Advanced Search

Indexed by SCI、CA、РЖ、PA、CSA、ZR、etc .

Volume 37 Issue 1
Feb 2026
Turn off MathJax
Article Contents
Ruiqi Chen, Wenjie Xu, Yingtao Hu, Yunmin Chen, Jinlong Li, Duanyang Zhuang. Feasibility Analysis of Hypergravity Experiment of Density-Driven Convection of Dissolved CO2. Journal of Earth Science, 2026, 37(1): 125-136. doi: 10.1007/s12583-024-0030-3
Citation: Ruiqi Chen, Wenjie Xu, Yingtao Hu, Yunmin Chen, Jinlong Li, Duanyang Zhuang. Feasibility Analysis of Hypergravity Experiment of Density-Driven Convection of Dissolved CO2. Journal of Earth Science, 2026, 37(1): 125-136. doi: 10.1007/s12583-024-0030-3

Feasibility Analysis of Hypergravity Experiment of Density-Driven Convection of Dissolved CO2

doi: 10.1007/s12583-024-0030-3
More Information
  • Corresponding author: Wenjie Xu, wenjiexu@zju.edu.cn
  • Received Date: 29 Feb 2024
  • Accepted Date: 30 May 2024
  • Available Online: 13 Feb 2026
  • Issue Publish Date: 28 Feb 2026
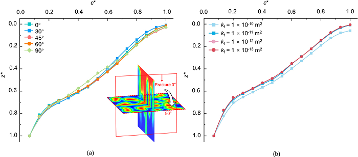
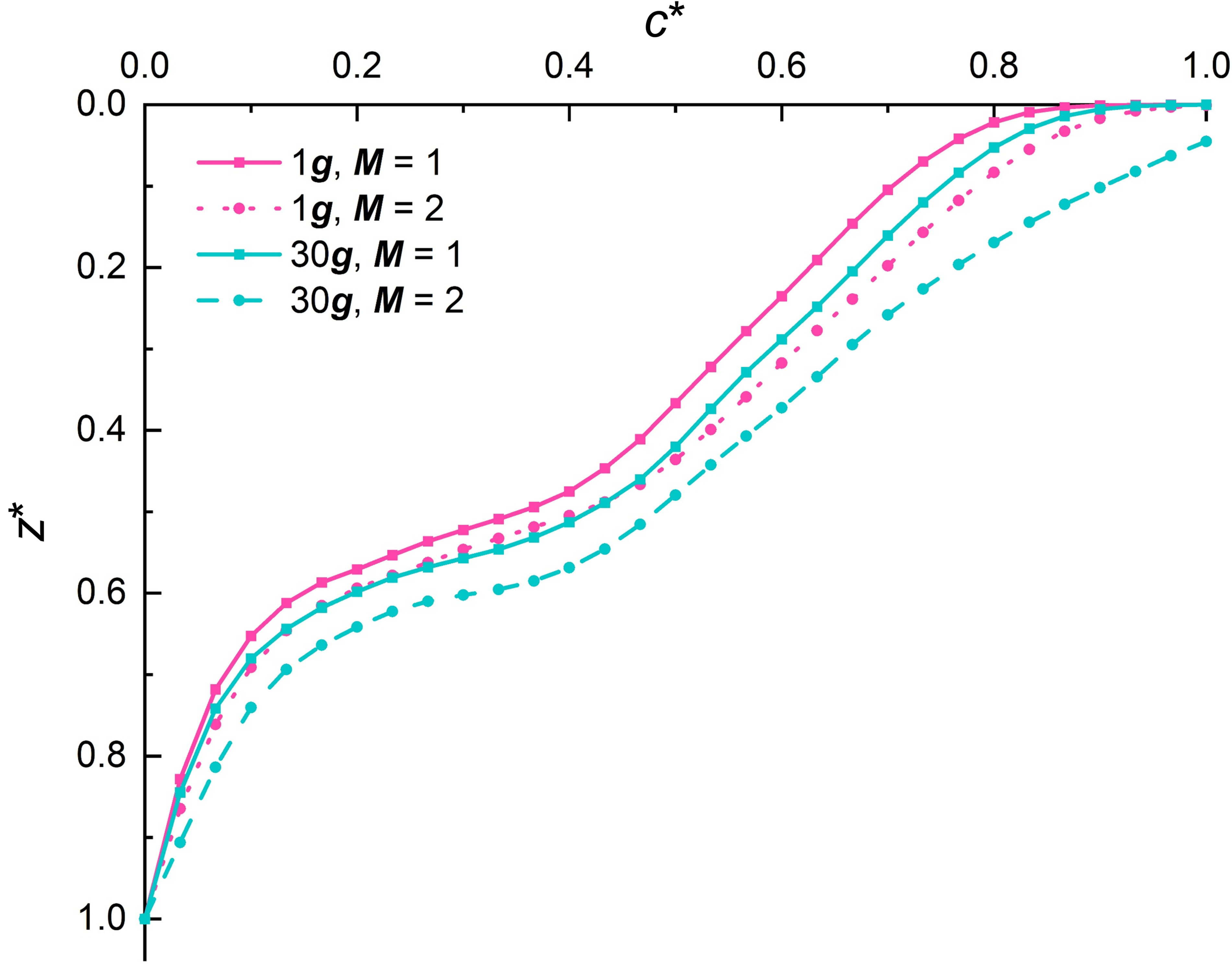
  • Dissolution trapping is one of the most promising mechanisms for safe geological carbon storage. Density-driven convection substantially accelerates the conversion of free-phase CO2 to the dissolved state, enhancing the sequestration safety. Since this process occurs on time scales of hundreds to thousands of years, reproducing it through conventional laboratory physical model tests is challenging. The hypergravity experiment reduces the model size and shortens the experimental time, enabling the modeling of gravity-driven flow processes at the field scale. However, it is uncertain whether the preferential flow effect caused by fractures can be reproduced in a hypergravity experiment. In this study, a three-dimensional discrete fracture-matrix model (3D-DFM) was used to evaluate the feasibility of hypergravity experiment of the transport of dissolved CO2 in fractured reservoirs. Numerical hypergravity tests were performed to examine the feasibility of modeling density-driven convection in homogeneous and heterogeneous media at different centrifuge accelerations. The hypergravity experiment can be used to study density-driven convection of dissolved CO2 at the field scale in homogeneous system. The numerical results show that the hypergravity experiment enables a faster breakthrough of plume and overestimates CO2 migration in the matrix surrounding the fractures.

     

  • Conflict of Interest
    The authors declare that they have no conflict of interest.
  • loading
  • Agartan, E., Illangasekare, T. H., Vargas-Johnson, J., et al., 2020. Experimental Investigation of Assessment of the Contribution of Heterogeneous Semi-Confining Shale Layers on Mixing and Trapping of Dissolved CO2 in Deep Geologic Formations. International Journal of Greenhouse Gas Control, 93: 102888. https://doi.org/10.1016/j.ijggc.2019.102888
    Ali, M., Jha, N. K., Pal, N., et al., 2022. Recent Advances in Carbon Dioxide Geological Storage, Experimental Procedures, Influencing Parameters, and Future Outlook. Earth-Science Reviews, 225: 103895. https://doi.org/10.1016/j.earscirev.2021.103895
    Amann-Hildenbrand, A., Bertier, P., Busch, A., et al., 2013. Experimental Investigation of the Sealing Capacity of Generic Clay-Rich Caprocks. International Journal of Greenhouse Gas Control, 19: 620–641. https://doi.org/10.1016/j.ijggc.2013.01.040
    Celia, M. A., Bachu, S., Nordbotten, J. M., et al., 2015. Status of CO2 Storage in Deep Saline Aquifers with Emphasis on Modeling Approaches and Practical Simulations. Water Resources Research, 51(9): 6846–6892. https://doi.org/10.1002/2015wr017609
    Chen, R., Chen, Y., Xu, W., et al., 2022. The Influence of the Hypergravity Field during Bubble Ripening in Porous Media. Geophysical Research Letters, 49(10): e2021GL097005. https://doi.org/10.1029/2021gl097005
    Culligan, P. J., Banno, K., Barry, D. A., et al., 2002. Preferential Flow of a Nonaqueous Phase Liquid in Dry Sand. Journal of Geotechnical and Geoenvironmental Engineering, 128(4): 327–337. https://doi.org/10.1061/(asce)1090-0241(2002)128:4(327)
    Culligan, P. J., Barry, D. A., 1998. Similitude Requirements for Modelling NAPL Movement with a Geotechnical Centrifuge. Proceedings of the Institution of Civil Engineers: Geotechnical Engineering, 131(3): 180–186. https://doi.org/10.1680/igeng.1998.30474
    Culligan, P. J., Barry, D. A., Parlange, J. Y., 1997. Scaling Unstable Infiltration in the Vadose Zone. Canadian Geotechnical Journal, 34(3): 466–470. https://doi.org/10.1139/t97-005
    De Paoli, M., 2021. Influence of Reservoir Properties on the Dynamics of a Migrating Current of Carbon Dioxide. Physics of Fluids, 33: 016602. https://doi.org/10.1063/5.0031632
    Diersch, H. J. G., Kolditz, O., 2002. Variable-Density Flow and Transport in Porous Media: Approaches and Challenges. Advances in Water Resources, 25(8/9/10/11/12): 899–944. https://doi.org/10.1016/S0309-1708(02)00063-5
    Emami-Meybodi, H., Hassanzadeh, H., Green, C. P., et al., 2015. Convective Dissolution of CO2 in Saline Aquifers: Progress in Modeling and Experiments. International Journal of Greenhouse Gas Control, 40: 238–266. https://doi.org/10.1016/j.ijggc.2015.04.003
    Ennis-King, J., Paterson, L., 2005. Role of Convective Mixing in the Long-Term Storage of Carbon Dioxide in Deep Saline Formations. SPE Journal, 10(3): 349–356. https://doi.org/10.2118/84344-pa
    Faisal, T. F., Chevalier, S., Bernabe, Y., et al., 2015. Quantitative and Qualitative Study of Density Driven CO2 Mass Transfer in a Vertical Hele-Shaw Cell. International Journal of Heat and Mass Transfer, 81: 901–914. https://doi.org/10.1016/j.ijheatmasstransfer.2014.11.017
    Farajzadeh, R., Ranganathan, P., Zitha, P. L. J., et al., 2011. The Effect of Heterogeneity on the Character of Density-Driven Natural Convection of CO2 Overlying a Brine Layer. Advances in Water Resources, 34(3): 327–339. https://doi.org/10.1016/j.advwatres.2010.12.012
    Gilfillan, S. M. V., Lollar, B. S., Holland, G., et al., 2009. Solubility Trapping in Formation Water as Dominant CO2 Sink in Natural Gas Fields. Nature, 458(7238): 614–618. https://doi.org/10.1038/nature07852
    Graf, T., Therrien, R., 2007. Variable-Density Groundwater Flow and Solute Transport in Irregular 2D Fracture Networks. Advances in Water Resources, 30(3): 455–468. https://doi.org/10.1016/j.advwatres.2006.05.003
    Graf, T., Therrien, R., 2005. Variable-Density Groundwater Flow and Solute Transport in Porous Media Containing Nonuniform Discrete Fractures. Advances in Water Resources, 28(12): 1351–1367. https://doi.org/10.1016/j.advwatres.2005.04.011
    Guo, R. C., Sun, H. X., Wang, H. S., et al., 2023. Using 3D-Printed Fluidics to Study the Role of Permeability Heterogeneity on Miscible Density-Driven Convection in Porous Media. Advances in Water Resources, 178: 104496. https://doi.org/10.1016/j.advwatres.2023.104496
    Guo, R. C., Sun, H. X., Zhao, Q. Q., et al., 2021. A Novel Experimental Study on Density-Driven Instability and Convective Dissolution in Porous Media. Geophysical Research Letters, 48(23): e2021GL095619. https://doi.org/10.1029/2021GL095619
    Gurumoorthy, C., Singh, D. N., 2005. Centrifuge Modeling of Diffusion through Rock Mass. Journal of Testing and Evaluation, 33(1): 44–50. https://doi.org/10.1520/jte11434
    Hu, Y. T., Xu, W. J., Chen, Y. M., et al., 2024. Experimental Study on the Influence of Hypergravity on the Nonlinear Flow Behaviour in Rock Fracture. Rock Mechanics and Rock Engineering, 57(2): 961–978. https://doi.org/10.1007/s00603-023-03589-5
    Hu, Y. T., Xu, W. J., Zhan, L. T., et al., 2022. Modeling of Solute Transport in a Fracture-Matrix System with a Three-Dimensional Discrete Fracture Network. Journal of Hydrology, 605: 127333. https://doi.org/10.1016/j.jhydrol.2021.127333
    Hyman, J. D., Karra, S., Makedonska, N., et al., 2015. DfnWorks: A Discrete Fracture Network Framework for Modeling Subsurface Flow and Transport. Computers & Geosciences, 84: 10–19. https://doi.org/10.1016/j.cageo.2015.08.001
    Iding, M., Blunt, M. J., 2011. Enhanced Solubility Trapping of CO2 in Fractured Reservoirs. Energy Procedia, 4: 4961–4968. https://doi.org/10.1016/j.egypro.2011.02.466
    Iding, M., Ringrose, P., 2010. Evaluating the Impact of Fractures on the Performance of the in Salah CO2 Storage Site. International Journal of Greenhouse Gas Control, 4(2): 242–248. https://doi.org/10.1016/j.ijggc.2009.10.016
    Kim, M., Kim, K. Y., Han, W. S., et al., 2019. Density-Driven Convection in a Fractured Porous Media: Implications for Geological CO2 Storage. Water Resources Research, 55(7): 5852–5870. https://doi.org/10.1029/2019WR024822
    Kneafsey, T. J., Pruess, K., 2010. Laboratory Flow Experiments for Visualizing Carbon Dioxide-Induced, Density-Driven Brine Convection. Transport in Porous Media, 82(1): 123–139. https://doi.org/10.1007/s11242-009-9482-2
    Kolditz, O., Görke, U. -J., Shao, H., et al., 2012a. Thermo-Hydro-Mechanical-Chemical Processes in Porous Media: Benchmarks and Examples. Springer, Berlin, Heidelberg. https://doi.org/10.1007/978-3-642-27177-9
    Kolditz, O., Görke, U. -J., Shao, H., et al., 2012b. Thermo-Hydro-Mechanical-Chemical Processes in Fractured Porous Media. Lecture Notes in Computational Science and Engineering, 86: 1–6. https://doi.org/10.1007/978-3-642-27177-9_1
    Kolditz, O., Ratke, R., Diersch, H. G., et al., 1998. Coupled Groundwater Flow and Transport: 1. Verification of Variable Density Flow and Transport Models. Advances in Water Resources, 21(1): 27–46. https://doi.org/10.1016/S0309-1708(96)00034-6
    Krevor, S., Blunt, M. J., Benson, S. M., et al., 2015. Capillary Trapping for Geologic Carbon Dioxide Storage: From Pore Scale Physics to Field Scale Implications. International Journal of Greenhouse Gas Control, 40: 221–237. https://doi.org/10.1016/j.ijggc.2015.04.006
    Krevor, S., de Coninck, H., Gasda, S. E., et al., 2023. Subsurface Carbon Dioxide and Hydrogen Storage for a Sustainable Energy Future. Nature Reviews Earth & Environment, 4(2): 102–118. https://doi.org/10.1038/s43017-022-00376-8
    Krevor, S. C. M., Pini, R., Zuo, L., et al., 2012. Relative Permeability and Trapping of CO2 and Water in Sandstone Rocks at Reservoir Conditions. Water Resources Research, 48(2): 2011WR010859. https://doi.org/10.1029/2011WR010859
    Kumar, R. P., Singh, D. N., 2012. Geotechnical Centrifuge Modeling of Chloride Diffusion through Soils. International Journal of Geomechanics, 12(3): 327–332. https://doi.org/10.1061/(asce)gm.1943-5622.0000139
    Levy, L. C., Culligan, P. J., Germaine, J. T., 2002. Use of the Geotechnical Centrifuge as a Tool to Model Dense Nonaqueous Phase Liquid Migration in Fractures. Water Resources Research, 38(8): 34-1–34-12. https://doi.org/10.1029/2001WR000660
    Li, Y. Y., Zhang, Z. W., 2025. Stability Assessment of CO2 Geological Storage Based on a Fracture Network Model. Earth Science. https://doi.org/10.3799/dqkx.2025.240 (in Chinese with Abstract)
    Ma, G. W., Li, T., Wang, Y., et al., 2019. Numerical Simulations of Nuclide Migration in Highly Fractured Rock Masses by the Unified Pipe-Network Method. Computers and Geotechnics, 111: 261–276. https://doi.org/10.1016/j.compgeo.2019.03.024
    Mahyapour, R., Mahmoodpour, S., Singh, M., et al., 2022. Effect of Permeability Heterogeneity on the Dissolution Process during Carbon Dioxide Sequestration in Saline Aquifers: Two-and Three-Dimensional Structures. Geomechanics and Geophysics for Geo-Energy and Geo-Resources, 8(2): 70. https://doi.org/10.1007/s40948-022-00377-3
    March, R., Doster, F., Geiger, S., 2018. Assessment of CO2 Storage Potential in Naturally Fractured Reservoirs with Dual-Porosity Models. Water Resources Research, 54(3): 1650–1668. https://doi.org/10.1002/2017WR022159
    Michel-Meyer, I., Shavit, U., Tsinober, A., et al., 2020. The Role of Water Flow and Dispersive Fluxes in the Dissolution of CO2 in Deep Saline Aquifers. Water Resources Research, 56(11): e2020WR028184. https://doi.org/10.1029/2020WR028184
    Neufeld, J. A., Hesse, M. A., Riaz, A., et al., 2010. Convective Dissolution of Carbon Dioxide in Saline Aquifers. Geophysical Research Letters, 37(22): 2010GL044728. https://doi.org/10.1029/2010gl044728
    Nordbotten, J. M., Celia, M. A., Bachu, S., 2005. Injection and Storage of CO2 in Deep Saline Aquifers: Analytical Solution for CO2 Plume Evolution during Injection. Transport in Porous Media, 58(3): 339–360. https://doi.org/10.1007/s11242-004-0670-9
    Pau, G. S. H., Bell, J. B., Pruess, K., et al., 2010. High-Resolution Simulation and Characterization of Density-Driven Flow in CO2 Storage in Saline Aquifers. Advances in Water Resources, 33(4): 443–455. https://doi.org/10.1016/j.advwatres.2010.01.009
    Rezk, M. G., Foroozesh, J., 2019. Study of Convective-Diffusive Flow during CO2 Sequestration in Fractured Heterogeneous Saline Aquifers. Journal of Natural Gas Science and Engineering, 69: 102926. https://doi.org/10.1016/j.jngse.2019.102926
    Schofield, A. N., 1980. Cambridge Geotechnical Centrifuge Operations. Géotechnique, 30(3): 227–268. https://doi.org/10.1680/geot.1980.30.3.227
    Sheng, D. N., Wang, H. M., Sheng, J. C., et al., 2025. Effect of Random Fracture Network Orientations on Sealing Performance of Caprock in CO2 Geological Sequestration. Earth Science, 50(1): 349–360. https://doi.org/10.3799/dqkx.2023.192 (in Chinese with Abstract)
    Sherman, T., Hyman, J., Dentz, M., et al., 2020. Characterizing the Influence of Fracture Density on Network Scale Transport. Journal of Geophysical Research: Solid Earth, 125(1): e2019JB018547. https://doi.org/10.1029/2019JB018547
    Shikaze, S. G., Sudicky, E. A., Schwartz, F. W., 1998. Density-Dependent Solute Transport in Discretely-Fractured Geologic Media: Is Prediction Possible? Journal of Contaminant Hydrology, 34(3): 273–291. https://doi.org/10.1016/S0169-7722(98)00080-1
    Singh, D. N., Gupta, A. K., 2000. Modelling Hydraulic Conductivity in a Small Centrifuge. Canadian Geotechnical Journal, 37(5): 1150–1155. https://doi.org/10.1139/cgj-37-5-1150
    Soga, K., Kawabata, J., Kechavarzi, C., et al., 2003. Centrifuge Modeling of Nonaqueous Phase Liquid Movement and Entrapment in Unsaturated Layered Soils. Journal of Geotechnical and Geoenvironmental Engineering, 129(2): 173–182. https://doi.org/10.1061/(asce)1090-0241(2003)129:2(173)
    Vujević, K., Graf, T., 2015. Combined Inter- and Intra-Fracture Free Convection in Fracture Networks Embedded in a Low-Permeability Matrix. Advances in Water Resources, 84: 52–63. https://doi.org/10.1016/j.advwatres.2015.07.014
    Vujević, K., Graf, T., Simmons, C. T., et al., 2014. Impact of Fracture Network Geometry on Free Convective Flow Patterns. Advances in Water Resources, 71: 65–80. https://doi.org/10.1016/j.advwatres.2014.06.001
    Wang, S. J., Cheng, Z. C., Zhang, Y., et al., 2021. Unstable Density-Driven Convection of CO2 in Homogeneous and Heterogeneous Porous Media with Implications for Deep Saline Aquifers. Water Resources Research, 57(3): e2020WR028132. https://doi.org/10.1029/2020WR028132
    Xu, C. S., Dowd, P., 2010. A New Computer Code for Discrete Fracture Network Modelling. Computers & Geosciences, 36(3): 292–301. https://doi.org/10.1016/j.cageo.2009.05.012
    Xu, W. J., Chen, R. Q., Hu, Y. T., et al., 2024. Effects of Roughness on Density-Driven Convection of Dissolved CO2 in Discrete Fracture-Matrix System. Computers and Geotechnics, 166: 105996. https://doi.org/10.1016/j.compgeo.2023.105996
    Xu, W. J., Hu, Y. T., Chen, Y. M., et al., 2023. Hyper-Gravity Experiment of Solute Transport in Fractured Rock and Evaluation Method for Long-Term Barrier Performance. Rock Mechanics Bulletin, 2(3): 100042. https://doi.org/10.1016/j.rockmb.2023.100042
    Yang, C. D., Gu, Y. A., 2006. Accelerated Mass Transfer of CO2 in Reservoir Brine Due to Density-Driven Natural Convection at High Pressures and Elevated Temperatures. Industrial & Engineering Chemistry Research, 45(8): 2430–2436. https://doi.org/10.1021/ie050497r
    Yang, G. D., Li, Y. L., Atrens, A., et al., 2017. Reactive Transport Modeling of Long-Term CO2 Sequestration Mechanisms at the Shenhua CCS Demonstration Project, China. Journal of Earth Science, 28(3): 457–472. https://doi.org/10.1007/s12583-016-0919-6
    Zhan, L. T., Hu, Y. T., Zou, L. C., et al., 2022. Effects of Multiscale Heterogeneity on Transport in Three-Dimensional Fractured Porous Rock with a Rough-Walled Fracture Network. Computers and Geotechnics, 148: 104836. https://doi.org/10.1016/j.compgeo.2022.104836
  • 加载中

Catalog

    通讯作者: 陈斌, bchen63@163.com
    • 1. 

      沈阳化工大学材料科学与工程学院 沈阳 110142

    1. 本站搜索
    2. 百度学术搜索
    3. 万方数据库搜索
    4. CNKI搜索

    Figures(10)  / Tables(1)

    Article Metrics

    Article views(203) PDF downloads(6) Cited by()
    Proportional views
    Related

    /

    DownLoad:  Full-Size Img  PowerPoint
    Return
    Return