Advanced Search

Indexed by SCI、CA、РЖ、PA、CSA、ZR、etc .

Volume 37 Issue 1
Feb 2026
Turn off MathJax
Article Contents
Xiaoyu Jiao, Zhiwen Dong, Xiang Qin, Xiaoxiang Wang, Yaping Shao. Spatial Distribution and Release Flux of Carbon and Nitrogen Components in Glacial Watersheds of Eastern Tibetan Plateau. Journal of Earth Science, 2026, 37(1): 269-279. doi: 10.1007/s12583-024-0080-6
Citation: Xiaoyu Jiao, Zhiwen Dong, Xiang Qin, Xiaoxiang Wang, Yaping Shao. Spatial Distribution and Release Flux of Carbon and Nitrogen Components in Glacial Watersheds of Eastern Tibetan Plateau. Journal of Earth Science, 2026, 37(1): 269-279. doi: 10.1007/s12583-024-0080-6

Spatial Distribution and Release Flux of Carbon and Nitrogen Components in Glacial Watersheds of Eastern Tibetan Plateau

doi: 10.1007/s12583-024-0080-6
More Information
  • Corresponding author: Zhiwen Dong, dongzhiwen@lzb.ac.cn; Xiang Qin, qinxiang@lzb.ac.cn
  • Received Date: 20 Jul 2024
  • Accepted Date: 23 Sep 2024
  • Available Online: 13 Feb 2026
  • Issue Publish Date: 28 Feb 2026
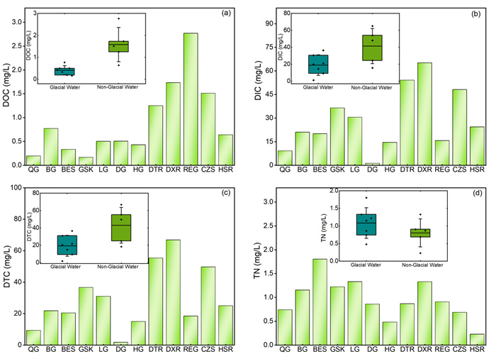
  • The carbon cycle stands as a cornerstone among the Earth's material cycles, carrying profound implications for global climate dynamics and humanity's sustenance and advancement. Additionally, nitrogen, as a vital nutrient element, plays a pivotal role in biogeochemical processes, exerting significant influence on the ecological environment within watersheds. In this study, an analysis of the carbon (C) and nitrogen (N) components in the river water of 12 alpine basins on the eastern margin of the Tibetan Plateau (TP) reveals that the average dissolved organic carbon (DOC) concentration in the river water is 0.76 ± 0.67 mg/L, indicating a lower level compared to the global river average organic carbon content. Specifically, the average DOC concentrations were 0.42 ± 0.22 and 1.56 ± 0.68 mg/L in the glacial and non-glacial basins, respectively. The average dissolved inorganic carbon (DIC) concentration in the eastern TP is 27.04 ± 20.19 mg/L, with the lowest DIC observed at Dagu Glacier and the highest at Daxia River. Furthermore, the average dissolved total carbon (DTC) concentration in glacier river water was 18.87 ± 12.65 mg/L, contrasting with 48.23 ± 21.07 mg/L in non-glacial basins. The mean concentration of total nitrogen (TN) in the eastern TP averaged 0.97 ± 0.54 mg/L, with the glacial basin registering 1.01 ± 0.47 mg/L and the non-glacial basin at 0.89 ± 0.70 mg/L. Evaluating the release fluxes of carbon and nitrogen across 12 river basins revealed a range of DTC emission fluxes from 0.32 × 109 to 31.02 × 109 g·C/a, with inorganic carbon comprising 71.0% to 99.5%. Consequently, the carbon emission flux for seven glacier basins totaled 15.91 × 109 g·C/a, while for the five non-glacial river basins, it reached 87.37× 109 g·C/a. The total TN release fluxes across 12 small river basins amounted to 2.46 × 109 g·N/a, with 0.84 × 109 g·N/a released in glacial basins and 1.62 × 109 g·N/a in the non-glacial basin. This study elucidates the spatial distribution and transport mechanisms of carbon and nitrogen elements within the glacial and downstream non-glacial basins, offering valuable insights into the biogeochemical cycles of carbon and nitrogen in the eastern Tibetan Plateau.

     

  • Conflict of Interest
    The authors declare that they have no conflict of interest.
  • loading
  • Adhikari, N. P., Adhikari, S., Liu, X. B., et al., 2019. Bacterial Diversity in Alpine Lakes: A Review from the Third Pole Region. Journal of Earth Science, 30(2): 387–396. https://doi.org/10.1007/s12583-018-1206-5
    Aiken, G. R., Spencer, R. G. M., Striegl, R. G., et al., 2014. Influences of Glacier Melt and Permafrost Thaw on the Age of Dissolved Organic Carbon in the Yukon River Basin. Global Biogeochemical Cycles, 28(5): 525–537. https://doi.org/10.1002/2013GB004764
    Bao, Y. F., 2019. The Study of Hydro Chemical Characteristics and Carbon in the Yarlung Zangbo River Basin: [Dissertation]. China Institute of Water Resources and Hydropower Research, Beijing (in Chinese with English Abstract)
    Bauer, J. E., Cai, W. J., Raymond, P. A., et al., 2013. The Changing Carbon Cycle of the Coastal Ocean. Nature, 504(7478): 61–70. https://doi.org/10.1038/nature12857
    Beaulieu, E., Goddéris, Y., Donnadieu, Y., et al., 2012. High Sensitivity of the Continental-Weathering Carbon Dioxide Sink to Future Climate Change. Nature Climate Change, 2(5): 346–349. https://doi.org/10.1038/nclimate1419
    Bousquet, P., Peylin, P., Ciais, P., et al., 2000. Regional Changes in Carbon Dioxide Fluxes of Land and Oceans since 1980. Science, 290(5495): 1342–1346. https://doi.org/10.1126/science.290.5495.1342
    Bowden, W. B., Gooseff, M. N., Balser, A., et al., 2008. Sediment and Nutrient Delivery from Thermokarst Features in the Foothills of the North Slope, Alaska: Potential Impacts on Headwater Stream Ecosystems. Journal of Geophysical Research: Biogeosciences, 113(G2): G02026. https://doi.org/10.1029/2007JG000470
    Brunet, F., Gaiero, D., Probst, J. L., et al., 2005. δ13C Tracing of Dissolved Inorganic Carbon Sources in Patagonian Rivers (Argentina). Hydrological Processes, 19(17): 3321–3344. https://doi.org/10.1002/hyp.5973
    Canadell, M. B., Escoffier, N., Ulseth, A. J., et al., 2019. Alpine Glacier Shrinkage Drives Shift in Dissolved Organic Carbon Export from Quasi-Chemostasis to Transport Limitation. Geophysical Research Letters, 46(15): 8872–8881. https://doi.org/10.1029/2019GL083424
    Frey, K. E., McClelland, J. W., Holmes, R. M., et al., 2007. Impacts of Climate Warming and Permafrost Thaw on the Riverine Transport of Nitrogen and Phosphorus to the Kara Sea. Journal of Geophysical Research: Biogeosciences, 112(G4): 2006JG000369. https://doi.org/10.1029/2006JG000369
    Gao, L., Gao, Y. Q., Song, S. Z., et al., 2020. Non-Conservative Behavior of Dissolved Organic Carbon in the Changjiang (Yangtze River) Estuary and the Adjacent East China Sea. Continental Shelf Research, 197: 104084. https://doi.org/10.1016/j.csr.2020.104084
    Gou, J. J., Miao, C. Y., Duan, Q. Y., et al., 2020. Sensitivity Analysis-Based Automatic Parameter Calibration of the VIC Model for Streamflow Simulations over China. Water Resources Research, 56(1): e2019WR025968. https://doi.org/10.1029/2019WR025968
    Hood, E., Fellman, J., Spencer, R. G. M., et al., 2009. Glaciers as a Source of Ancient and Labile Organic Matter to the Marine Environment. Nature, 462(7276): 1044–1047. https://doi.org/10.1038/nature08580
    Hood, E., Scott, D., 2008. Riverine Organic Matter and Nutrients in Southeast Alaska Affected by Glacial Coverage. Nature Geoscience, 1(9): 583–587. https://doi.org/10.1038/ngeo280
    Houser, J. N., Mulholland, P. J., Maloney, K. O., 2006. Upland Disturbance Affects Headwater Stream Nutrients and Suspended Sediments during Baseflow and Stormflow. Journal of Environmental Quality, 35(1): 352–365. https://doi.org/10.2134/jeq2005.0102
    Hu, A., Han, L., Lu, X. C., et al., 2025. Global Patterns and Drivers of Dissolved Organic Matter across Earth Systems: Insights from H/C and O/C Ratios. Fundamental Research, 5(5): 2121–2132. https://doi.org/10.1016/j.fmre.2023.11.018
    Huang, T. H., Fu, Y. H., Pan, P. Y., et al., 2012. Fluvial Carbon Fluxes in Tropical Rivers. Current Opinion in Environmental Sustainability, 4(2): 162–169. https://doi.org/10.1016/j.cosust.2012.02.004
    Ji, H. M., Ren, Z. K., Liu, J. R., 2024. Review of Structural Deformation in the Upper Crust of the Southeastern Margin of the Tibetan Plateau since the Late Cenozoic. Earth Science, 49(2): 480–499. https://doi.org/10.3799/dqkx.2023.160 (in Chinese with English Abstract)
    Khadka, M. B., Martin, J. B., Jin, J., 2014. Transport of Dissolved Carbon and CO2 Degassing from a River System in a Mixed Silicate and Carbonate Catchment. Journal of Hydrology, 513: 391–402. https://doi.org/10.1016/j.jhydrol.2014.03.070
    Li, S. L., Liu, C. Q., Li, J., et al., 2010. Geochemistry of Dissolved Inorganic Carbon and Carbonate Weathering in a Small Typical Karstic Catchment of Southwest China: Isotopic and Chemical Constraints. Chemical Geology, 277(3/4): 301–309. https://doi.org/10.1016/j.chemgeo.2010.08.013
    Li, S. Y., Lu, X. X., Bush, R. T., 2013. CO2 Partial Pressure and CO2 Emission in the Lower Mekong River. Journal of Hydrology, 504: 40–56. https://doi.org/10.1016/j.jhydrol.2013.09.024
    Liu, D., Wang, T., Liu, X. Y., et al., 2023. Source, Pattern and Flux of Dissolved Carbon in an Alpine Headwater Catchment on the Eastern Tibetan Plateau. Hydrological Processes, 37(7): e14941. https://doi.org/10.1002/hyp.14941
    Liu, Q. Y., Liang, Y. T., Cai, W. J., et al., 2020. Changing Riverine Organic C: N Ratios along the Pearl River: Implications for Estuarine and Coastal Carbon Cycles. Science of the Total Environment, 709: 136052. https://doi.org/10.1016/j.scitotenv.2019.136052
    Liu, X. L., Dong, Z. W., Baccolo, G., et al., 2023. Distribution, Composition and Risk Assessment of PAHs and PCBS in Cryospheric Watersheds of the Eastern Tibetan Plateau. Science of the Total Environment, 890: 164234. https://doi.org/10.1016/j.scitotenv.2023.164234
    Liu, Z. X., Wang, J., Cui, P., et al., 2025. Experimental Study on Response of Strength Characteristics of Glacier Tills to Temperature in Southeast Tibet. Earth Science, 50(1): 322–335. https://doi.org/10.3799/dqkx.2023.015 (in Chinese with English Abstract)
    Lloret, E., Dessert, C., Buss, H. L., et al., 2016. Sources of Dissolved Organic Carbon in Small Volcanic Mountainous Tropical Rivers, Examples from Guadeloupe (French West Indies). Geoderma, 282: 129–138. https://doi.org/10.1016/j.geoderma.2016.07.014
    Ludwig, W., Probst, J. L., Kempe, S., 1996. Predicting the Oceanic Input of Organic Carbon by Continental Erosion. Global Biogeochemical Cycles, 10(1): 23–41. https://doi.org/10.1029/95GB02925
    Lyu, S. C., Yu, Q. B., Wang, F., et al., 2019. A Synthetic Model to Quantify Dissolved Organic Carbon Transport in the Changjiang River System: Model Structure and Spatiotemporal Patterns. Journal of Advances in Modeling Earth Systems, 11(9): 3024–3041. https://doi.org/10.1029/2019MS001648
    Meybeck, M., 1982. Carbon, Nitrogen, and Phosphorus Transport by World Rivers. American Journal of Science, 282(4): 401–450. https://doi.org/10.2475/ajs.282.4.401
    Miao, C. Y., Gou, J. J., Fu, B. J., et al., 2022. High-Quality Reconstruction of China's Natural Streamflow. Science Bulletin, 67(5): 547–556. https://doi.org/10.1016/j.scib.2021.09.022
    Moyer, R. P., Powell, C. E., Gordon, D. J., et al., 2015. Abundance, Distribution, and Fluxes of Dissolved Organic Carbon (DOC) in Four Small Sub-Tropical Rivers of the Tampa Bay Estuary (Florida, USA). Applied Geochemistry, 63: 550–562. https://doi.org/10.1016/j.apgeochem.2015.05.004
    Petrone, K. C., Jones, J. B., Hinzman, L. D., et al., 2006. Seasonal Export of Carbon, Nitrogen, and Major Solutes from Alaskan Catchments with Discontinuous Permafrost. Journal of Geophysical Research: Biogeosciences, 111(G2): G02020. https://doi.org/10.1029/2005JG000055
    Probst, J. L., Mortatti, J., Tardy, Y., 1994. Carbon River Fluxes and Weathering CO2 Consumption in the Congo and Amazon River Basins. Applied Geochemistry, 9(1): 1–13. https://doi.org/10.1016/0883-2927(94)90047-7
    Qu, B., Zhang, Y. L., Kang, S. C., et al., 2019. Water Quality in the Tibetan Plateau: Major Ions and Trace Elements in Rivers of the "Water Tower of Asia". Science of the Total Environment, 649: 571–581. https://doi.org/10.1016/j.scitotenv.2018.08.316
    Reiman, J. H., Xu, Y. J., 2019. Dissolved Carbon Export and CO2 Outgassing from the Lower Mississippi River: Implications of Future River Carbon Fluxes. Journal of Hydrology, 578: 124093. https://doi.org/10.1016/j.jhydrol.2019.124093
    Singer, G. A., Fasching, C., Wilhelm, L., et al., 2012. Biogeochemically Diverse Organic Matter in Alpine Glaciers and Its Downstream Fate. Nature Geoscience, 5(10): 710–714. https://doi.org/10.1038/ngeo1581
    Song, C. L., Wang, G. X., Mao, T. X., et al., 2020. Spatiotemporal Variability and Sources of DIC in Permafrost Catchments of the Yangtze River Source Region: Insights from Stable Carbon Isotope and Water Chemistry. Water Resources Research, 56(1): e2019WR025343. https://doi.org/10.1029/2019WR025343
    Steinberg, D. K., Landry, M. R., 2017. Zooplankton and the Ocean Carbon Cycle. Annual Review of Marine Science, 9(1): 413–444. https://doi.org/10.1146/annurev-marine-010814-015924
    Tank, S. E., Frey, K. E., Striegl, R. G., et al., 2012. Landscape-Level Controls on Dissolved Carbon Flux from Diverse Catchments of the Circumboreal. Global Biogeochemical Cycles, 26(4): GB0E02. https://doi.org/10.1029/2012GB004299
    Walvoord, M. A., Striegl, R. G., 2007. Increased Groundwater to Stream Discharge from Permafrost Thawing in the Yukon River Basin: Potential Impacts on Lateral Export of Carbon and Nitrogen. Geophysical Research Letters, 34(12): L12402. https://doi.org/10.1029/2007GL030216
    Wang, H., Xiong, X., Wang, K. H., et al., 2023. The Effects of Land Use on Water Quality of Alpine Rivers: A Case Study in Qilian Mountain, China. Science of the Total Environment, 875: 162696. https://doi.org/10.1016/j.scitotenv.2023.162696
    Wang, L. Q., Han, X. X., Zhang, Y. Y., et al., 2023. Impacts of Land Uses on Spatio-Temporal Variations of Seasonal Water Quality in a Regulated River Basin, Huai River, China. Science of the Total Environment, 857: 159584. https://doi.org/10.1016/j.scitotenv.2022.159584
    Wei, X. G., 2003. Study on Riverine Carbon Flux and Erosion of Zhujiang (Pearl) River Drainage Basin: [Dissertation]. Guangzhou Institute of Geochemistry, Chinese Academy of Sciences, Guangzhou (in Chinese with English Abstract)
    Wild, B., Andersson, A., Bröder, L., et al., 2019. Rivers across the Siberian Arctic Unearth the Patterns of Carbon Release from Thawing Permafrost. Proceedings of the National Academy of Sciences of the United States of America, 116(21): 10280–10285. https://doi.org/10.1073/pnas.1811797116
    Wilhelm, L., Besemer, K., Fasching, C., et al., 2014. Rare but Active Taxa Contribute to Community Dynamics of Benthic Biofilms in Glacier-Fed Streams. Environmental Microbiology, 16(8): 2514–2524. https://doi.org/10.1111/1462-2920.12392
    Wu, Y., Zhang, J., Liu, S. M., et al., 2007. Sources and Distribution of Carbon within the Yangtze River System. Estuarine, Coastal and Shelf Science, 71(1/2): 13–25. https://doi.org/10.1016/j.ecss.2006.08.016
    Xiao, B., 2019. River Runoff and Dissolved Carbon Transport Process in Qinghai Lake Basin: [Dissertation]. Ludong University, Yantai (in Chinese with English Abstract)
    Xie, S. C., Chen, J. F., Wang, F. P., et al., 2017. Mechanisms of Carbon Storage and the Coupled Carbon, Nitrogen and Sulfur Cycles in Regional Seas in Response to Global Change. Science China Earth Sciences, 60(5): 1010–1014. https://doi.org/10.1007/s11430-016-8328-2
    Yan, F. P., Kang, S. C., Li, C. L., et al., 2016. Concentration, Sources and Light Absorption Characteristics of Dissolved Organic Carbon on a Medium-Sized Valley Glacier, Northern Tibetan Plateau. The Cryosphere, 10(6): 2611–2621. https://doi.org/10.5194/tc-10-2611-2016
    Yao, T. D., Thompson, L., Yang, W., et al., 2012. Different Glacier Status with Atmospheric Circulations in Tibetan Plateau and Surroundings. Nature Climate Change, 2(9): 663–667. https://doi.org/10.1038/nclimate1580
    Ye, F., Guo, W., Wei, G. J., et al., 2018. The Sources and Transformations of Dissolved Organic Matter in the Pearl River Estuary, China, as Revealed by Stable Isotopes. Journal of Geophysical Research: Oceans, 123(9): 6893–6908. https://doi.org/10.1029/2018JC014004
    Yu, Q., Wang, X. Y., Han, Z. Y., et al., 2023. Diverse Climatic and Anthropogenic Impacts on Desertification in the Middle Reaches of Yarlung Zangbo River Catchment on the Tibetan Plateau. Journal of Earth Science, 34(6): 1816–1826. https://doi.org/10.1007/s12583-022-1658-5
    Zong, H., 2023. Characteristics of Carbon Components of River Water in the Buha River Basin and Its Sources: [Dissertation]. Ludong University, Yantai (in Chinese with English Abstract)
  • 加载中

Catalog

    通讯作者: 陈斌, bchen63@163.com
    • 1. 

      沈阳化工大学材料科学与工程学院 沈阳 110142

    1. 本站搜索
    2. 百度学术搜索
    3. 万方数据库搜索
    4. CNKI搜索

    Figures(5)  / Tables(2)

    Article Metrics

    Article views(296) PDF downloads(8) Cited by()
    Proportional views
    Related

    /

    DownLoad:  Full-Size Img  PowerPoint
    Return
    Return