Advanced Search

Indexed by SCI、CA、РЖ、PA、CSA、ZR、etc .

Volume 36 Issue 5
Oct 2025
Turn off MathJax
Article Contents
Sha Lu, Huiming Tang, Liangqing Wang, Xuexue Su, Bing Lyu. Mechanical Behavior of Sliding Zone Soil under Compression Considering Periodic Saturation-Drying: Example from a Giant Reservoir Landslide. Journal of Earth Science, 2025, 36(5): 1936-1947. doi: 10.1007/s12583-023-1971-2
Citation: Sha Lu, Huiming Tang, Liangqing Wang, Xuexue Su, Bing Lyu. Mechanical Behavior of Sliding Zone Soil under Compression Considering Periodic Saturation-Drying: Example from a Giant Reservoir Landslide. Journal of Earth Science, 2025, 36(5): 1936-1947. doi: 10.1007/s12583-023-1971-2

Mechanical Behavior of Sliding Zone Soil under Compression Considering Periodic Saturation-Drying: Example from a Giant Reservoir Landslide

doi: 10.1007/s12583-023-1971-2
More Information
  • Corresponding author: Huiming Tang, tanghm@cug.edu.cn
  • Received Date: 25 Oct 2023
  • Accepted Date: 01 Jan 2024
  • Available Online: 14 Oct 2025
  • Issue Publish Date: 30 Oct 2025
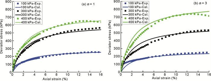
  • The reservoir landslide undergoes periodic saturation-drying cycles affected by reservoir fluctuation in hydropower project area, leading to the irreversible impact on the landslide materials. Sliding zone is the shearing part in formation of landslide and controls the further development of landslide. The mechanical behavior of sliding zone soil under compression is a crucial factor in the stability analysis in landslides. In this paper, the sliding zone soil from a giant landslide in the biggest hydropower project area, Three Gorges Reservoir Area, is taken as the research case. The particle-size distribution of the sliding zone soil from this landslide is studied and fractal dimension is adopted as representation. Periodic saturation-drying is introduced as the affecting factor on sliding zone soil properties. The triaxial compression test is conducted to reveal the mechanical behavior of the soil, including stress-strain behavior, elastic modulus, failure stress and strength parameters. These behavior of sliding zone soils with different fractal dimensions are studied under the effects of periodic saturation-drying cycles. The normalized stress-strain curves are displayed for further calculation. The data considering saturation-drying cycles are obtained and compared with the experimental results.

     

  • Conflict of Interest
    The authors declare that they have no conflict of interest.
  • loading
  • Abduhell, A., Zhang, Z. Z., Cheng, W. Y., et al., 2023. Shrinkage Characteristics and Microstructure Evolution of Yili Loess under Different Wetting and Drying Cycles. Water, 15(16): 2932. https://doi.org/10.3390/w15162932
    Chai, B., Yin, K. L., Du, J., et al., 2013. Correlation between Incompetent Beds and Slope Deformation at Badong Town in the Three Gorges Reservoir, China. Environmental Earth Sciences, 69(1): 209–223. https://doi.org/10.1007/s12665-012-1948-9
    Chen, Q., Cui, D. S., Chen, Y., et al., 2021. Effect of Prior Cyclic Loading on Triaxial Compression Strength of Sliding Zone Soil of the Huangtupo Landslide. Advances in Civil Engineering, 1: 9924995. https://doi.org/10.1155/2021/9924995
    Chen, X. P., Zhu, H. H., Huang, J. W., et al., 2016. Stability Analysis of an Ancient Landslide Considering Shear Strength Reduction Behavior of Slip Zone Soil. Landslides, 13(1): 173–181. https://doi.org/10.1007/s10346-015-0629-7
    Deng, Q. L., Zhu, Z. Y., Cui, Z. Q., et al., 2000. Mass Rock Creep and Landsliding on the Huangtupo Slope in the Reservoir Area of the Three Gorges Project, Yangtze River, China. Engineering Geology, 58(1): 67–83. https://doi.org/10.1016/s0013-7952(00)00053-3
    Gao, D. X., Li, K., Cai, Y. C., et al., 2024. Landslide Displacement Prediction Based on Time Series and PSO-BP Model in Three Georges Reservoir, China. Journal of Earth Science, 35(3): 1079–1082. https://doi.org/10.1007/s12583-021-1575-z
    Gong, W. P., Juang, C. H., Wasowski, J., 2021. Geohazards and Human Settlements: Lessons Learned from Multiple Relocation Events in Badong, China—Engineering Geologist's Perspective. Engineering Geology, 285: 106051. https://doi.org/10.1016/j.eng geo.2021.106051 doi: 10.1016/j.enggeo.2021.106051
    HIGH, 2002. Detailed Investigation Report of Huangtupo Landslide in Badong County, Hubei. Hubei Institute of Geological Hazard, Jingzhou
    Hou, L. Q., Huang, X., 2017. Significance and Interaction of Factors on Mechanical Properties of Red Clay in Drying-Wetting Cycles. Journal of Guilin University of Technology, 37(3): 456–466 (in Chinese with English Abstract)
    Jian, W. B., Hu, H. R., Luo, Y. H., et al., 2017. Experimental Study on Deterioration of Granitic Residual Soil Strength in Wetting-Drying Cycles. Journal of Engineering Geology, 25(3): 592–597 (in Chinese with English Abstract)
    Jiang, J. W., Xiang, W., Rohn, J., et al., 2015. Research on Water-Rock (Soil) Interaction by Dynamic Tracing Method for Huangtupo Landslide, Three Gorges Reservoir, PR China. Environmental Earth Sciences, 74(1): 557–571. https://doi.org/10.1007/s12665-015-4068-5
    Jiao, Y. Y., Song, L., Tang, H. M., et al., 2014. Material Weakening of Slip Zone Soils Induced by Water Level Fluctuation in the Ancient Landslides of Three Gorges Reservoir. Advances in Materials Science and Engineering, 2014: 1–9. https://doi.org/10.1155/2014/202340
    Kodikara, J., Barbour, S. L., Fredlund, D. G., 1999. Changes in Clay Structure and Behaviour due to Wetting and Drying. 8th Australia New Zealand Conference on Geomechanics: Consolidating Knowledge. February 1999, Hobart
    Lee, W., Bohra, N. C., Altschaeffl, A. G., et al., 1995. Resilient Modulus of Cohesive Soils and the Effect of Freeze-Thaw. Canadian Geotechnical Journal, 32(4): 559–568. https://doi.org/10.1139/t95-059
    Liao, K., Wu, Y. P., Miao, F. S., 2024. System Reliability Analysis of Reservoir Landslides: Insights from Long-Term Reservoir Operation. Journal of Earth Science, 35(5): 1583–1593. https://doi.org/10.1007/s12583-022-1668-3
    Li, C., 2018. Long-Term Deformation and Time-Varying Stability of Huangtupo Landslide Based on the Rheological Property of Slip Zone Soil: [Dissertation]. China University of Geosciences, Wuhan (in Chinese with English Abstract)
    Li, G. Y., Wang, F., Ma, W., et al., 2018. Variations in Strength and Deformation of Compacted Loess Exposed to Wetting-Drying and Freeze-Thaw Cycles. Cold Regions Science and Technology, 151: 159–167. https://doi.org/10.1016/j.coldregion s.2018.03.021 doi: 10.1016/j.coldregions.2018.03.021
    Li, X., Liang, S. Y., Zheng, G. D., 2010. Progresses in Sliding Zone Soil of Landslides. Advances in Earth Science, 25(5): 484–8 (in Chinese with English Abstract)
    Liu, J. K., Chang, D., Yu, Q. M., 2016. Influence of Freeze-Thaw Cycles on Mechanical Properties of a Silty Sand. Engineering Geology, 210: 23–32. https://doi.org/10.1016/j.enggeo.2016.0 5.019 doi: 10.1016/j.enggeo.2016.05.019
    Liu, X. R., Jin, M. H., Li, D. L., et al., 2018. Strength Deterioration of a Shaly Sandstone under Dry-Wet Cycles: A Case Study from the Three Gorges Reservoir in China. Bulletin of Engineering Geology and the Environment, 77(4): 1607–1621. https://doi.org/10.1007/s10064-017-1107-3
    Liu, Z. Y., Ma, J. W., Xia, D., et al., 2024. Toward the Reliable Prediction of Reservoir Landslide Displacement Using Earthworm Optimization Algorithm-Optimized Support Vector Regression (EOA-SVR). Natural Hazards, 120(4): 3165–3188. https://doi.org/10.1007/s11069-023-06322-1
    Lu, S., 2017. Study on Slip Zone Properties and Evolution Characteristics of Huangtupo Landslide in Three Gorges Reservoir Area: [Dissertation]. China University of Geosciences, Wuhan (in Chinese with English Abstract)
    Lu, S., Tang, H. M., Zhang, Y. Q., et al., 2018. Effects of the Particle-Size Distribution on the Micro and Macro Behavior of Soils: Fractal Dimension as an Indicator of the Spatial Variability of a Slip Zone in a Landslide. Bulletin of Engineering Geology and the Environment, 77(2): 665–677. https://doi.org/10.1007/s1006 4-017-1028-1 doi: 10.1007/s10064-017-1028-1
    Luo, S. L., Huang, D., Peng, J. B., et al., 2024. Insights into Reservoir-Triggered Landslides Development and Its Influence Factors in the Three Gorges Reservoir Area, China. Journal of Earth Science, 35(6): 1979–1997. https://doi.org/10.1007/s125 83-024-0024-1 doi: 10.1007/s12583-024-0024-1
    Ma, J. W., Lei, D. Z., Ren, Z. Y., et al., 2024. Automated Machine Learning-Based Landslide Susceptibility Mapping for the Three Gorges Reservoir Area, China. Mathematical Geosciences, 56(5): 975–1010. https://doi.org/10.1007/s11004-023-10116-3
    Miao, F. S., Wu, Y. P., Li, L. W., et al., 2020. Weakening Laws of Slip Zone Soils during Wetting-Drying Cycles Based on Fractal Theory: A Case Study in the Three Gorges Reservoir (China). Acta Geotechnica, 15(7): 1909–1923. https://doi.org/10.1007/s1 1440-019-00894-8 doi: 10.1007/s11440-019-00894-8
    Niu, Z. L., Xu, J., Li, Y. F., et al., 2022. Strength Deterioration Mechanism of Bentonite Modified Loess after Wetting-Drying Cycles. Sci. Rep. , 12(1): 3130. https://doi.org/10.1038/s41598-022-06962-6
    Pan, S. T., Gao, W., Hu, R. L., 2022. Physical Modeling for Large-Scale Landslide with Chair-Shaped Bedrock Surfaces under Precipitation and Reservoir Water Fluctuation Conditions. Water, 14(6): 984. https://doi.org/10.3390/w14060984
    Perrier, E., Bird, N., Rieu, M., 1999. Generalizing the Fractal Model of Soil Structure: The Pore-Solid Fractal Approach. Geoderma, 88(3/4): 137–164. https://doi.org/10.1016/s0016-7061(98)00102-5
    Qi, Y. L., Bai, M. Z., Zhou, H., et al., 2021. Study on the Mechanical Properties of Red Clay under Drying-Wetting Cycles. Advances in Materials Science and Engineering, 2021(1): 8665167. https://doi.org/10.1155/2021/8665167
    Song, K., Wang, F. W., Yi, Q. L., et al., 2018. Landslide Deformation Behavior Influenced by Water Level Fluctuations of the Three Gorges Reservoir (China). Engineering Geology, 247: 58–68. https://doi.org/10.1016/j.enggeo.2018.10.020
    Su, X. X., Wu, W., Tang, H. M., et al., 2023. Physicochemical Effect on Soil in Sliding Zone of Reservoir Landslides. Engineering Geology, 324: 107249. https://doi.org/10.1016/j.enggeo.2023.1 07249 doi: 10.1016/j.enggeo.2023.107249
    Sun, G. H., Yang, Y. T., Jiang, W., et al., 2017. Effects of an Increase in Reservoir Drawdown Rate on Bank Slope Stability: A Case Study at the Three Gorges Reservoir, China. Engineering Geology, 221: 61–69. https://doi.org/10.1016/j.enggeo.2017.0 2.018 doi: 10.1016/j.enggeo.2017.02.018
    Tan, Q. W., Tang, H. M., Fan, L., et al., 2018. In situ Triaxial Creep Test for Investigating Deformational Properties of Gravelly Sliding Zone Soil: Example of the Huangtupo 1# Landslide, China. Landslides, 15(12): 2499–2508. https://doi.org/10.1007/s10346-018-1062-5
    Tang, C. S., Cheng, Q., Gong, X. P., et al., 2023. Investigation on Microstructure Evolution of Clayey Soils: A Review Focusing on Wetting/Drying Process. Journal of Rock Mechanics and Geotechnical Engineering, 15(1): 269–284. https://doi.org/10.10 16/j.jrmge.2022.02.004 doi: 10.1016/j.jrmge.2022.02.004
    Tang, H. M., Li, C. D., Hu, X. L., et al., 2015. Deformation Response of the Huangtupo Landslide to Rainfall and the Changing Levels of the Three Gorges Reservoir. Bulletin of Engineering Geology and the Environment, 74(3): 933–942. https://doi.org/10.1007/s10064-014-0671-z
    Tang, H. M., Li, C. D., Hu, X. L., et al., 2015. Evolution Characteristics of the Huangtupo Landslide Based on in situ Tunneling and Monitoring. Landslides, 12(3): 511–521. https://doi.org/10.1007/s10346-014-0500-2
    Tang, H. M., Wasowski, J., Juang, C. H., 2019. Geohazards in the Three Gorges Reservoir Area, China—Lessons Learned from Decades of Research. Engineering Geology, 261: 105267. https://doi.org/10.1016/j.enggeo.2019.105267
    Turcotte, D. L., 1986. Fractals and Fragmentation. Journal of Geophysical Research: Solid Earth, 91(B2): 1921–1926. https://doi.org/10.1029/jb091ib02p01921
    Tyler, S. W., Wheatcraft, S. W., 1992. Fractal Scaling of Soil Particle-Size Distributions: Analysis and Limitations. Soil Science Society of America Journal, 56(2): 362. https://doi.org/10.2136/sssaj1992.03615995005600020005x
    Wan, Y., Xue, Q., Wu, Y., et al., 2015. Mechanical Properties and Micromechanisms of Compacted Clay during Drying-Wetting Cycles. Rock and Soil Mechanics, 36(10): 2815–2824 (in Chinese with English Abstract)
    Wang, D. Y., Ma, W., Chang, X., et al., 2005. Physico-Mechanical Properties Changes of Qinghai-Tibet Clay due to Cyclic Freezing and Thawing. Chinese Journal of Rock Mechanics and Engineering, 24(23): 4313–4319 (in Chinese with English Abstract)
    Wang, J. G., Xiang, W., Lu, N., 2014. Landsliding Triggered by Reservoir Operation: A General Conceptual Model with a Case Study at Three Gorges Reservoir. Acta Geotechnica, 9(5): 771–788. https://doi.org/10.1007/s11440-014-0315-2
    Wang, J. E., 2012. Study on Structure and Hydro-Mechanical Properties of Sliding Zone Soil in Huangtupo Landslide: [Dissertation]. China University of Geosciences, Wuhan (in Chinese with English Abstract)
    Wang, S., Li, D. Q., Du, W. Q., 2022. Recent Advances in the Investigation of a Slow-Moving Landslide in the Three Gorges Reservoir Area, China. River, 1(1): 91–103. https://doi.org/10.1 002/rvr2.8 doi: 10.1002/rvr2.8
    Wang, S., Wang, J. G., Wu, W., et al., 2020. Creep Properties of Clastic Soil in a Reactivated Slow-Moving Landslide in the Three Gorges Reservoir Region, China. Engineering Geology, 267: 105493. https://doi.org/10.1016/j.enggeo.2020.105493
    Wang, Q. Y., Tang, H. M., An, P. J., et al., 2024. Insight into the Permeability and Microstructure Evolution Mechanism of the Sliding Zone Soil: A Case Study from the Huangtupo Landslide, Three Gorges Reservoir, China. Journal of Earth Science, 35(3): 941–954. https://doi.org/10.1007/s12583-023-1828-0
    Wang, Y., He, Y., Zhan, J., et al., 2022. Identification of Soil Particle Size Distribution in Different Sedimentary Environments at River Basin Scale by Fractal Dimension. Sci. Rep. , 12(1): 10960. https://doi.org/10.1038/s41598-022-15141-6
    Wen, B. P., Aydin, A., Duzgoren-Aydin, N. S., et al., 2007. Residual Strength of Slip Zones of Large Landslides in the Three Gorges Area, China. Engineering Geology, 93(3/4): 82–98. https://doi.org/10.1016/j.enggeo.2007.05.006
    Wen, B. P., Chen, H. Y., 2007. Mineral Compositions and Elements Concentrations as Indicators for the Role of Groundwater in the Development of Landslide Slip Zones: A Case Study of Large-Scale Landslides in the Three Gorges Area in China. Earth Science Frontiers, 14(6): 98–106. https://doi.org/10.1016/S1872-5791(08)60006-8
    Wen, T., Tang, H. M., Huang, L., et al., 2020. Energy Evolution: A New Perspective on the Failure Mechanism of Purplish-Red Mudstones from the Three Gorges Reservoir Area, China. Engineering Geology, 264(11): 105350. https://doi.org/10.1016/j.enggeo.2019.105350
    Wu, Q., Kulatilake, P. H. S. W., 2012. REV and Its Properties on Fracture System and Mechanical Properties, and an Orthotropic Constitutive Model for a Jointed Rock Mass in a Dam Site in China. Computers and Geotechnics, 43: 124–142. https://doi.org/10.1016/j.compgeo.2012.02.010
    Wu, Q., Liu, Y. X., Tang, H. M., et al., 2023. Experimental Study of the Influence of Wetting and Drying Cycles on the Strength of Intact Rock Samples from a Red Stratum in the Three Gorges Reservoir Area. Engineering Geology, 314: 107013. https://doi.org/10.1016/j.enggeo.2023.107013
    Wu, Y. P., Li, L. W., et al., 2016. Effect of Cyclic Wetting and Drying on the Microstructure of Slip Zone Soils in Huangtupo Landslide. Journal of Engineering Science and Technology Review, 9(4): 209–216. https://doi.org/10.25103/jestr.094.30
    Xiao, X., Wang, S. J., Yang, X., et al., 2023. Experimental Study on Strength Deterioration of Sandy-Clayey Purple Soil in Three Gorges Reservoir Area. Journal of Southwest University (Natural Science Edition), 45(10): 149–159 (in Chinese with English Abstract)
    Xu, S. H., Xu, G. L., Cheng, Y., 2005. Discussion on Normalized Behavior of Stress-Strain Relationship of Cohesive Soil. Bulletin of Geological Science and Technology, 24(S1): 170–172, 176 (in Chinese with English Abstract)
    Yan, J. B., Zou, Z. X., Mu, R., et al., 2022. Evaluating the Stability of Outang Landslide in the Three Gorges Reservoir Area Considering the Mechanical Behavior with Large Deformation of the Slip Zone. Natural Hazards, 112(3): 2523–2547. https://doi.org/10.1007/s11069-022-05276-0
    Yao, W. M., Li, C. D., Zhan, H. B., et al., 2020. Multiscale Study of Physical and Mechanical Properties of Sandstone in Three Gorges Reservoir Region Subjected to Cyclic Wetting-Drying of Yangtze River Water. Rock Mechanics and Rock Engineering, 53(5): 2215–2231. https://doi.org/10.1007/s00603-019-02037-7
    Zhang, J. R., Lin, C. Y., Tang, H. M., et al., 2024. Input-Parameter Optimization Using a SVR Based Ensemble Model to Predict Landslide Displacements in a Reservoir Area—A Comparative Study. Applied Soft Computing, 150: 111107. https://doi.org/10.1016/j.asoc.2023.111107
    Zhang, Y., Kong, L. W., Meng, Q. S., et al., 2006. Normalized Stress-Strain Behavior of Wuhan Soft Clay. Rock and Soil Mechanics, 27(9): 1509–1513, 1518 (in Chinese with English Abstract)
    Zhang, Y., Zhong, X. Y., Lin, J. S., et al., 2020. Effects of Fractal Dimension and Water Content on the Shear Strength of Red Soil in the Hilly Granitic Region of Southern China. Geomorphology, 351: 106956. https://doi.org/10.1016/j.geomorp h.2019.106956 doi: 10.1016/j.geomorph.2019.106956
    Zhou, Z., Zhang, J. M., Ning, F. L., et al., 2020. Strain Hardening Damage Model of Cracked soil During Dry-Wet Circulation Based on Laplace Distribution. Journal of Central South University (Science and Technology), 51(12): 3484–3492 (in Chinese with English Abstract)
    Zhong, H., Vanapalli, S. K., 2017. Normalizing Variation of Stiffness and Shear Strength of Compacted Fine-Grained Soils with Moisture Content. Journal of Geotechnical and Geoenvironmental Engineering, 143(09): 04017058. https://doi.org/10.1061/(asce)gt.1943-5606.000174
    Zhu, R., Cai, Z. Y., Huang, Y. H., et al., 2022. Effects of Wetting-Drying-Freezing-Thawing Cycles on Mechanical Behaviors of Expansive Soil. Cold Regions Science and Technology, 193: 103422. https://doi.org/10.1016/j.coldregions.2021.103422
    Zou, Z. X., Luo, T., Zhang, S., et al., 2023. A Novel Method to Evaluate the Time-Dependent Stability of Reservoir Landslides: Exemplified by Outang Landslide in the Three Gorges Reservoir. Landslides, 20(8): 1731–1746. https://doi.org/10.100 7/s10346-023-02056-0 doi: 10.1007/s10346-023-02056-0
    Zou, Z. X., Yan, J. B., Tang, H. M., et al., 2020. A Shear Constitutive Model for Describing the Full Process of the Deformation and Failure of Slip Zone Soil. Engineering Geology, 276: 105766. https://doi.org/10.1016/j.enggeo.2020.105766
  • 加载中

Catalog

    通讯作者: 陈斌, bchen63@163.com
    • 1. 

      沈阳化工大学材料科学与工程学院 沈阳 110142

    1. 本站搜索
    2. 百度学术搜索
    3. 万方数据库搜索
    4. CNKI搜索

    Figures(13)  / Tables(1)

    Article Metrics

    Article views(310) PDF downloads(18) Cited by()
    Proportional views
    Related

    /

    DownLoad:  Full-Size Img  PowerPoint
    Return
    Return