Advanced Search

Indexed by SCI、CA、РЖ、PA、CSA、ZR、etc .

Volume 37 Issue 1
Feb 2026
Turn off MathJax
Article Contents
Ruxin Ding, Zhenghai Wang, Kyoungwon Min, Nina Liu, Cleber Soares, Jing Liu-Zeng, Weitao Wang. Inversion of the Paleo-Geothermal Gradient Using Low-Temperature Thermochronology: A Case Study of the Haiyuan-Liupanshan Region. Journal of Earth Science, 2026, 37(1): 114-124. doi: 10.1007/s12583-023-1861-z
Citation: Ruxin Ding, Zhenghai Wang, Kyoungwon Min, Nina Liu, Cleber Soares, Jing Liu-Zeng, Weitao Wang. Inversion of the Paleo-Geothermal Gradient Using Low-Temperature Thermochronology: A Case Study of the Haiyuan-Liupanshan Region. Journal of Earth Science, 2026, 37(1): 114-124. doi: 10.1007/s12583-023-1861-z

Inversion of the Paleo-Geothermal Gradient Using Low-Temperature Thermochronology: A Case Study of the Haiyuan-Liupanshan Region

doi: 10.1007/s12583-023-1861-z
More Information
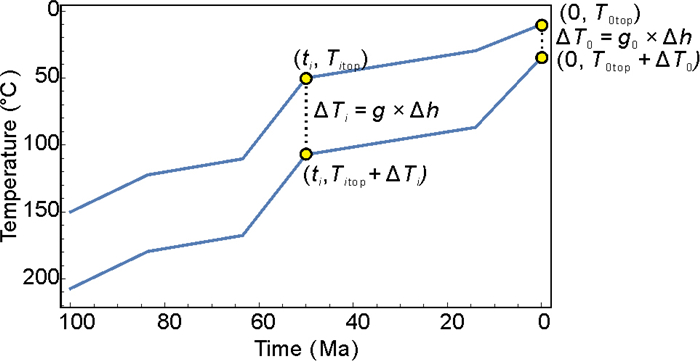
  • The paleo-geothermal gradient is a crucial parameter for converting the thermal history to the exhumation history. However, the precise estimation of this parameter has been a challenge. This paper presents a simple two-step method to model the paleo-geothermal gradient using low-temperature thermochronology. (1) It uses the Monte Carlo approach to generate thermal histories in a vertical section randomly and calculates the entire thermal history within the goodness-of-fit thresholds based on different paleo-geothermal gradients. (2) It selects the optimum paleo-geothermal gradient by comparing the entire thermal history within different goodness-of-fit thresholds. We validated the method with apatite (U-Th)/He and fission track data collected from two drill cores in the Haiyuan-Liupanshan region. The result revealed that the best-fit paleo-geothermal gradient was ~42 ℃/km during the Early Cretaceous–Miocene and has decreased rapidly to 20 ℃/km since ~10 Ma. The crust thickening in the study area may explain the rapid reduction in the paleo-geothermal gradient since ~10 Ma. Our results are consistent with earlier studies in the region, suggesting that our simple and more intuitive approach provides an alternative method for paleo-geothermal gradient modeling.

     

  • Electronic Supplementary Materials: Supplementary Materials (Figures S1–S6, Tables S1–S4) are available in the online version of this article at https://doi.org/10.1007/s12583-023-1861-z.
    Conflict of Interest
    The authors declare that they have no conflict of interest.
  • loading
  • An, Z. S., Kutzbach, J. E., Prell, W. L., et al., 2001. Evolution of Asian Monsoons and Phased Uplift of the Himalaya–Tibetan Plateau since Late Miocene Times. Nature, 411(6833): 62–66. https://doi.org/10.1038/35075035
    Bray, R. J., Green, P. F., Duddy, I. R., 1992. Thermal History Reconstruction Using Apatite Fission Track Analysis and Vitrinite Reflectance: A Case Study from the UK East Midlands and Southern North Sea. Geological Society, London, Special Publications, 67(1): 3–25. https://doi.org/10.1144/gsl.sp.1992.067.01.01
    Carslaw, H. S., Jaeger, J. C., 1959. Conduction of Heat in Solids: 2nd ed. Clarendon Press, Oxford
    Chen, H. H., Wu, Y., Xiao, Q. G., 2013. Thermal Regime and Paleogeothermal Gradient Evolution of Mesozoic–Cenozoic Sedimentary Basins in the Tibetan Plateau, China. Earth Science, 38(3): 541–552 (in Chinese with English Abstract)
    Craddock, W., Kirby, E., Zhang, H. P., 2011. Late Miocene–Pliocene Range Growth in the Interior of the Northeastern Tibetan Plateau. Lithosphere, 3(6): 420–438. https://doi.org/10.1130/l159.1
    Darby, B. J., Ritts, B. D., 2002. Mesozoic Contractional Deformation in the Middle of the Asian Tectonic Collage: The Intraplate Western Ordos Fold-Thrust Belt, China. Earth and Planetary Science Letters, 205(1/2): 13–24. https://doi.org/10.1016/S0012-821X(02)01026-9
    Ding, G. Y., Chen, J., Tian, Q. J., et al., 2004. Active Faults and Magnitudes of Left-Lateral Displacement along the Northern Margin of the Tibetan Plateau. Tectonophysics, 380(3/4): 243–260. https://doi.org/10.1016/j.tecto.2003.09.022
    Ding, R. X., 2023. Low Temperature Thermal History Reconstruction Based on Apatite Fission-Track Length Distribution and Apatite U-Th/He Age Using Low-T Thermo. Journal of Earth Science, 34(3): 717–725. https://doi.org/10.1007/s12583-020-1071-x
    Ding, R. X., Chang, Y., Min, K., et al., 2021. Post-Orogenic Topographic Evolution of the Dabie Orogen, Eastern China: Insights from Apatite and Zircon (U-Th)/He Thermochronology. Geomorphology, 374: 107487. https://doi.org/10.1016/j.geomorph.2020.107487
    Donelick, R. A., O'Sullivan, P. B., Ketcham, R. A., 2005. Apatite Fission-Track Analysis. Reviews in Mineralogy and Geochemistry, 58(1): 49–94. https://doi.org/10.2138/rmg.2005.58.3
    Duvall, A. R., Clark, M. K., Kirby, E., et al., 2013. Low-Temperature Thermochronometry along the Kunlun and Haiyuan Faults, NE Tibetan Plateau: Evidence for Kinematic Change during Late-Stage Orogenesis. Tectonics, 32(5): 1190–1211. https://doi.org/10.1002/tect.20072
    Fan, L. G., Meng, Q. R., Wu, G. L., et al., 2019. Paleogene Crustal Extension in the Eastern Segment of the NE Tibetan Plateau. Earth and Planetary Science Letters, 514: 62–74. https://doi.org/10.1016/j.epsl.2019.02.036
    Fang, X. M., Fang, Y. H., Zan, J. B., et al., 2019. Cenozoic Magnetostratigraphy of the Xining Basin, NE Tibetan Plateau, and Its Constraints on Paleontological, Sedimentological and Tectonomorphological Evolution. Earth-Science Reviews, 190: 460–485. https://doi.org/10.1016/j.earscirev.2019.01.021
    Farley, K. A., 2002. (U-Th)/He Dating: Techniques, Calibrations, and Applications. Reviews in Mineralogy and Geochemistry, 47(1): 819–844. https://doi.org/10.2138/rmg.2002.47.18
    Flowers, R. M., Ketcham, R. A., Shuster, D. L., et al., 2009. Apatite (U-Th)/He Thermochronometry Using a Radiation Damage Accumulation and Annealing Model. Geochimica et Cosmochimica Acta, 73(8): 2347–2365. https://doi.org/10.1016/j.gca.2009.01.015
    Gallagher, K., 2012. Transdimensional Inverse Thermal History Modeling for Quantitative Thermochronology. Journal of Geophysical Research: Solid Earth, 117(B2): B02408. https://doi.org/10.1029/2011JB008825
    Gallagher, K., Stephenson, J., Brown, R., et al., 2005. Exploiting 3D Spatial Sampling in Inverse Modeling of Thermochronological Data. Reviews in Mineralogy and Geochemistry, 58(1): 375–387. https://doi.org/10.2138/rmg.2005.58.14
    Geological Survey Institute of Ningxia Hui Autonomous Region (GSINHAR), 2017. Regional Geology of China. Geological Publishing House, Beijing (in Chinese)
    Hu, H. F., Dai, S., 2013. Early Cretaceous Magnetostratigraphy of Liupanshan Area and Its Tectonic Implications. Geoscience, 27(2): 278–287 (in Chinese with English Abstract)
    Hu, S. B., Fu, M. X., Yang, S. C., et al., 2007. Palaeogeothermal Response and Record of Late Mesozoic Lithospheric Thinning in the Eastern North China Craton. Geological Society, London, Special Publications, 280(1): 267–280. https://doi.org/10.1144/sp280.13
    Jiang, G. Z., Gao, P., Rao, S., et al., 2016. Compilation of Heat Flow Data in the Continental Area of China(4th Edition). Chinese Journal of Geophysics, 59(8): 2892–2910(in Chinese with English Abstract)
    Ketcham, R. A., Carter, A., Donelick, R. A., et al., 2007. Improved Modeling of Fission-Track Annealing in Apatite. American Mineralogist, 92(5/6): 799–810. https://doi.org/10.2138/am.2007.2281
    Ketcham, R. A., Gautheron, C., Tassan-Got, L., 2011. Accounting for Long Alpha-Particle Stopping Distances in (U-Th-Sm)/He Geochronology: Refinement of the Baseline Case. Geochimica et Cosmochimica Acta, 75(24): 7779–7791. https://doi.org/10.1016/j.gca.2011.10.011
    Lease, R. O., Burbank, D. W., Clark, M. K., et al., 2011. Middle Miocene Reorganization of Deformation along the Northeastern Tibetan Plateau. Geology, 39(4): 359–362. https://doi.org/10.1130/g31356.1
    Lease, R. O., Burbank, D. W., Hough, B., et al., 2012. Pulsed Miocene Range Growth in Northeastern Tibet: Insights from Xunhua Basin Magnetostratigraphy and Provenance. Geological Society of America Bulletin, 124(5/6): 657–677. https://doi.org/10.1130/b30524.1
    Lin, X. B., Chen, H. L., Wyrwoll, K. H., et al., 2011. The Uplift History of the Haiyuan-Liupan Shan Region Northeast of the Present Tibetan Plateau: Integrated Constraint from Stratigraphy and Thermochronology. The Journal of Geology, 119(4): 372–393. https://doi.org/10.1086/660190
    Liu, C. Y., Zhao, H. G., Wang, F., et al., 2005. Attributes of the Mesozoic Structure on the West Margin of the Ordos Basin. Acta Geologica Sinica, 79(6): 737–747 (in Chinese with English Abstract)
    Liu, C. Y., Zhao, H. G., Zhao, J. F., et al., 2008. Temporo-Spatial Coordinates of Evolution of the Ordos Basin and Its Mineralization Responses. Acta Geologica Sinica: English Edition, 82(6): 1229–1243. https://doi.org/10.1111/j.1755-6724.2008.tb00725.x
    Ma, L. F., 2002. Atlas of Geophysics in China. Geological Publishing House, Beijing
    McDowell, F. W., McIntosh, W. C., Farley, K. A., 2005. A Precise 40Ar-39Ar Reference Age for the Durango Apatite (U-Th)/He and Fission-Track Dating Standard. Chemical Geology, 214(3/4): 249–263. https://doi.org/10.1016/j.chemgeo.2004.10.002
    Meng, Q. R., Zhang, G. W., 1999. Timing of Collision of the North and South China Blocks: Controversy and Reconciliation. Geology, 27(2): 123–126. https://doi.org/10.1130/0091-7613(1999)027<0123:tocotn>2.3.co;2 doi: 10.1130/0091-7613(1999)027<0123:tocotn>2.3.co;2
    Molnar, P., 2005. Mio-Pliocene Growth of the Tibetan Plateau and Evolution of East Asian Climate. Palaeontologia Electronica, 8 (1): 1–23
    O'Sullivan, P. B., 1999. Thermochronology, Denudation and Variations in Palaeosurface Temperature: a Case Study from the North Slope Foreland Basin, Alaska. Basin Research, 11(3): 191–204. https://doi.org/10.1046/j.1365-2117.1999.00094.x
    Peng, H., Wang, J. Q., Liu, C. Y., et al., 2019. Thermochronological Constraints on the Meso-Cenozoic Tectonic Evolution of the Haiyuan-Liupanshan Region, Northeastern Tibetan Plateau. Journal of Asian Earth Sciences, 183: 103966. https://doi.org/10.1016/j.jseaes.2019.103966
    Reiners, P. W., Brandon, M. T., 2006. Using Thermochronology to Understand Orogenic Erosion. Annual Review of Earth and Planetary Sciences, 34: 419–466. https://doi.org/10.1146/annurev.earth.34.031405.125202
    Shi, W., Dong, S. W., Liu, Y., et al., 2015. Cenozoic Tectonic Evolution of the South Ningxia Region, Northeastern Tibetan Plateau Inferred from New Structural Investigations and Fault Kinematic Analyses. Tectonophysics, 649: 139–164. https://doi.org/10.1016/j.tecto.2015.02.024
    Shi, W., Zhang, Y. Q., Ma, Y. S., et al., 2006. Formation and Modification History of the Liupanshan Basin on the Southwestern Margin of Ordos Block and Tectonic Stress Field Evolution. Geology in China, 33: 1066-1074. https://doi.org/10.3969/j.issn.1000-3657.2006.05.016 (in Chinese with English Abstract)
    Song, L. J., Mu, Q. H., Li, A. R., et al., 2013. Fission-Track Thermal Evolution History in the Formation Age of Yaoshan Formation. Coal Geology & Exploration, 41(4): 1–4 (in Chinese with English Abstract)
    Tang, X., Guo, Z., Chen, H., et al., 1992. The Study and Petroleum Prospect of Thrust Nappe in the West Margin of Shaanxi-Gansu-Ningxia Basin. Northwest University Press, Xi'an (in Chinese)
    Tapponnier, P., Zhiqin, X., Roger, F., et al., 2001. Oblique Stepwise Rise and Growth of the Tibet Plateau. Science, 294(5547): 1671–1677. https://doi.org/10.1126/science.105978
    Vermeesch, P., 2009. RadialPlotter: A Java Application for Fission Track, Luminescence and Other Radial Plots. Radiation Measurements, 44(4): 409–410. https://doi.org/10.1016/j.radmeas.2009.05.003
    Vermeesch, P., Tian, Y. T., 2014. Thermal History Modelling: HeFTy vs. QTQT. Earth-Science Reviews, 139: 279–290. https://doi.org/10.1016/j.earscirev.2014.09.010
    Wang, W. T., Zhang, P. Z., Zheng, D. W., et al., 2014. Late Cenozoic Tectonic Deformation of the Haiyuan Fault Zone in the Northeastern Margin of the Tibetan Plateau. Earth Science Frontiers, 21(4): 266–274. https://doi.org/10.13745/j.esf.2014.04.027 (in Chinese with English Abstract)
    Yin, A., Harrison, T. M., 2000. Geologic Evolution of the Himalayan-Tibetan Orogen. Annual Review of Earth and Planetary Sciences, 28: 211–280. https://doi.org/10.1146/annurev.earth.28.1.211
    Zhang, H. P., Craddock, W. H., Lease, R. O., et al., 2012. Magnetostratigraphy of the Neogene Chaka Basin and Its Implications for Mountain Building Processes in the North-Eastern Tibetan Plateau. Basin Research, 24(1): 31–50. https://doi.org/10.1111/j.1365-2117.2011.00512.x
    Zhang, P. Z., Zheng, D. W., Yin, G. L., et al., 2006. Discussion on Late Cenozoic Growth and Rise of Northeastern Margin of the Tibetan Plateau. Quaternary Sciences, 26: 5–13. https://doi.org/10.3321/j.issn:1001-7410.2006.01.002 (in Chinese with English Abstract)
    Zhao, H. G., Liu, C. Y., Yao, Y. M., et al., 2007. Differential Uplift in the West Margin of Ordos Basin since Mesozoic from the Fission Track Evidence. Journal of Northwest University (Natural Science Edition), 37(3): 470–474 (in Chinese with English Abstract)
    Zhao, M., Chen, X. M., Ji, J. F., et al., 2007. Evolution of Chlorite Composition in the Paleogene Prototype Basin of Jiyang Depression, Shandong, China, and Its Implication for Paleogeothermal Gradient. Science in China Series D: Earth Sciences, 50(11): 1645–1654. https://doi.org/10.1007/s11430-007-0112-y
    Zheng, D. W., Clark, M. K., Zhang, P. Z., et al., 2010. Erosion, Fault Initiation and Topographic Growth of the North Qilian Shan (Northern Tibetan Plateau). Geosphere, 6(6): 937–941. https://doi.org/10.1130/ges00523.1
    Zheng, D. W., Zhang, P. Z., Wan, J. L., et al., 2006. Rapid Exhumation at ~8 Ma on the Liupan Shan Thrust Fault from Apatite Fission-Track Thermochronology: Implications for Growth of the Northeastern Tibetan Plateau Margin. Earth and Planetary Science Letters, 248(1/2): 198–208. https://doi.org/10.1016/j.epsl.2006.05.023
  • 加载中

Catalog

    通讯作者: 陈斌, bchen63@163.com
    • 1. 

      沈阳化工大学材料科学与工程学院 沈阳 110142

    1. 本站搜索
    2. 百度学术搜索
    3. 万方数据库搜索
    4. CNKI搜索

    Figures(10)  / Tables(1)

    Article Metrics

    Article views(233) PDF downloads(11) Cited by()
    Proportional views
    Related

    /

    DownLoad:  Full-Size Img  PowerPoint
    Return
    Return