Advanced Search

Indexed by SCI、CA、РЖ、PA、CSA、ZR、etc .

Volume 37 Issue 1
Feb 2026
Turn off MathJax
Article Contents
Xiuli Li, Xin Yang, Weiqi Zhang, Huan Yang, Xin Huang, Chaoyong Hu. Origin and Transformation of Nitrate in Karst Cave Groundwater in the Middle Reaches of the Qingjiang River. Journal of Earth Science, 2026, 37(1): 241-250. doi: 10.1007/s12583-023-1844-0
Citation: Xiuli Li, Xin Yang, Weiqi Zhang, Huan Yang, Xin Huang, Chaoyong Hu. Origin and Transformation of Nitrate in Karst Cave Groundwater in the Middle Reaches of the Qingjiang River. Journal of Earth Science, 2026, 37(1): 241-250. doi: 10.1007/s12583-023-1844-0

Origin and Transformation of Nitrate in Karst Cave Groundwater in the Middle Reaches of the Qingjiang River

doi: 10.1007/s12583-023-1844-0
More Information
  • Corresponding author: Xiuli Li, lixiuli@cug.edu.cn
  • Received Date: 26 Dec 2022
  • Accepted Date: 24 Apr 2023
  • Available Online: 13 Feb 2026
  • Issue Publish Date: 28 Feb 2026
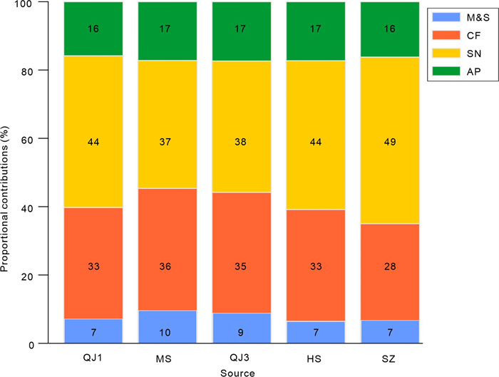
  • Nitrate pollution is a severe threat to the fragile ecosystems in karst regions. However, our knowledge of the sources and transformations of nitrate in karst cave groundwater is still limited. This study aimed to investigate the temporal and spatial patterns of nitrate dynamics in the underground water of karst caves located on the south bank of the Qingjiang River in central China, through a comprehensive application of multiple approaches, such as hydrochemistry, nitrogen and oxygen isotope compositions of nitrate, and a Bayesian isotope mixing model (SIMMR). During the sampling period (from December 2018 to December 2019), the nitrate concentration did not show an apparent temporal variation; meanwhile, no water samples in this study had a nitrate concentration higher than the limit for drinking water, but the nitrate concentration in karst underground rivers is significantly higher than that in surface water. The results of the comprehensive analyses revealed that the predominant nitrate sources included nitrification in soil and chemical fertilizer, which had mean percentages of 43% and 32%, respectively. The source contribution varied in the outlet water among different caves. The soil-derived nitrate in the underground water from the Shizi Cave accounted for the highest proportion (49%), while chemical-fertilizer-derived nitrate in the underground water from the Mishui Cave accounted for the highest proportion (36%). The dual-isotope signatures of nitrate supported a major influence on nitrogen dynamics in the cave underground from nitrification. These findings suggest that nitrate carried by underground rivers in karst caves should be alerted when making the nitrate balance in rivers flowing through karst areas.

     

  • Conflict of Interest
    The authors declare that they have no conflict of interest.
  • loading
  • Andersson, K. K., Hooper, A. B., 1983. O2 and H2O are Each the Source of One O in NO2 Produced from NH3 by Nitrosomonas: 15N-NMR Evidence. FEBS Letters, 164(2): 236–240. https://doi.org/10.1016/0014-5793(83)80292-0
    Chang, L. R., Ming, X. X., Groves, C., et al., 2022. Nitrate Fate and Decadal Shift Impacted by Land Use Change in a Rural Karst Basin as Revealed by Dual Nitrate Isotopes. Environmental Pollution, 299: 118822. https://doi.org/10.1016/j.envpol.2022.118822
    Chen, F. J., Jia, G. D., Chen, J. Y., 2009. Nitrate Sources and Watershed Denitrification Inferred from Nitrate Dual Isotopes in the Beijiang River, South China. Biogeochemistry, 94(2): 163–174. https://doi.org/10.1007/s10533-009-9316-x
    Chen, J., Luo, M. M., Ma, R., et al., 2020. Nitrate Distribution under the Influence of Seasonal Hydrodynamic Changes and Human Activities in Huixian Karst Wetland, South China. Journal of Contaminant Hydrology, 234: 103700. https://doi.org/10.1016/j.jconhyd.2020.103700
    Croll, B. T., Hayes, C. R., 1988. Nitrate and Water Supplies in the United Kingdom. Environmental Pollution, 50(1/2): 163–187. https://doi.org/10.1016/0269-7491(88)90190-X
    Ford, D., Williams, P., 2007. Karst Hydrogeology and Geomorphology. Wiley, Chichester. https://doi.org/10.1002/9781118684986
    Galloway, J. N., Dentener, F. J., Capone, D. G., et al., 2004. Nitrogen Cycles: Past, Present, and Future. Biogeochemistry, 70(2): 153–226. https://doi.org/10.1007/s10533-004-0370-0
    Hu, C. Y., Henderson, G. M., Huang, J. H., et al., 2008. Quantification of Holocene Asian Monsoon Rainfall from Spatially Separated Cave Records. Earth and Planetary Science Letters, 266(3/4): 221–232. https://doi.org/10.1016/j.epsl.2007.10.015
    Huang, X., Jin, M. G., Ma, B., et al., 2022. Identifying Nitrate Sources and Transformation in Groundwater in a Large Subtropical Basin under a Framework of Groundwater Flow Systems. Journal of Hydrology, 610: 127943. https://doi.org/10.1016/j.jhydrol.2022.127943
    Husic, A., Fox, J., Adams, E., et al., 2020. Quantification of Nitrate Fate in a Karst Conduit Using Stable Isotopes and Numerical Modeling. Water Research, 170: 115348. https://doi.org/10.1016/j.watres.2019.115348
    Jacobs, S. R., Weeser, B., Guzha, A. C., et al., 2018. Using High-Resolution Data to Assess Land Use Impact on Nitrate Dynamics in East African Tropical Montane Catchments. Water Resources Research, 54(3): 1812–1830. https://doi.org/10.1002/2017WR021592
    Ji, X. L., Xie, R. T., Hao, Y., et al., 2017. Quantitative Identification of Nitrate Pollution Sources and Uncertainty Analysis Based on Dual Isotope Approach in an Agricultural Watershed. Environmental Pollution, 229: 586–594. https://doi.org/10.1016/j.envpol.2017.06.100
    Jiang, Z. C., Lian, Y. Q., Qin, X. Q., 2014. Rocky Desertification in Southwest China: Impacts, Causes, and Restoration. Earth-Science Reviews, 132: 1–12. https://doi.org/10.1016/j.earscirev.2014.01.005
    Jin, Z. F., Zheng, Q., Zhu, C. Y., et al., 2018. Contribution of Nitrate Sources in Surface Water in Multiple Land Use Areas by Combining Isotopes and a Bayesian Isotope Mixing Model. Applied Geochemistry, 93: 10–19. https://doi.org/10.1016/j.apgeochem.2018.03.014
    Kendall, C., Elliott, E. M., Wankel, S. D., et al., 2007. Tracing Anthropogenic Inputs of Nitrogen to Ecosystems. In: Stable Isotopes in Ecology and Environmental Science: 2nd Ed. Blackwell, Oxford
    Kendall, C., McDonnell, J. J., 1998. Isotope Tracers in Catchment Hydrology. In: Kendall, C., Mcdonnell, J. J., eds. . Elsevier, New York. https://doi.org/10.1016/C2009-0-10239-8
    Kroopnick, P., Craig, H., 1972. Atmospheric Oxygen: Isotopic Composition and Solubility Fractionation. Science, 175(4017): 54–55. https://doi.org/10.1126/science.175.4017.54
    Li, J., Zhu, D. N., Zhang, S., et al., 2022. Application of the Hydrochemistry, Stable Isotopes and MixSIAR Model to Identify Nitrate Sources and Transformations in Surface Water and Groundwater of an Intensive Agricultural Karst Wetland in Guilin, China. Ecotoxicology and Environmental Safety, 231: 113205. https://doi.org/10.1016/j.ecoenv.2022.113205
    Li, S. L., Liu, C. Q., Li, J., et al., 2010. Assessment of the Sources of Nitrate in the Changjiang River, China Using a Nitrogen and Oxygen Isotopic Approach. Environmental Science & Technology, 44(5): 1573–1578. https://doi.org/10.1021/es902670n
    Li, S. L., Liu, X., Yue, F. J., et al., 2022. Nitrogen Dynamics in the Critical Zones of China. Progress in Physical Geography: Earth and Environment, 46(6): 869–888. https://doi.org/10.1177/03091333221114732
    Liao, J., Hu, C. Y., Li, X. L., et al., 2021. Drying Increases Organic Colloidal Mobilization in the Karst Vadose Zone: Evidence from a 15-Year Cave-Monitoring Study. Hydrological Processes, 35(4): e14163. https://doi.org/10.1002/hyp.14163
    Liao, J., Hu, C. Y., Wang, M., et al., 2018. Assessing Acid Rain and Climate Effects on the Temporal Variation of Dissolved Organic Matter in the Unsaturated Zone of a Karstic System from Southern China. Journal of Hydrology, 556: 475–487. https://doi.org/10.1016/j.jhydrol.2017.11.043
    Liu, C. Q., Li, S. L., Lang, Y. C., et al., 2006. Using δ15N- and δ18O-Values to Identify Nitrate Sources in Karst Ground Water, Guiyang, Southwest China. Environmental Science & Technology, 40(22): 6928–6933. https://doi.org/10.1021/es0610129
    Long, X., Sun, Z. Y., Zhou, A. G., et al., 2015. Hydrogeochemical and Isotopic Evidence for Flow Paths of Karst Waters Collected in the Heshang Cave, Central China. Journal of Earth Science, 26(1): 149–156. https://doi.org/10.1007/s12583-015-0522-2
    Miller, M. P., Tesoriero, A. J., Capel, P. D., et al., 2016. Quantifying Watershed-Scale Groundwater Loading and In-Stream Fate of Nitrate Using High-Frequency Water Quality Data. Water Resources Research, 52(1): 330–347. https://doi.org/10.1002/2015WR017753
    Ming, X. X., Groves, C., Wu, X. Y., et al., 2020. Nitrate Migration and Transformations in Groundwater Quantified by Dual Nitrate Isotopes and Hydrochemistry in a Karst World Heritage Site. Science of the Total Environment, 735: 138907. https://doi.org/10.1016/j.scitotenv.2020.138907
    Musgrove, M., Opsahl, S. P., Mahler, B. J., et al., 2016. Source, Variability, and Transformation of Nitrate in a Regional Karst Aquifer: Edwards Aquifer, Central Texas. Science of the Total Environment, 568: 457–469. https://doi.org/10.1016/j.scitotenv.2016.05.201
    Parnell, A. C., Inger, R., Bearhop, S., et al., 2010. Source Partitioning Using Stable Isotopes: Coping with too Much Variation. PLoS ONE, 5(3): e9672. http://doi.org/10.1371/journal.pone.0009672
    Ren, K., Pan, X. D., Yuan, D. X., et al., 2022. Nitrate Sources and Nitrogen Dynamics in a Karst Aquifer with Mixed Nitrogen Inputs (Southwest China): Revealed by Multiple Stable Isotopic and Hydro-Chemical Proxies. Water Research, 210: 118000. https://doi.org/10.1016/j.watres.2021.118000
    Rivett, M. O., Buss, S. R., Morgan, P., et al., 2008. Nitrate Attenuation in Groundwater: A Review of Biogeochemical Controlling Processes. Water Research, 42(16): 4215–4232. https://doi.org/10.1016/j.watres.2008.07.020
    Shang, X., Huang, H., Mei, K., et al., 2020. Riverine Nitrate Source Apportionment Using Dual Stable Isotopes in a Drinking Water Source Watershed of Southeast China. Science of the Total Environment, 724: 137975. https://doi.org/10.1016/j.scitotenv.2020.137975
    Sugimoto, R., Tsuboi, T., Fujita, M. S., 2019. Comprehensive and Quantitative Assessment of Nitrate Dynamics in Two Contrasting Forested Basins along the Sea of Japan Using Dual Isotopes of Nitrate. Science of the Total Environment, 687: 667–678. https://doi.org/10.1016/j.scitotenv.2019.06.090
    Wang, F., Liu, Y. Q., Zhang, Z. H., et al., 2025. Advances in Isotopic Composition of Nitrate Research in Glaciers: Insights into Sources, Transformations, and Environmental Implications. Journal of Earth Science. https://doi.org/10.1007/s12583-025-0316-0
    Wang, Y., 2021. Temporal and Spatial Evolution of Precipitation Stable Isotopes in Western Hubei: Implications for Palaeoclimate and Paleoaltimetry Reconstruction: [Dissertation]. China University of Geosciences, Wuhan (in Chinese with English Abstract)
    Wang, Z. J., Yue, F. J., Wang, Y. C., et al., 2022. The Effect of Heavy Rainfall Events on Nitrogen Patterns in Agricultural Surface and Underground Streams and the Implications for Karst Water Quality Protection. Agricultural Water Management, 266: 107600. https://doi.org/10.1016/j.agwat.2022.107600
    WHO, 2017. Guidelines for Drinking-Water Quality, Fourth Edition, Incorporating the First Addendum. Geneva. https://www.who.int/publications/i/item/9789241549950
    Xing, J. W., Li, X. Q., Zhou, A. G., et al., 2024. Multi-Isotope Tracing of the Impact of Human Activities on the Hydrological Environment in the Muli Permafrost Region. Earth Science, 49(5): 1891–1906. https://doi.org/10.3799/dqkx.2021.253 (in Chinese with English Abstract)
    Xu, S. G., Kang, P. P., Sun, Y., 2016. A Stable Isotope Approach and Its Application for Identifying Nitrate Source and Transformation Process in Water. Environmental Science and Pollution Research, 23(2): 1133–1148. https://doi.org/10.1007/s11356-015-5309-6
    Xu, S., Li, S. L., Su, J., et al., 2021. Oxidation of Pyrite and Reducing Nitrogen Fertilizer Enhanced the Carbon Cycle by Driving Terrestrial Chemical Weathering. Science of the Total Environment, 768: 144343. https://doi.org/10.1016/j.scitotenv.2020.144343
    Yang, P. H., Wang, Y. Y., Wu, X. Y., et al., 2020. Nitrate Sources and Biogeochemical Processes in Karst Underground Rivers Impacted by Different Anthropogenic Input Characteristics. Environmental Pollution, 265: 114835. https://doi.org/10.1016/j.envpol.2020.114835
    Yue, F. J., Li, S. L., Liu, C. Q., et al., 2017. Tracing Nitrate Sources with Dual Isotopes and Long Term Monitoring of Nitrogen Species in the Yellow River, China. Scientific Reports, 7: 8537. https://doi.org/10.1038/s41598-017-08756-7
    Yue, F. J., Li, S. L., Waldron, S., et al., 2020. Rainfall and Conduit Drainage Combine to Accelerate Nitrate Loss from a Karst Agroecosystem: Insights from Stable Isotope Tracing and High-Frequency Nitrate Sensing. Water Research, 186: 116388. https://doi.org/10.1016/j.watres.2020.116388
    Yue, F. J., Liu, C. Q., Li, S. L., et al., 2014. Analysis of δ15N and δ18O to Identify Nitrate Sources and Transformations in Songhua River, Northeast China. Journal of Hydrology, 519: 329–339. https://doi.org/10.1016/j.jhydrol.2014.07.026
    Yue, F. J., Waldron, S., Li, S. L., et al., 2019. Land Use Interacts with Changes in Catchment Hydrology to Generate Chronic Nitrate Pollution in Karst Waters and Strong Seasonality in Excess Nitrate Export. Science of the Total Environment, 696: 134062. https://doi.org/10.1016/j.scitotenv.2019.134062
    Zhang, J., Cao, M. D., Jin, M. G., et al., 2022. Identifying the Source and Transformation of Riverine Nitrates in a Karst Watershed, North China: Comprehensive Use of Major Ions, Multiple Isotopes and a Bayesian Model. Journal of Contaminant Hydrology, 246: 103957. https://doi.org/10.1016/j.jconhyd.2022.103957
    Zhang, Y. P., Yan, K. T., Chen, C., 2024. Hydrochemical and Multi-Isotope Analysis of Nitrogen Sources and Transformation Processes in the Wetland-Groundwater System of Honghu Lake. Earth Science, 49(11): 3946–3959. https://doi.org/10.3799/dqkx.2024.093 (in Chinese with English Abstract)
    Zhang, Z. C., Chen, X., Cheng, Q. B., et al., 2020. Coupled Hydrological and Biogeochemical Modelling of Nitrogen Transport in the Karst Critical Zone. Science of the Total Environment, 732: 138902. https://doi.org/10.1016/j.scitotenv.2020.138902
    Zhang, Z. C., Chen, X., Li, S. L., et al., 2021. Linking Nitrate Dynamics to Water Age in Underground Conduit Flows in a Karst Catchment. Journal of Hydrology, 596: 125699. https://doi.org/10.1016/j.jhydrol.2020.125699
  • 加载中

Catalog

    通讯作者: 陈斌, bchen63@163.com
    • 1. 

      沈阳化工大学材料科学与工程学院 沈阳 110142

    1. 本站搜索
    2. 百度学术搜索
    3. 万方数据库搜索
    4. CNKI搜索

    Figures(4)  / Tables(2)

    Article Metrics

    Article views(278) PDF downloads(6) Cited by()
    Proportional views
    Related

    /

    DownLoad:  Full-Size Img  PowerPoint
    Return
    Return