Advanced Search

Indexed by SCI、CA、РЖ、PA、CSA、ZR、etc .

Volume 36 Issue 5
Oct 2025
Turn off MathJax
Article Contents
Qiong Wu, Di Wang, Huiming Tang, Jintao Kang, Hongming Luo, Yuxin Liu, Shiyu Li, Bo Zhang, Zhiqi Liu, Zhiwei Lin. Strength Deterioration Characteristics of Soft and Hard Interbedded Rock Masses in Three Gorges Reservoir Area Induced by Wetting-Drying Cycles. Journal of Earth Science, 2025, 36(5): 1948-1962. doi: 10.1007/s12583-023-1915-0
Citation: Qiong Wu, Di Wang, Huiming Tang, Jintao Kang, Hongming Luo, Yuxin Liu, Shiyu Li, Bo Zhang, Zhiqi Liu, Zhiwei Lin. Strength Deterioration Characteristics of Soft and Hard Interbedded Rock Masses in Three Gorges Reservoir Area Induced by Wetting-Drying Cycles. Journal of Earth Science, 2025, 36(5): 1948-1962. doi: 10.1007/s12583-023-1915-0

Strength Deterioration Characteristics of Soft and Hard Interbedded Rock Masses in Three Gorges Reservoir Area Induced by Wetting-Drying Cycles

doi: 10.1007/s12583-023-1915-0
More Information
  • Corresponding author: Huiming Tang, tanghm@cug.edu.cn
  • Received Date: 24 Apr 2023
  • Accepted Date: 08 Jul 2023
  • Available Online: 14 Oct 2025
  • Issue Publish Date: 30 Oct 2025
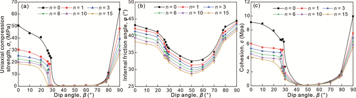
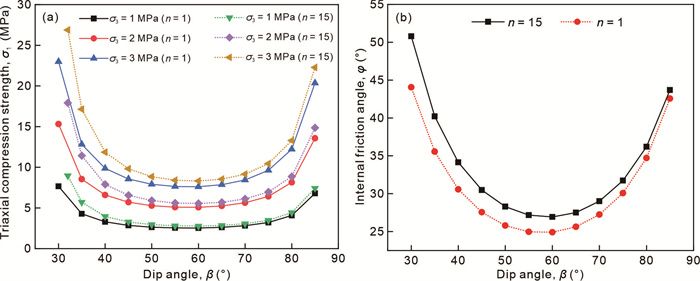
  • The rock masses in the hydro-fluctuation zone of reservoir banks sustain wetting-drying cycles (WDC), thereby affecting the stability of the reservoir bank slope. In this paper, rock masses with argillaceous siltstone and silty mudstone interbedded in Badong Formation were taken as the research object to investigate the variation of strength parameters of soft and hard interbedded rock masses with WDC and dip angle through laboratory experiments and numerical experiments. Some attempts were made to reveal the mechanical properties deterioration mechanism of interbedded rock masses by quantitatively analyzing the contribution of strength parameters deterioration of hard rocks, soft rocks, and bedding planes to the strength parameters deterioration of rock masses. The results indicate that the logarithmic function could be used to describe the deterioration of each strength parameter of both argillaceous siltstone and silty mudstone and bedding plane with the number of WDC. The strength parameters of interbedded rock masses decrease as the number of WDC increases, with the largest decrease after the first cycle and then slowing down in the later cycles. The strength parameters initially decrease and then increase as the dip angles increase. The impact of deteriorated strength parameters of bedding planes and rocks on the deterioration of strength parameters of interbedded rock masses differs significantly with the dip angle, which can be divided into four typical ranges of different controlling factors.

     

  • Conflict of Interest
    The authors declare that they have no conflict of interest.
  • loading
  • Aliabadian, Z., Sharafisafa, M., Tahmasebinia, F., et al., 2021. Experimental and Numerical Investigations on Crack Development in 3D Printed Rock-Like Specimens with Pre-Existing Flaws. Engineering Fracture Mechanics, 241: 107396. https://doi.org/10.1016/j.engfracmech.2020.107396
    Alshkane, Y. M., Marshall, A. M., Stace, L. R., 2017. Prediction of Strength and Deformability of an Interlocked Blocky Rock Mass Using UDEC. Journal of Rock Mechanics and Geotechnical Engineering, 9(3): 531–542. https://doi.org/10.1016/j.jrmge.20 17.01.002 doi: 10.1016/j.jrmge.2017.01.002
    Asadi, M., Bagheripour, M. H., 2015. Modified Criteria for Sliding and Non-Sliding Failure of Anisotropic Jointed Rocks. International Journal of Rock Mechanics and Mining Sciences, 73: 95–101. https://doi.org/10.1016/j.ijrmms.2014.10.006
    ASTM, I., 2008. Standard Test Method for Performing Laboratory Direct Shear Strength Tests of Rock Specimens under Constant Normal Force. West Conshohocken
    Chen, S. J., Xia, Z. G., Feng, F., et al., 2021. Numerical Study on Strength and Failure Characteristics of Rock Samples with Different Hole Defects. Bulletin of Engineering Geology and the Environment, 80(2): 1523–1540. https://doi.org/10.1007/s10064-020-01964-y
    Chen, X. X., He, P., Qin, Z., 2019. Strength Weakening and Energy Mechanism of Rocks Subjected to Wet-Dry Cycles. Geotechnical and Geological Engineering, 37(5): 3915–3923. https://doi.org/10.1007/s10706-019-00881-6
    Chong, Z. H., Li, X. H., Hou, P., et al., 2017. Numerical Investigation of Bedding Plane Parameters of Transversely Isotropic Shale. Rock Mechanics and Rock Engineering, 50(5): 1183–1204. https://doi.org/10.1007/s00603-016-1159-x
    de Silva, V. R. S., Ranjith, P. G., Wu, B., et al., 2018. Micro-Mechanics Based Numerical Simulation of NaCl Brine Induced Mechanical Strength Deterioration of Sedimentary Host-Rock Formations. Engineering Geology, 242: 55–69. https://doi.org/10.1016/j.enggeo.2 018.05.005 doi: 10.1016/j.enggeo.2018.05.005
    Dehestani, A., Hosseini, M., Beydokhti, A. T., 2020. Effect of Wetting-Drying Cycles on Mode Ⅰ and Mode Ⅱ Fracture Toughness of Sandstone in Natural (pH = 7) and Acidic (pH = 3) Environments. Theoretical and Applied Fracture Mechanics, 107: 102512. https://doi.org/10.1016/j.tafmec.2020.102512
    Fang, J. C., Deng, H. F., Qi, Y., et al., 2019. Analysis of Changes in the Micromorphology of Sandstone Joint Surface under Dry-Wet Cycling. Advances in Materials Science and Engineering, 2019: 1–11. https://doi.org/10.1155/2019/8758203
    Ghazvinian, A., Sarfarazi, V., Schubert, W., et al., 2012. A Study of the Failure Mechanism of Planar Non-Persistent Open Joints Using PFC2D. Rock Mechanics and Rock Engineering, 45(5): 677–693. https://doi.org/10.1007/s00603-012-0233-2
    Guo, S. F., Qi, S. W., 2015. Numerical Study on Progressive Failure of Hard Rock Samples with an Unfilled Undulate Joint. Engineering Geology, 193: 173–182. https://doi.org/10.1016/j.en ggeo.2015.04.023 doi: 10.1016/j.enggeo.2015.04.023
    Hale, P. A., 2003. A Laboratory Investigation of the Effects of Cyclic Heating and Cooling, Wetting and Drying, and Freezing and Thawing on the Compressive Strength of Selected Sandstones. Environmental and Engineering Geoscience, 9(2): 117–130. https://doi.org/10.2113/9.2.117
    Han, B., Fu, Q. A., Wang, C. Y., 2020. Numerical Simulation for Creep Characteristics of Soft and Hard Interphase Rock Mass. Journal of Physics: Conference Series, 1600(1): 012075. https://doi.org/10.1088/1742-6596/1600/1/012075
    Han, L., Zuo, Y. Y., Guo, Z., et al., 2017. Mechanical Properties and Deformation and Failure Characteristics of Surrounding Rocks of Tunnels Excavated in Soft Rocks. Geotechnical and Geological Engineering, 35(6): 2789–2801. https://doi.org/10.10 07/s10706-017-0278-9 doi: 10.1007/s10706-017-0278-9
    Han, Z. Y., Weatherley, D., Puscasu, R., 2018. Projected Area-Based Strength Estimation for Jointed Rock Masses in Triaxial Compression. Computers and Geotechnics, 104: 216–225. https://doi.org/10.1016/j.compgeo.2018.08.020
    Hashiba, K., Fukui, K., Kataoka, M., 2019. Effects of Water Saturation on the Strength and Loading-Rate Dependence of Andesite. International Journal of Rock Mechanics and Mining Sciences, 117: 142–149. https://doi.org/10.1016/j.ijrmms.2019.0 3.023 doi: 10.1016/j.ijrmms.2019.03.023
    Hazzard, J. F., Young, R. P., Maxwell, S. C., 2000. Micromechanical Modeling of Cracking and Failure in Brittle Rocks. Journal of Geophysical Research: Solid Earth, 105(B7): 16683–16697. https://doi.org/10.1029/2000jb900085
    Heap, M. J., Villeneuve, M., Kushnir, A. R. L., et al., 2019. Rock Mass Strength and Elastic Modulus of the Buntsandstein: An Important Lithostratigraphic Unit for Geothermal Exploitation in the Upper Rhine Graben. Geothermics, 77: 236–256. https://doi.org/10.1016/j.geothermics.2018.10.003
    Hua, W., Dong, S. M., Li, Y. F., et al., 2016. Effect of Cyclic Wetting and Drying on the Pure Mode Ⅱ Fracture Toughness of Sandstone. Engineering Fracture Mechanics, 153: 143–150. https://doi.org/10.1016/j.engfracmech.2015.11.020
    Hua, W., Dong, S. M., Li, Y. F., et al., 2015. The Influence of Cyclic Wetting and Drying on the Fracture Toughness of Sandstone. International Journal of Rock Mechanics and Mining Sciences, 78: 331–335. https://doi.org/10.1016/j.ijrmms.2015.06.010
    Huang, S. Y., Wang, J. J., Qiu, Z. F., et al., 2018. Effects of Cyclic Wetting-Drying Conditions on Elastic Modulus and Compressive Strength of Sandstone and Mudstone. Processes, 6(12): 234. https://doi.org/10.33 90/pr6120234 doi: 10.3390/pr6120234
    Huang, Y. H., Yang, S. Q., Tian, W. L., 2019. Crack Coalescence Behavior of Sandstone Specimen Containing Two Pre-Existing Flaws under Different Confining Pressures. Theoretical and Applied Fracture Mechanics, 99: 118–130. https://doi.org/10.1 016/j.tafmec.2018.11.013 doi: 10.1016/j.tafmec.2018.11.013
    Jaeger, J. C., 1960. Shear Failure of Anistropic Rocks. Geological Magazine, 97(1): 65–72. https://doi.org/10.1017/s00167568000 61100 doi: 10.1017/s0016756800061100
    Jian, W. X., Wang, Z. J., Yin, K. L., 2009. Mechanism of the Anlesi Landslide in the Three Gorges Reservoir, China. Engineering Geology, 108(1/2): 86–95. https://doi.org/10.1016/j.enggeo.200 9.06.017 doi: 10.1016/j.enggeo.2009.06.017
    Jiang, J. W., Xiang, W., Rohn, J., et al., 2015. Research on Water-Rock (Soil) Interaction by Dynamic Tracing Method for Huangtupo Landslide, Three Gorges Reservoir, PR China. Environmental Earth Sciences, 74(1): 557–571. https://doi.org/10.1007/s12665-015-4068-5
    Jin, C. Y., Shao, A. L., Liu, D., et al., 2018. Failure Mechanism of Highly Stressed Rock Mass during Unloading Based on the Stress Arch Theory. International Journal of Geomechanics, 18(11): 04018146. https://doi.org/10.1061/(asce)gm.1943-5622. 0001280 doi: 10.1061/(asce)gm.1943-5622.0001280
    Juang, C. H., 2021. BFTS-Engineering Geologists' Field Station to Study Reservoir Landslides. Engineering Geology, 284: 106038. https://doi.org/10.1016/j.enggeo.2021.106038
    Kang, J. T., Wu, Q., Tang, H. M., et al., 2019. Strength Degradation Mechanism of Soft and Hard Interbedded Rock Masses of Badong Formation Caused by Rock/Discontinuity Degradation. Earth Science, 44(11): 3950–3960 (in Chinese with English Abstract)
    Khanlari, G., Abdilor, Y., 2015. Influence of Wet-Dry, Freeze-Thaw, and Heat-Cool Cycles on the Physical and Mechanical Properties of Upper Red Sandstones in Central Iran. Bulletin of Engineering Geology and the Environment, 74(4): 1287–1300. https://doi.org/10.1007/s10064-014-0691-8
    Laghaei, M., Baghbanan, A., Hashemolhosseini, H., et al., 2018. Numerical Determination of Deformability and Strength of 3D Fractured Rock Mass. International Journal of Rock Mechanics and Mining Sciences, 110: 246–256. https://doi.org/10.1016/j.ijrmms.2018.07.015
    Lee, H., Jeon, S., 2011. An Experimental and Numerical Study of Fracture Coalescence in Pre-Cracked Specimens under Uniaxial Compression. International Journal of Solids and Structures, 48(6): 979–999. https://doi.org/10.1016/j.ijsolstr.201 0.12.001 doi: 10.1016/j.ijsolstr.2010.12.001
    Li, H., Yi, S., Deng, Q., 2006. Development Characteristics and their Spatial Variations of Badong Formation in the Three Gorges Reservoir Region. Journal of Engineering Geology, 5: 577–581 (in Chinese with English Abstract)
    Li, S. L., Xu, Q., Tang, M. G., et al., 2019. Characterizing the Spatial Distribution and Fundamental Controls of Landslides in the Three Gorges Reservoir Area, China. Bulletin of Engineering Geology and the Environment, 78(6): 4275–4290. https://doi.org/10.1007/s10064-018-1404-5
    Li, X. S., Peng, K., Peng, J., et al., 2021. Experimental Investigation of Cyclic Wetting-Drying Effect on Mechanical Behavior of a Medium-Grained Sandstone. Engineering Geology, 293: 106335. https://doi.org/10.1016/j.enggeo.2021.106335
    Liang, Z. Z., Wu, N., Li, Y. C., et al., 2019. Numerical Study on Anisotropy of the Representative Elementary Volume of Strength and Deformability of Jointed Rock Masses. Rock Mechanics and Rock Engineering, 52(11): 4387–4402. https://doi.org/10.1007/s00603-019-01859-9
    Lin, H., Cao, P., Wang, Y. X., 2013. Numerical Simulation of a Layered Rock under Triaxial Compression. International Journal of Rock Mechanics and Mining Sciences, 60: 12–18. https://doi.org/10.1016/j.ijrmms.2012.12.027
    Liu, W., Zhang, Z. H., 2020. Experimental Characterization and Quantitative Evaluation of Slaking for Strongly Weathered Mudstone under Cyclic Wetting-Drying Condition. Arabian Journal of Geosciences, 13(2): 1–8. https://doi.org/10.1007/s12 517-019-5044-2 doi: 10.1007/s12517-019-5044-2
    Liu, X. R., Wang, Z. J., Fu, Y., et al., 2016. Macro/Microtesting and Damage and Degradation of Sandstones under Dry-Wet Cycles. Advances in Materials Science and Engineering, 2016: 1–16. https://doi.org/10.1155/2016/7013032
    Luo, S. L., Huang, D., Peng, J. B., et al., 2024. Insights into Reservoir-Triggered Landslides Development and Its Influence Factors in the Three Gorges Reservoir Area, China. Journal of Earth Science, 35(6): 1979–1997. https://doi.org/10.1007/s1258 3-024-0024-1 doi: 10.1007/s12583-024-0024-1
    Mubashar, A., Ashcroft, I. A., Critchlow, G. W., et al., 2009. Moisture Absorption-Desorption Effects in Adhesive Joints. International Journal of Adhesion and Adhesives, 29(8): 751–760. https://doi.org/10.1016/j.ijadhadh.2009.05.001
    Mubashar, A., Ashcroft, I. A., Critchlow, G. W., et al., 2011. Strength Prediction of Adhesive Joints after Cyclic Moisture Conditioning Using a Cohesive Zone Model. Engineering Fracture Mechanics, 78(16): 2746–2760. https://doi.org/10.1016/j.engfrac mech.2011.07.010 doi: 10.1016/j.engfracmech.2011.07.010
    Pan, Y., Wu, G., Zhao, Z. M., et al., 2020. Analysis of Rock Slope Stability under Rainfall Conditions Considering the Water-Induced Weakening of Rock. Computers and Geotechnics, 128: 103806. https://doi.org/10.1016/j.compgeo.2020.103806
    Pietruszczak, S., Mroz, Z., 2000. Formulation of Anisotropic Failure Criteria Incorporating a Microstructure Tensor. Computers and Geotechnics, 26(2): 105–112. https://doi.org/10.1016/s0266-352 x(99)00034-8 doi: 10.1016/s0266-352x(99)00034-8
    Pouragha, M., Eghbalian, M., Wan, R., 2020. Micromechanical Correlation between Elasticity and Strength Characteristics of Anisotropic Rocks. International Journal of Rock Mechanics and Mining Sciences, 125: 104154. https://doi.org/10.1016/j.ijrmms.2 019.104154 doi: 10.1016/j.ijrmms.2019.104154
    Qiao, L. P., Wang, Z. C., Huang, A. D., 2017. Alteration of Mesoscopic Properties and Mechanical Behavior of Sandstone Due to Hydro-Physical and Hydro-Chemical Effects. Rock Mechanics and Rock Engineering, 50(2): 255–267. https://doi.org/10.1007/s00603-016-1111-0
    Selen, L., Panthi, K. K., Vistnes, G., 2020. An Analysis on the Slaking and Disintegration Extent of Weak Rock Mass of the Water Tunnels for Hydropower Project Using Modified Slake Durability Test. Bulletin of Engineering Geology and the Environment, 79(4): 1919–1937. https://doi.org/10.1007/s10064-019-01656-2
    Senent, S., Jimenez, R., Reyes, A., 2013. Numerical Simulation of the Influence of Small-Scale Defects on the True-Triaxial Strength of Rock Samples. Computers and Geotechnics, 53: 142–156. https://doi.org/10.1016/j.compgeo.2013.05.006
    Sharma, P. K., Khandelwal, M., Singh, T. N., 2007. Variation on Physico-Mechanical Properties of Kota Stone under Different Watery Environments. Building and Environment, 42(12): 4117–4123. https://doi.org/10.1016/j.buildenv.2006.11.032
    Shen, P. W., Tang, H. M., Zhang, B. C., et al., 2021. Investigation on the Fracture and Mechanical Behaviors of Simulated Transversely Isotropic Rock Made of Two Interbedded Materials. Engineering Geology, 286: 106058. https://doi.org/10. 1016/j.enggeo.2021.106058 doi: 10.1016/j.enggeo.2021.106058
    Sun, Q., Zhang, Y. L., 2019. Combined Effects of Salt, Cyclic Wetting and Drying Cycles on the Physical and Mechanical Properties of Sandstone. Engineering Geology, 248: 70–79. https://doi.org/10.1016/j.enggeo.2018.11.009
    Tang, H. M., Li, C. D., Hu, X. L., et al., 2015. Deformation Response of the Huangtupo Landslide to Rainfall and the Changing Levels of the Three Gorges Reservoir. Bulletin of Engineering Geology and the Environment, 74(3): 933–942. https://doi.org/10.1007/s10064-014-0671-z
    Tang, H., Shakoor, A., Crosta, G., et al., 2021. Special Issue on "Prevention and Mitigation of Geohazards in the Reservoir Area—A State-of-the-Art Perspective". Engineering Geology, 288: 106157. https://doi.org/10.1016/j.enggeo.2021.106157
    Tang, H. M., Wasowski, J., Juang, C. H., 2019. Geohazards in the Three Gorges Reservoir Area, China-Lessons Learned from Decades of Research. Engineering Geology, 261: 105267. https://doi.org/10.1016/j.enggeo.2019.105267
    Tien, Y. M., Kuo, M. C., 2001. A Failure Criterion for Transversely Isotropic Rocks. International Journal of Rock Mechanics and Mining Sciences, 38(3): 399–412. https://doi.org/10.1016/s1365-1609(01)00007-7
    Tien, Y. M., Tsao, P. F., 2000. Preparation and Mechanical Properties of Artificial Transversely Isotropic Rock. International Journal of Rock Mechanics and Mining Sciences, 37(6): 1001–1012. https://doi.org/10.1016/s1365-1609(00)00024-1
    Tien, Y. M., Kuo, M. C., Juang, C. H., 2006. An Experimental Investigation of the Failure Mechanism of Simulated Transversely Isotropic Rocks. International Journal of Rock Mechanics and Mining Sciences, 43(8): 1163–1181. https://doi.org/10.1016/j.ijrmms.2006.03.011
    Tong, D. F., Su, A. J., Tan, F., et al., 2023. Genetic Mechanism of Water-Rich Landslide Considering Antecedent Rainfalls: A Case Study of Pingyikou Landslide in Three Gorges Reservoir Area. Journal of Earth Science, 34(6): 1878–1891. https://doi.org/10.1007/s12583-022-1722-1
    Vásárhelyi, B., Ván, P., 2006. Influence of Water Content on the Strength of Rock. Engineering Geology, 84(1/2): 70–74. https://doi.org/10.1016/j.enggeo.2005.11.011
    Vergara, M. R., Arismendy, A., Libreros, A., et al., 2020. Numerical Investigation into Strength and Deformability of Veined Rock Mass. International Journal of Rock Mechanics and Mining Sciences, 135: 104510. https://doi.org/10.1016/j.ijrmms.2020.1 04510 doi: 10.1016/j.ijrmms.2020.104510
    Vergara, M. R., van Sint Jan, M., Lorig, L., 2016. Numerical Model for the Study of the Strength and Failure Modes of Rock Containing Non-Persistent Joints. Rock Mechanics and Rock Engineering, 49(4): 1211–1226. https://doi.org/10.1007/s00603-015-0824-9
    Wang, Q. Y., Tang, H. M., An, P. J., et al., 2024. Insight into the Permeability and Microstructure Evolution Mechanism of the Sliding Zone Soil: A Case Study from the Huangtupo Landslide, Three Gorges Reservoir, China. Journal of Earth Science, 35(3): 941–954. https://doi.org/10.1007/s12583-023-1828-0
    Wang, X. B., Zhou, Y. J., Chen, L., et al., 2024. Study on Slope Stability of Inlet/Outlet of Lower Reservoir of Warang Pumped Storage Power Station in Upper Yellow River. Earth Science, 49(10): 3799–3814. https://doi.org/10.3799/dqkx.2023.129 (in Chinese with English Abstract)
    Wen, S., Zhang, C. S., Chang, Y. L., et al., 2020. Dynamic Compression Characteristics of Layered Rock Mass with Significant Strength Changes in Adjacent Layers. Journal of Rock Mechanics and Geotechnical Engineering, 12(2): 353–365. https://doi.org/10.1016/j.jrmge.2019.0 9.003 doi: 10.1016/j.jrmge.2019.09.003
    Wu, Q., Xu, Y. J., Tang, H. M., et al., 2018. Investigation on the Shear Properties of Discontinuities at the Interface between Different Rock Types in the Badong Formation, China. Engineering Geology, 245: 280–291. https://doi.org/10.1016/j.enggeo.2018.09.002
    Wu, Q., Tang, H. M., Ma, X. H., et al., 2019a. Identification of Movement Characteristics and Causal Factors of the Shuping Landslide Based on Monitored Displacements. Bulletin of Engineering Geology and the Environment, 78(3): 2093–2106. https://doi.org/10.1007/s10064-018-1237-2
    Wu, Q., Xu, Y. J., Tang, H. M., et al., 2019b. Peak Shear Strength Prediction for Discontinuities between Two Different Rock Types Using a Neural Network Approach. Bulletin of Engineering Geology and the Environment, 78(4): 2315–2329. https://doi.org/10.1007/s10064-018-1290-x
    Wu, Q., Meng, Z., Tang, H. M., et al., 2022. Experimental Investigation on Weakening of Discontinuities at the Interface between Different Rock Types Induced by Wetting and Drying Cycles. Rock Mechanics and Rock Engineering, 55(3): 1179–1195. https://doi.org/10.1007/s00603-021-02731-5
    Wu, Q., Liu, Y. X., Tang, H. M., et al., 2023. Experimental Study of the Influence of Wetting and Drying Cycles on the Strength of Intact Rock Samples from a Red Stratum in the Three Gorges Reservoir Area. Engineering Geology, 314: 107013. https://doi.org/10.1016/j.enggeo.2 023.107013 doi: 10.1016/j.enggeo.2023.107013
    Wu, Q., Kulatilake, P. H. S. W., 2012. REV and Its Properties on Fracture System and Mechanical Properties, and an Orthotropic Constitutive Model for a Jointed Rock Mass in a Dam Site in China. Computers and Geotechnics, 43: 124–142. https://doi.org/10.1016/j.compgeo.2 012.02.010 doi: 10.1016/j.compgeo.2012.02.010
    Xu, J. J., Tang, X. H., Wang, Z. Z., et al., 2020. Investigating the Softening of Weak Interlayers during Landslides Using Nanoindentation Experiments and Simulations. Engineering Geology, 277: 105801. https://doi.org/10.1016/j.enggeo.2020.1 05801 doi: 10.1016/j.enggeo.2020.105801
    Yang, S. Q., Tian, W. L., Huang, Y. H., et al., 2016. An Experimental and Numerical Study on Cracking Behavior of Brittle Sandstone Containing Two Non-Coplanar Fissures under Uniaxial Compression. Rock Mechanics and Rock Engineering, 49(4): 1497–1515. https://doi.org/10.1007/s00603-015-0838-3
    Yang, X. X., Jing, H. W., Tang, C. N., et al., 2017. Effect of Parallel Joint Interaction on Mechanical Behavior of Jointed Rock Mass Models. International Journal of Rock Mechanics and Mining Sciences, 92: 40–53. https://doi.org/10.1016/j.ijrmms.2016.12.010
    Yang, X. J., Wang, J. M., Zhu, C., et al., 2019. Effect of Wetting and Drying Cycles on Microstructure of Rock Based on SEM. Environmental Earth Sciences, 78(6): 1–10. https://doi.org/10.1 007/s12665-019-819 1-6 doi: 10.1007/s12665-019-8191-6
    Yang, Y. C., Xing, H. G., Yang, X. G., et al., 2018. Experimental Study on the Dynamic Response and Stability of Bedding Rock Slopes with Weak Interlayers under Heavy Rainfall. Environmental Earth Sciences, 77(12): 1–16. https://doi.org/10.1 007/s12665-018-7624-y doi: 10.1007/s12665-018-7624-y
    Yao, W. M., Li, C. D., Zhan, H. B., et al., 2020. Multiscale Study of Physical and Mechanical Properties of Sandstone in Three Gorges Reservoir Region Subjected to Cyclic Wetting-Drying of Yangtze River Water. Rock Mechanics and Rock Engineering, 53(5): 2215–2231. https://doi.org/10.1007/s00603-019-02037-7
    Yasar, S., 2020. Long Term Wetting Characteristics and Saturation Induced Strength Reduction of some Igneous Rocks. Environmental Earth Sciences, 79(14): 1–12. https://doi.org/10.1 007/s12665-020-09105-0 doi: 10.1007/s12665-020-09105-0
    Zangerl, C., Eberhardt, E., Perzlmaier, S., 2010. Kinematic Behaviour and Velocity Characteristics of a Complex Deep-Seated Crystalline Rockslide System in Relation to Its Interaction with a Dam Reservoir. Engineering Geology, 112(1/2/3/4): 53–67. https://doi.org/10.1016/j.enggeo.2010.01.001
    Zhang, X. P., Wong, L. N. Y., 2013. Loading Rate Effects on Cracking Behavior of Flaw-Contained Specimens under Uniaxial Compression. International Journal of Fracture, 180(1): 93–110. https://doi.org/10.1 007/s10704-012-9803-2 doi: 10.1007/s10704-012-9803-2
    Zhang, Z. H., Jiang, Q. H., Zhou, C. B., et al., 2014. Strength and Failure Characteristics of Jurassic Red-Bed Sandstone under Cyclic Wetting-Drying Conditions. Geophysical Journal International, 198(2): 1034–1044. https://doi.org/10.1093/gji/gg u181 doi: 10.1093/gji/ggu181
    Zhang, Z. Z., Zhou, L. L., Yuan, Z. X., et al., 2012. Research on Shear Failure Criterion for Layered Rock Mass. Advanced Materials Research, 446–449: 1491–1496. https://doi.org/10.4028/www.scientific.net/amr.446-449.1491
    Zhao, M., Tang, H. M., Zhan, H. B., et al., 2022. A Numerical Method for Solving Three-Dimensional Probability Distribution of Rockmass Fracture Orientations. Earth Science, 47(4): 1470–1482 (in Chinese with English Abstract)
    Zhou, X. P., Bi, J., Qian, Q. H., 2015. Numerical Simulation of Crack Growth and Coalescence in Rock-Like Materials Containing Multiple Pre-Existing Flaws. Rock Mechanics and Rock Engineering, 48(3): 1097–1114. https://doi.org/10.1007/s00603-014-0627-4
    Zhou, Y. Y., Feng, X. T., Xu, D. P., et al., 2017. An Enhanced Equivalent Continuum Model for Layered Rock Mass Incorporating Bedding Structure and Stress Dependence. International Journal of Rock Mechanics and Mining Sciences, 97: 75–98. https://doi.org/10.1016/j.ijrmms.2017.06.006
    Zhou, Z. L., Cai, X., Chen, L., et al., 2017. Influence of Cyclic Wetting and Drying on Physical and Dynamic Compressive Properties of Sandstone. Engineering Geology, 220: 1–12. https://doi.org/10.1016/j.enggeo.2017.01.017
    Zhou, Z. L., Cai, X., Ma, D., et al., 2018. Dynamic Tensile Properties of Sandstone Subjected to Wetting and Drying Cycles. Construction and Building Materials, 182: 215–232. https://doi.org/10.1016/j.conbuildmat.2018.06.056
  • 加载中

Catalog

    通讯作者: 陈斌, bchen63@163.com
    • 1. 

      沈阳化工大学材料科学与工程学院 沈阳 110142

    1. 本站搜索
    2. 百度学术搜索
    3. 万方数据库搜索
    4. CNKI搜索

    Figures(14)  / Tables(1)

    Article Metrics

    Article views(551) PDF downloads(20) Cited by()
    Proportional views
    Related

    /

    DownLoad:  Full-Size Img  PowerPoint
    Return
    Return