunan are vital for explaining how the paleoenvironment drove human occupation during the Late Pleistocene.

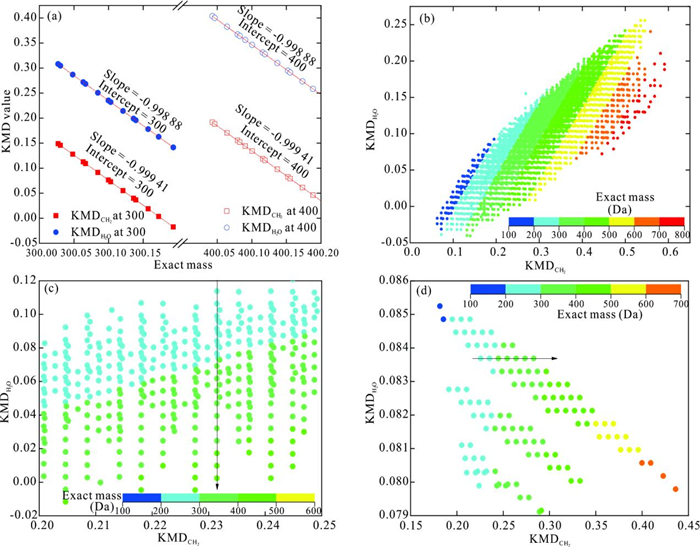
Chemodiversity of Dissolved Organic Matter in Groundwater Elucidated by the Ultrahigh-Resolution Mass Spectrometry: A Case Study of the Jianghan Plain, China
Jingjing Sun, Ying Liang, Qing-Long Fu
2026, 37(2): 818-827. doi: 10.1007/s12583-023-1834-2
Abstract:

Dissolved organic matter (DOM) is an important reservoir of organic carbon ubiquitously present in various environmental systems. However, information regarding the chemodiversity of groundwater DOM at the molecular level is still limited. Herein, the Fourier transform ion cyclotron resonance mass spectrometry (FT-ICR MS) was used to characterize the molecular composition and chemodiversity of groundwater DOM from the Jianghan Plain, China. Overall, the groundwater DOM was mainly composed of CHO molecules, followed by CHON and CHOS molecules. Results of the Kendrick mass defect (KMD)-based homologous analysis revealed that the majority of CH2-homologue, H2O-homologue, and COO-homologue series generally have 2 to 8, 2 to 6, and 2 to 6 formulae for a given homologous series, respectively. The positive correlation observed among functional diversity indices suggesting that the chemodiversity of groundwater DOM is largely governed by their molecular characteristics could be quantified by the molecular parameter-based functional diversity. The higher functional diversity of unique molecules than common molecules suggests its potential role in tracing the transformation of DOM in various environments. The findings of this study are expected to deepen the understanding of chemical composition and structure, degradation and transformation of groundwater DOM, and its biogeochemical cycle in groundwater and surface water.

Big Data Geosciences
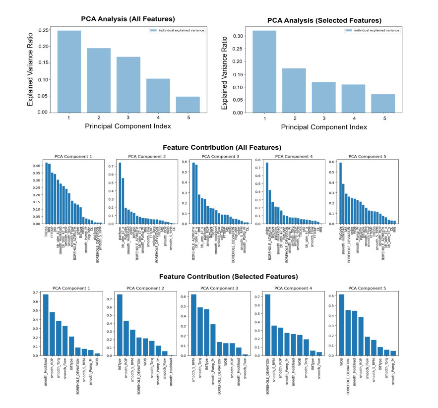
Investigating Downhole Drilling Temperature Prediction: A Data-Driven Trial of Machine Learning and Deep Learning Methods
Nardthida Kananithikorn, Thitirat Siriborvornratanakul
2026, 37(2): 828-842. doi: 10.1007/s12583-025-0263-9
Abstract:

Understanding the dynamic behavior of downhole temperature during drilling operations is crucial for optimizing tool configuration and maximizing the acquisition of logging data, thereby eliminating the need for additional tripping or wireline logging runs. This paper presents a comprehensive study on the application of machine learning and deep learning techniques for predicting downhole temperatures in drilling operations. Following an extensive preprocessing stage that included smoothing and normalizing drilling parameters and related well data, the study compares several machine learning algorithms and long short-term memory (LSTM) architectures. Notable models such as random forest, k-nearest neighbors, decision tree regressors, and LSTM (both sequential and encoder-decoder) were found to be effective for temperature prediction. The LSTM Encoder-Decoder model demonstrated the highest accuracy, with a root mean squared error (RMSE) of 0.892, though it requires higher computational resources. Sensitivity analysis of the model identified revolutions per minute (RPM) and borehole deviation as key factors, providing valuable insights for model refinement and improved thermal management.

Detecting Low-Risk Exploration Targets from Automated Tuned Machine Learning Algorithms: Hybrid Particle Swarm Optimization, Grid Search and Genetic Optimization Algorithms with Support Vector Machine
Mehrdad Daviran, Reza Ghezelbash
2026, 37(2): 843-869. doi: 10.1007/s12583-025-0276-4
Abstract:

This study brings a revolutionary approach for defining low-risk exploration opportunities in mineral exploration. By harnessing the power of artificial intelligence (AI), it introduces an innovative strategy, known as AI mineral prospectivity mapping (AI-MPM), which aims to discover untapped mineral resources in unexplored territories. It introduces an innovative methodology that examines the uncertainty surrounding SVM-based predictive models. The study focuses on exploring “Cu porphyry mineralization in Kerman belt, Iran,” an area rich in untapped mineral wealth. The researchers utilize cutting-edge optimization algorithms to optimize the performance of SVM algorithm and deduce optimal hyperparameters (e.g., Grid search, PSO and GA). Diverse datasets are synthesized to gain a comprehensive understanding of the study area. The efficiency of auto tuned SVM-based prospectivity models is evaluated using various metrics, including K-fold cross-validation, confusion matrix, and classification accuracy indices values. The research successfully quantifies uncertainty at an individual cell level, enabling accurate identification of low-risk exploration targets. The approach demonstrates remarkable efficiency by covering only 13% of the entire study area. This research paves the way for integrating additional data sources and deploying advanced machine learning techniques to enhance predictive accuracy. Overall, it highlights the potential of SVM-based models in identifying low-risk exploration targets and advancing mineral exploration.

A New Short-Term Polar Motion Prediction Method Based on Combination of LS Model with Time-Varying Characteristics and Arima Model
Zhao Li, Kehao Yu, Kunpeng Shi, Justyna Śliwińska-Bronowicz, Xiaoya Wang, Jian Wang, Kai Liu, Zhou Wu, Weiping Jiang
2026, 37(2): 870-881. doi: 10.1007/s12583-025-0319-x
Abstract:

Accurate and rapid short-term (up to 30 days in advance) polar motion (PM) predictions are critical for real-time applications like earthquake monitoring and early warning, global navigation satellite system (GNSS) meteorology, etc. Traditional prediction models, such as the least squares (LS) model, primarily rely on empirical periodic signals with constant amplitude and phase for extrapolation. However, due to complicated internal and external geophysical processes, these signals exhibit irregular variations rather than remaining constant, making it challenging for traditional methods to resolve them autonomously, especially in short-term predictions. To address this issue, we propose a method that combines the LS model with time-varying PM characteristics (TVLS) using the Prony method and the autoregressive integrated moving average (ARIMA) model, along with the effective angular momentum (EAM) data, to enhance the accuracy of short-term PM prediction. Compared with the official predictions disseminated by the International Earth Rotation and Reference Systems Service (IERS), the proposed method improves the prediction accuracy of PMX and PMY by up to 60.84% and 56.70%, respectively. Our method also outperforms the LS + AR + EAM forecast models from the Second Earth Orientation Parameters Prediction Comparison Campaign (2nd EOP PCC), ranking first for forecast horizons beyond 7 days for our predicted PMX and 12 days for PMY. The improvement can be attributed to the core feature of the TVLS model, which constructs a model for the main components of the PM periodic signal based on the Prony method, effectively capturing the non-stationary characteristics by addressing amplitude and phase variations. Therefore, we conclude that the proposed method could significantly enhance short-term PM prediction accuracy and has potential applications in the fields such as real-time satellite orbit determination, precise positioning and navigation.

Editorials
Thermal Cracking Properties of Granite Considering Mineral Heterogeneity Based on a Thermo-Mechanical Grain-Based Model
Yan Zhang, Minglang Zou, Zhilong Zhang, Junqian Ren, Tianbin Li, Peng Zeng, Chunchi Ma
2026, 37(2): 882-889. doi: 10.1007/s12583-026-0609-y
Abstract:
Late Jurassic Lengshuikeng Ag-Pb-Zn Polymetallic Mineralization Related to Contemporaneous (Sub-)Volcanic Magmatism in South China: Constraints from Sphalerite Rb-Sr Dating
Yongpeng Ouyang, Li Zhao, Zenghua Li, Lifei Yang, Runling Zeng, Qi Chen, Huiwen Jiang
2026, 37(2): 890-897. doi: 10.1007/s12583-026-0603-4
Abstract:
Technologies of Construction and Management for Sustainable Utilization of Riverbank Filtration
Yuanzheng Zhai, Yuting Yan, Yu Liu, Yizhai Ma, Baocai Tong, Rui Zuo
2026, 37(2): 898-904. doi: 10.1007/s12583-026-0602-5
Abstract:
Early Permian Arid Climate Evidenced by High-Frequency Exposure Surfaces in Penecontemporaneous Dolomite, Eastern Tethys
Feifan Lu, Chen Zhang, Xiucheng Tan, Yixin Dong, Haofu Zheng, Jiajun He, Xiao Di
2026, 37(2): 905-910. doi: 10.1007/s12583-026-0604-3
Abstract:
Glimpses into Extensional Basins' Anomalous Tectonic Subsidence Using Multiple Global Models
Zhiyao Li, Qianghu Liu
2026, 37(2): 911-922. doi: 10.1007/s12583-026-0605-2
Abstract:
Reconstruction Modeling-Driven Analysis of Shale Oil Production Dynamics Using Explainable Machine Learning CatBoost-SHAP: A Case Study from the Bohai Bay Basin
Yunliang Yu, Hongchen Cai, Changwei Chen, Quansheng Guan, Yueqi Dong, Fei Yang, Yu Cui, Mengyu Li, Zhongjie Xu, Jiacheng Zhang
2026, 37(2): 923-927. doi: 10.1007/s12583-026-0606-1
Abstract:
Dolomite-Evaporite Paragenetic Assembly: A New Key to the "Dolomite Problem" and Petroleum Development?
Yuhan Huang, Fei Huo, Huaguo Wen, Zhidian Xi, Tao Luo, Huachuan Jiang
2026, 37(2): 928-935. doi: 10.1007/s12583-026-0607-0
Abstract:
How to Rapidly Identify Shallow-Landslide-Convergent Geohazard Chains during Heavy Rainfall Events
Changxu Tao, Yongshuang Zhang, Yu Chang, Zhengjing Ma, Tao Zhang
2026, 37(2): 936-940. doi: 10.1007/s12583-026-0610-5
Abstract:
EMAG2v3QT: A Revised Earth Magnetic Anomaly Grid to Address the Huge Data Gap in the Qinghai-Xizang Plateau
Yao Luo, Jingmin Li, Jinsong Du, Longwei Chen, Shihua Liu, Qiang Liu, Chenyang Wang, Hang Yin, Xue Yang, Jinxin Zheng
2026, 37(2): 941-944. doi: 10.1007/s12583-026-0608-z
Abstract: