Advanced Search

Indexed by SCI、CA、РЖ、PA、CSA、ZR、etc .

Volume 37 Issue 2
Apr 2026
Turn off MathJax
Article Contents
Ying Wang, Cuicui Wang, Zuohuai Yang, Lei Jiang. Petrogenesis and Nb Metallogenic Implications of the Yilan-Like Rare-Metal-Bearing Peralkaline-Alkaline Intrusion in the Northern Tarim Basin in Northwest China. Journal of Earth Science, 2026, 37(2): 484-507. doi: 10.1007/s12583-024-0091-3
Citation: Ying Wang, Cuicui Wang, Zuohuai Yang, Lei Jiang. Petrogenesis and Nb Metallogenic Implications of the Yilan-Like Rare-Metal-Bearing Peralkaline-Alkaline Intrusion in the Northern Tarim Basin in Northwest China. Journal of Earth Science, 2026, 37(2): 484-507. doi: 10.1007/s12583-024-0091-3

Petrogenesis and Nb Metallogenic Implications of the Yilan-Like Rare-Metal-Bearing Peralkaline-Alkaline Intrusion in the Northern Tarim Basin in Northwest China

doi: 10.1007/s12583-024-0091-3
More Information
  • Corresponding author: Cuicui Wang, wcc7011@126.com
  • Received Date: 22 May 2024
  • Accepted Date: 11 Nov 2024
  • Available Online: 30 Mar 2026
  • Issue Publish Date: 30 Apr 2026
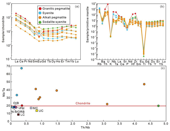
  • Despite extensive studies on Nb deposits associated with alkaline rocks, the key factors controlling Nb enrichment remain uncertain, with conditions varying across distinct alkaline intrusions. To better understand Nb mineralization in alkaline rocks, we conducted an integrated investigation of samples from an Nb-bearing peralkaline-alkaline intrusion in the Yilan-like region of the northern Tarim Basin. The Yilan-like intrusion is predominatly composed of granitic pegmatite, alkali pegmatite, syenite, and sodalite syenite. Zircon dating results reveal that this intrusion was emplaced at about 276 Ma. The Yilan-like intrusion is characterized by high SiO2 and total alkali contents and prominent enrichment of HFSE and LREE, with obvious depletions of Ba, K, P, and Ti. The peralkaline-alkaline rocks have high initial 87Sr/86Sr ratios (0.715 8 to 0.853 3) and negative εNd(t) values (-7.8 to -8.5). We propose that the Yilan-like peralkaline-alkaline intrusion was generated via remelting of deep crustal materials enriched in alkali, F, and HFSE. With Nb concentrations reaching up to 252 ppm and Nb primarily hosted in titanite, ilmenite, rutile, pyrochlore, and columbite, the intrusion shows significant potential for Nb mineralization. Based on the chemical compositions of Nb minerals, we suggest that both magmatic and hydrothermal processes played key roles in Nb enrichment.

     

  • Electronic Supplementary Material: Supplementary material (Table S1) is available in the online version of this article at https://doi.org/10.1007/s12583-024-0091-3.
    Conflict of Interest
    The authors declare that they have no conflict of interest.
  • loading
  • Abuduxun, N., Xiao, W. J., Windley, B. F., et al., 2021. Terminal Suturing between the Tarim Craton and the Yili-Central Tianshan Arc: Insights from Mélange-Ocean Plate Stratigraphy, Detrital Zircon Ages, and Provenance of the South Tianshan Accretionary Complex. Tectonics, 40(7): e2021TC006705. https://doi.org/10.1029/2021tc006705
    Ballouard, C., Massuyeau, M., Elburg, M. A., et al., 2020. The Magmatic and Magmatic-Hydrothermal Evolution of Felsic Igneous Rocks as Seen through Nb-Ta Geochemical Fractionation, with Implications for the Origins of Rare-Metal Mineralizations. Earth-Science Reviews, 203: 103115. https://doi.org/10.1016/j.earscirev.2020.103115
    Black, L. P., Kamo, S. L., Williams, I. S., et al., 2003. The Application of SHRIMP to Phanerozoic Geochronology: A Critical Appraisal of Four Zircon Standards. Chemical Geology, 200(1/2): 171–188. https://doi.org/10.1016/s0009-2541(03)00166-9
    Bonin, B., 2007. A-Type Granites and Related Rocks: Evolution of a Concept, Problems and Prospects. Lithos, 97(1/2): 1–29. https://doi.org/10.1016/j.lithos.2006.12.007
    Cao, J., Chen, M. M., Wan, S. M., et al., 2024. Petrogenesis and Deep Dynamic Processes of Early Permian Alkaline Lamprophyres in Tarim Large Igneous Province, NW China. Earth Science, 49(7): 2448–2474 (in Chinese with English Abstract)
    Chen, L. X., Jia, C. Z., Wu, G. H., et al., 2024. Basement Architecture and Evolution of Neoproterozoic Tarim Rift Basin. Earth Science, 49(10): 3445–3458 (in Chinese with English Abstract)
    Collins, W. J., Beams, S. D., White, A. J. R., et al., 1982. Nature and Origin of A-Type Granites with Particular Reference to Southeastern Australia. Contributions to Mineralogy and Petrology, 80(2): 189–200. https://doi.org/10.1007/bf00374895
    Compston, W., Williams, I. S., Kirschvink, J. L., et al., 1992. Zircon U-Pb Ages for the Early Cambrian Time-Scale. Journal of the Geological Society, 149(2): 171–184. https://doi.org/10.1144/gsj gs.149.2.0171 doi: 10.1144/gsjgs.149.2.0171
    Dostal, J., Shellnutt, J. G., 2016. Origin of Peralkaline Granites of the Jurassic Bokan Mountain Complex (Southeastern Alaska) Hosting Rare Metal Mineralization. International Geology Review, 58(1): 1–13. https://doi.org/10.1080/00206814.2015.10 52995 doi: 10.1080/00206814.2015.1052995
    Eby, G., 1998. Geochemistry and Petrogenesis of Nepheline Syenites: Kasungu-Chipala, Ilomba, and Ulindi Nepheline Syenite Intrusions, North Nyasa Alkaline Province, Malawi. Journal of Petrology, 39(8): 1405–1424. https://doi.org/10.1093/petrology/39.8.1405
    Frost, B. R., Barnes, C. G., Collins, W. J., et al., 2001. A Geochemical Classification for Granitic Rocks. Journal of Petrology, 42(11): 2033–2048. https://doi.org/10.1093/petrology/42.11.2033
    Frost, C. D., Frost, B. R., Bell, J. M., et al., 2002. The Relationship between A-Type Granites and Residual Magmas from Anorthosite: Evidence from the Northern Sherman Batholith, Laramie Mountains, Wyoming, USA. Precambrian Research, 119(1/2/3/4): 45–71. https://doi.org/10.1016/s0301-9268(02)001 17-1 doi: 10.1016/s0301-9268(02)00117-1
    Guo, C. T., Gao, J., Li, Z., 2024. Driving Mechanism of Tectonic Evolution in Key Paleozoic Period in Tarim Basin: Constraints from Tracing of Provenance Attributes in Keping Area. Earth Science, 49(11): 4112–4129 (in Chinese with English Abstract)
    Gysi, A. P., Williams-Jones, A. E., Collins, P., 2016. Lithogeochemical Vectors for Hydrothermal Processes in the Strange Lake Peralkaline Granitic REE-Zr-Nb Deposit. Economic Geology, 111(5): 1241–1276. https://doi.org/10.2113/econgeo.111.5.1241
    Hode Vuorinen, J., Hålenius, U., 2005. Nb-, Zr- and LREE-Rich Titanite from the Alnö Alkaline Complex: Crystal Chemistry and Its Importance as a Petrogenetic Indicator. Lithos, 83(1/2): 128–142. https://doi.org/10.1016/j.lithos.2005.01.008
    Hogarth, D. D., Williams, C. T., Jones, P., 2000. Primary Zoning in Pyrochlore Group Minerals from Carbonatites. Mineralogical Magazine, 64(4): 683–697 doi: 10.1180/002646100549544
    Huang, H., Wang, T., Zhang, Z. C., et al., 2018. Highly Differentiated Fluorine-Rich, Alkaline Granitic Magma Linked to Rare Metal mineralization: A Case Study from the Boziguo'er Rare Metal Granitic Pluton in South Tianshan Terrane, Xinjiang, NW China. Ore Geology Reviews, 96: 146–163. https://doi.org/10.1016/j.oregeorev.2018.04.021
    Huang, H., Zhang, D. Y., Zhang, Z. C., et al., 2010. Petrology and Geochemistry of the Chuanwulu Alkaline Complex in South Tianshan: Constraints on Petrogenesis and Tectonic Setting. Acta Petrologica Sinica, 26(3): 947–962
    Huang, H., Zhang, Z. C., Kusky, T. M., et al., 2012. Continental Vertical Growth in the Transitional Zone between South Tianshan and Tarim, Western Xinjiang, NW China: Insight from the Permian Halajun A1-Type Granitic Magmatism. Lithos, 155: 49–66. https://doi.org/10.1016/j.lithos.2012.08.014
    Huang, H., Zhang, Z. C., Santosh, M., et al., 2014. Geochronology, Geochemistry and Metallogenic Implications of the Boziguo'er Rare Metal-Bearing Peralkaline Granitic Intrusion in South Tianshan, NW China. Ore Geology Reviews, 61: 157–174. https://doi.org/10.1016/j.oregeorev.2014.01.011
    Huang, J., Xiao, Y., Gao, Y., et al., 2012. Nb-Ta Fractionation Induced by Fluid-Rock Interaction in Subduction-Zones: constraints from UHP Eclogite- and Vein-Hosted Rutile from the Dabie Orogen, Central-Eastern China. Journal of Metamorphic Geology, 30(8): 821–842. https://doi.org/10.1111/j.1525-1314.2 012.01000.x doi: 10.1111/j.1525-1314.2012.01000.x
    Jacobsen, S. B., Wasserburg, G. J., 1979. The Mean Age of Mantle and Crustal Reservoirs. Journal of Geophysical Research: Solid Earth, 84(B13): 7411–7427. https://doi.org/10.1029/jb084ib13p07411
    Jiang, C. Y., An, S. Y., 1984. On Chemical Characteristics of Calcic Amphiboles from Igneous Rocsk and Their Petrogenesis Significance. Journal of Mineralogy and Petrology, 4(3): 1–9 (in Chinese with English Abstract)
    Jiang, X. Y., Wu, K., Luo, J. -C., et al., 2020. An A1-Type Granite that Borders A2-Type: Insights from the Geochemical Characteristics of the Zongyang A-Type Granite in the Lower Yangtze River Belt, China. International Geology Review, 62(17): 2203–2220. https://doi.org/10.1080/00206814.2019.1689534
    Jochum, K. P., Stoll, B., Herwig, K., et al., 2006. MPI-DING Reference Glasses for in situ Microanalysis: New Reference Values for Element Concentrations and Isotope Ratios. Geochemistry, Geophysics, Geosystems, 7(2): Q02008. https://doi.org/10.1029/2005gc001060
    Kemp, A. I. S., Wormald, R. J., Whitehouse, M. J., et al., 2005. Hf Isotopes in Zircon Reveal Contrasting Sources and Crystallization Histories for Alkaline to Peralkaline Granites of Temora, Southeastern Australia. Geology, 33(10): 797–800. https://doi.org/10.1130/g21706.1
    Kempe, U., Götze, J., Dandar, S., et al., 1999. Magmatic and Metasomatic Processes during Formation of the Nb-Zr-REE Deposits Khaldzan Buregte and Tsakhir (Mongolian Altai): Indications from a Combined CL-SEM Study. Mineralogical Magazine, 63(2): 165–177. https://doi.org/10.1180/0026461995 48402 doi: 10.1180/002646199548402
    Kirwin, D., 2012. Granite-Related Ore Deposits. Economic Geology, 107(2): 383–384. https://doi.org/10.2113/econgeo.107.2.383
    Linnen, R. L., 1998. The Solubility of Nb-Ta-Zr-Hf-W in Granitic Melts with Li and Li + F; Constraints for Mineralization in Rare Metal Granites and Pegmatites. Economic Geology, 93(7): 1013–1025. https://doi.org/10.2113/gsecongeo.93.7.1013
    Linnen, R. L., Cuney, M., 2005. Granite-Related Rare-Element Deposits and Experimental Constraints on Ta-Nb-W-Sn-Zr-Hf Mineralization, In: Linnen, R. L., Samson, I. M., eds., Rare-Element Geochemistry and Mineral Deposits. Geol. Assoc. Can. GAC Short Course, 17: 45–67
    Linnen, R. L., Keppler, H., 1997. Columbite Solubility in Granitic Melts: Consequences for the Enrichment and Fractionation of Nb and Ta in the Earth's Crust. Contributions to Mineralogy and Petrology, 128(2): 213–227. https://doi.org/10.1007/s0041000 50304 doi: 10.1007/s004100050304
    Litvinovsky, B. A., Jahn, B. M., Eyal, M., 2015. Mantle-Derived Sources of Syenites from the A-Type Igneous Suites—New Approach to the Provenance of Alkaline Silicic Magmas. Lithos, 232: 242–265. https://doi.org/10.1016/j.lithos.2015.06.008
    Liu, C. X., Xu, B. L., Zou, T. R., et al., 2004. Petrochemistry and Tectonic Significance of Hercynian Alkaline Rocks along the Northern Margin of the Tarim Platform and Its Adjacent Area. Xinjiang Geology, 22: 43–49 (in Chinese with English Abstract)
    Liu, H., Wang, Y. R., Deng, J. H., et al., 2023. Modern-Style Arc Magmatism since ca. 2.2 Billion Years Ago Revealed by Nb/Ta-Dy/Yb Systematics in Igneous Rocks. Chemical Geology, 638: 121710. https://doi.org/10.1016/j.chemgeo.2023.121710
    Liu, S., Ding, L., Fan, H. R., et al., 2020. Hydrothermal Genesis of Nb Mineralization in the Giant Bayan Obo REE-Nb-Fe Deposit (China): Implicated by Petrography and Geochemistry of Nb-Bearing Minerals. Precambrian Research, 348: 105864. https://doi.org/10.1016/j.precamres.2020.105864
    Liu, X., Liu, X. J., Hu, R. G., et al., 2022. Late Permian A-Type Granites in Ma'andi in the Jinping Area, Southwestern China: Petrogenesis and Implications for Plume-Slab Interaction. Lithos, 430: 106878. https://doi.org/10.1016/j.lithos.2022.106878
    Liu, Y. S., Hu, Z. C., Zong, K. Q., et al., 2010. Reappraisement and Refinement of Zircon U-Pb Isotope and Trace Element Analyses by LA-ICP-MS. Chinese Science Bulletin, 55(15): 1535–1546. https://doi.org/10.1007/s11434-010-3052-4
    Liu, Y., Hou, Z. Q., 2017. A Synthesis of Mineralization Styles with an Integrated Genetic Model of Carbonatite-Syenite-Hosted REE Deposits in the Cenozoic Mianning-Dechang REE Metallogenic Belt, the Eastern Tibetan Plateau, Southwestern China. Journal of Asian Earth Sciences, 137: 35–79. https://doi.org/10.1016/j.jseaes.2017.01.010
    Long, X. P., Yuan, C., Sun, M., et al., 2011. Reworking of the Tarim Craton by Underplating of Mantle Plume-Derived magmas: Evidence from Neoproterozoic Granitoids in the Kuluketage Area, NW China. Precambrian Research, 187(1/2): 1–14. https://doi.org/10.1016/j.precamres.2011.02.001
    Lu, S. N., Li, H. K., Zhang, C. L., et al., 2008. Geological and Geochronological Evidence for the Precambrian Evolution of the Tarim Craton and Surrounding Continental Fragments. Precambrian Research, 160(1/2): 94–107. https://doi.org/10.101 6/j.precamres.2007.04.025 doi: 10.1016/j.precamres.2007.04.025
    Ludwig, K. R., 2001. Squid 1.02: A User's Manual. Berkeley Geochronology Center, Berkeley
    MacKay, D. A. R., Simandl, G. J., 2015. Pyrochlore and Columbite-Tantalite as Indicator Minerals for Specialty Metal Deposits. Geochemistry: Exploration, Environment, Analysis, 15(2/3): 167–178. https://doi.org/10.1144/geochem2014-289
    Maniar, P. D., Piccoli, P. M., 1989. Tectonic Discrimination of Granitoids. Geological Society of America Bulletin, 101(5): 635–643. https://doi.org/10.1130/0016-7606(1989)101<0635:tdog >2.3.co;2 doi: 10.1130/0016-7606(1989)101<0635:tdog>2.3.co;2
    Martin, R. F., 2006. A-Type Granites of Crustal Origin Ultimately Result from Open-System Fenitization-Type Reactions in an Extensional Environment. Lithos, 91(1/2/3/4): 125–136. https://doi.org/10.1016/j.lithos.2006.03.012
    Martin, R. F., 2012. The Petrogenesis of Anorogenic Felsic Magmas and AMCG suites: Insights on Element Mobility and Mutual Cryptic Contamination from Polythermal Experiments. Lithos, 151: 35–45. https://doi.org/10.1016/j.lithos.2011.12.016
    Middlemost, E. A. K., 1994. Naming Materials in the Magma/Igneous Rock System. Earth-Science Reviews, 37(3/4): 215–224. https://doi.org/10.1016/0012-8252(94)90029-9
    Mingram, B., Trumbull, R. B., Littman, S., et al., 2000. A Petrogenetic Study of Anorogenic Felsic Magmatism in the Cretaceous Paresis Ring Complex, Namibia: Evidence for Mixing of Crust and Mantle-Derived Components. Lithos, 54(1/2): 1–22. https://doi.org/10.1016/s0024-4937(00)00033-5
    Mitchell, R. H., 2015. Primary and Secondary Niobium Mineral Deposits Associated with Carbonatites. Ore Geology Reviews, 64: 626–641. https://doi.org/10.1016/j.oregeorev.2014.03.010
    Munkhdul, B., 2019. Spatial Temporal Distribution and Geological Significance of Alkali-Rich Intrusive Rocks in North Tarim-Tianshan Beishan: [Dissertation]. Chang'an University, Xi'an (in Chinese with English Abstract)
    Nasdala, L., Miletich, R., Ruschel, K., et al., 2008. Raman Study of Radiation-Damaged Zircon under Hydrostatic Compression. Physics and Chemistry of Minerals, 35(10): 597–602. https://doi.org/10.1007/s00269-008-0251-5
    Nasraoui, M., Bilal, E., 2000. Pyrochlores from the Lueshe Carbonatite Complex (Democratic Republic of Congo): A Geochemical Record of Different Alteration Stages. Journal of Asian Earth Sciences, 18(2): 237–251. https://doi.org/10.1016/s1367-9120(99)00056-5
    Pilet, S., Baker, M. B., Stolper, E. M., 2008. Metasomatized Lithosphere and the Origin of Alkaline Lavas. Science, 320(5878): 916–919. https://doi.org/10.1126/science.1156563
    Pirajno, F., 2022. Mineral Systems and Their Putative Link with Mantle Plumes. Geological Society of London Special Publications, 518(1): 467–492. https://doi.org/10.1144/sp518-20 20-276 doi: 10.1144/sp518-2020-276
    Rudnick, R. L., Gao, S., 2003. Composition of the Continental Crust. Treatise on Geochemistry. Elsevier, Amsterdam. https://doi.org/10.1016/b0-08-043751-6/03016-4
    Salvi, S., Williams-Jones, A. E., 1990. The Role of Hydrothermal Processes in the Granite-Hosted Zr, Y, REE Deposit at Strange Lake, Quebec/Labrador: Evidence from Fluid Inclusions. Geochimica et Cosmochimica Acta, 54(9): 2403–2418. https://doi.org/10.1016/0016-7037(90)90228-d
    Salvi, S., Williams-Jones, A. E., 2006. Alteration, HFSE Mineralisation and Hydrocarbon Formation in Peralkaline Igneous Systems: Insights from the Strange Lake Pluton, Canada. Lithos, 91(1/2/3/4): 19–34. https://doi.org/10.1016/j.lithos.2006.03.040
    Sheard, E. R., Williams-Jones, A. E., Heiligmann, M., et al., 2012. Controls on the Concentration of Zirconium, Niobium, and the Rare Earth Elements in the Thor Lake Rare Metal Deposit, Northwest Territories, Canada. Economic Geology, 107(1): 81–104. https://doi.org/10.2113/econgeo.107.1.8
    Smith, M. P., Campbell, L. S., Kynicky, J., 2015. A Review of the Genesis of the World Class Bayan Obo Fe-REE-Nb Deposits, Inner Mongolia, China: Multistage Processes and Outstanding Questions. Ore Geology Reviews, 64: 459–476. https://doi.org/10.1016/j.oregeorev.2014.03.007
    Stepanov, A. S., Hermann, J., 2013. Fractionation of Nb and Ta by Biotite and phengite: Implications for the "Missing Nb Paradox". Geology, 41(3): 303–306. https://doi.org/10.1130/g33781.1
    Stern, R. A., Amelin, Y., 2003. Assessment of Errors in SIMS Zircon U-Pb Geochronology Using a Natural Zircon Standard and NIST SRM 610 Glass. Chemical Geology, 197(1/2/3/4): 111–142. https://doi.org/10.1016/s0009-2541(02)00320-0
    Sun, S. S., McDonough, W. F., 1989. Chemical and Isotopic Systematics of Oceanic Basalts: Implications for Mantle Composition and Processes. Geological Society of London Special Publications, 42(1): 313–345. https://doi.org/10.1144/gsl.sp.1989.042.01.19
    Sun, Z. H., Qin, K. Z., Mao, Y. J., et al., 2021. Characteristics and Significance of Aegirine and Arfvedsonite in Boziguoer Nb-Ta-Zr-Rb-REE Deposit Related to Alkaline Granite, Xinjiang. Acta Petrologica Sinica, 37(12): 3687–3711. https://doi.org/10.18654/1000-0569/2021.12.07
    Tanaka, T., Togashi, S., Kamioka, H., et al., 2000. JNdi-1: A Neodymium Isotopic Reference in Consistency with LaJolla Neodymium. Chemical Geology, 168(3/4): 279–281. https://doi.org/10.1016/s0009-2541(00)00198-4
    Tiepolo, M., Oberti, R., Vannucci, R., 2002. Trace-Element Incorporation in Titanite: Constraints from Experimentally Determined Solid/Liquid Partition Coefficients. Chemical Geology, 191(1/2/3): 105–119. https://doi.org/10.1016/s0009-25 41(02)00151-1 doi: 10.1016/s0009-2541(02)00151-1
    Timofeev, A., Migdisov, A. A., Williams-Jones, A. E., 2015. An Experimental Study of the Solubility and Speciation of Niobium in Fluoride-Bearing Aqueous Solutions at Elevated Temperature. Geochimica et Cosmochimica Acta, 158: 103–111. https://doi.org/10.1016/j.gca.2015.02.015
    Tindle, A. G., Breaks, F. W., 2000. Columbite-Tantalite Mineral Chemistry from Rare-Element Granitic Pegmatites: Separation Lakeh Area, N. W. Ontario, Canada. Mineralogy and Petrology, 70(3): 165–198. https://doi.org/10.1007/s007100070002
    Tremblay, J., Bédard, L. P., Matton, G., 2017. Columbitization of Fluorcalciopyrochlore by Hydrothermalism at the Saint-Honoré Alkaline Complex, Québec (Canada): New Insights on Halite in Carbonatites. Ore Geology Reviews, 91: 695–707. https://doi.org/10.1016/j.oregeorev.2017.08.027
    Tu, X. L., Zhang, H., Deng, W. F., et al., 2011. Application of Resolution in situ Laser Ablation ICP-MS in Trace Element Analyses. Geochimica, 40(1): 83–98 (in Chinese with English Abstract)
    van Lichtervelde, M., Holtz, F., Dziony, W., et al., 2011. Incorporation Mechanisms of Ta and Nb in Zircon and Implications for Pegmatitic Systems. American Mineralogist, 96(7): 1079–1089. https://doi.org/10.2138/am.2011.3650
    Wang, L. X., Ma, C. Q., Zhang, C., et al., 2018. Halogen Geochemistry of I- and A-Type Granites from Jiuhuashan Region (South China): Insights into the Elevated Fluorine in A-Type Granite. Chemical Geology, 478: 164–182. https://doi.org/10.1016/j.chemgeo.2017.09.033
    Wang, Y., Yang, X. Y., Deng, J. H., 2022. Sr-Nd-Pb and Zircon Hf Isotopic Constraints on the Petrogenesis of Two Types of Early Cretaceous Intrusive Rocks in the Tongling Ore-Cluster Region: Implications for Cu-Au Polymetallic Mineralization. Ore Geology Reviews, 150: 105122. https://doi.org/10.1016/j.oregeorev.202 2.105122 doi: 10.1016/j.oregeorev.2022.105122
    Whalen, J. B., Currie, K. L., Chappell, B. W., 1987. A-Type Granites: Geochemical Characteristics, Discrimination and Petrogenesis. Contributions to Mineralogy and Petrology, 95(4): 407–419. https://doi.org/10.1007/bf00402202
    Williams-Jones, A. E., Vasyukova, O. V., 2023. Niobium, Critical Metal, and Progeny of the Mantle. Economic Geology, 118(4): 837–855. https://doi.org/10.5382/econgeo.4994
    Wu, F. Y., Jahn, B. M., Wilde, S., et al., 2000. Phanerozoic Crustal Growth: U-Pb and Sr-Nd Isotopic Evidence from the Granites in Northeastern China. Tectonophysics, 328(1/2): 89–113. https://doi.org/10.1016/s0040-1951(00)00179-7
    Wu, H. H., Wang, T., Zhang, Z. C., et al., 2019. Chemical Characteristics of Amphibole and Biotite from the Boziguo'er Alkaline Granitic Pluton in Baicheng County, Xinjiang, and Their Implications for Petrogenesis and Mineralization. Acta Petrologica et Mineralogica, 38: 173–190 (in Chinese with English Abstract)
    Xiao, Y. L., Sun, W. D., Hoefs, J., et al., 2006. Making Continental Crust through Slab Melting: Constraints from Niobium-Tantalum Fractionation in UHP Metamorphic Rutile. Geochimica et Cosmochimica Acta, 70(18): 4770–4782. https://doi.org/10.1016/j.gca.2006.07.010
    Xie, M. C., Su, B. X., Wang, Z. M., et al., 2020. Research on the Characteristics of Rare and Rare Earth Deposits Associated with Alkaline Rocks in the Northern Margin of Tarim, Xinjiang. Scientia Geologica Sinica, 55(2): 420–438. https://doi.org/10.12 017/dzkx.2020.028 doi: 10.12017/dzkx.2020.028
    Xie, M. C., Xiao, W. J., Su, B. X., et al., 2022. REE Mineralization Related to Carbonatites and Alkaline Magmatism in the Northern Tarim Basin, NW China: Implications for a Possible Permian Large Igneous Province. International Journal of Earth Sciences, 111(8): 2759–2776. https://doi.org/10.1007/s00531-02 1-02138-1 doi: 10.1007/s00531-021-02138-1
    Xie, Y. W., Zhang, Y. Q., 1990. Peculiarities and Genetic Significance of Hornblende from Granite in the Hengduansan Region. Acta Mineralogica Sinica, 10(1): 35–45 (in Chinese with English Abstract)
    Xue, Y., Sun, N. Y., Li, G. W., 2021. Evolution of Nb-Ta Oxide Minerals and Their Relationship to the Magmatic-Hydrothermal Processes of the Nb-Ta Mineralized Syenitic Dikes in the Panxi Region, SW China. Minerals, 11(11): 1204. https://doi.org/10.33 90/min11111204 doi: 10.3390/min11111204
    Yue, Y., Tian, J. C., Huang, C. Y., 2024. Formation Mechanism of the Paleocene Basal Conglomerate, Southwest Tarim Basin. Journal of Earth Science, 35(5): 1513–1526. https://doi.org/10. 1007/s12583-022-1696-z doi: 10.1007/s12583-022-1696-z
    Zaraisky, G. P., Korzhinskaya, V., Kotova, N., 2010. Experimental Studies of Ta2O5 and Columbite-Tantalite Solubility in Fluoride Solutions from 300 to 550 ℃ and 50 to 100 MPa. Mineralogy and Petrology, 99(3): 287–300. https://doi.org/10.1007/s00710-010-0112-z
    Zhang, J. J., Sun, S. J., Zhang, L. P., et al., 2023. Origin of Transitional I-A-Type Syenite and Its Relationship to A-Type Intrusions in the Luzong Basin, the Lower Yangtze River Belt: Insights from Geochemistry. Chemical Geology, 626: 121458. https://doi.org/10.1016/j.chemgeo.2023.121458
    Zhang, T. Y., Deng, J. H., Wang, M., et al., 2022. Geochemistry and Genesis of the Nadun Nb-Enriched Arc Basalt in the Duolong Mineral District, Western Tibet: Indication of Ridge Subduction. Geoscience Frontiers, 13(1): 101283. https://doi.org/10.1016/j.g sf.2021.101283 doi: 10.1016/j.gsf.2021.101283
    Zhao, G. C., Cawood, P. A., 2012. Precambrian Geology of China. Precambrian Research, 222: 13–54. https://doi.org/10.1016/j.precamres.2012.09.017
    Zhu, Y. X., Wang, L. X., Ma, C. Q., et al., 2022. Titanite as a Tracer for Nb Mineralization during Magmatic and Hydrothermal Processes: The Case of Fangcheng Alkaline Complex, Central China. Chemical Geology, 608: 121028. https://doi.org/10.1016/j.chemgeo.2022.121028
    Zhu, Y. X., Wang, L. X., Pan, Y. M., et al., 2024. Remobilization and Enrichment of Nb during Magmatic and Hydrothermal Processes: Insights from Titanite in Nb-Rich Dyke Swarms of South Qinling, China. Contributions to Mineralogy and Petrology, 179(5): 48. https://doi.org/10.1007/s00410-024-02120-5
    Zhu, Z. Y., Wang, R. C., Marignac, C., et al., 2019. Petrogenesis of Nb-(Ta) Aplo-Pegmatites and Fine-Grained Granites from the Early Cretaceous Huangshan Rare-Metal Granite Suite, Northeast Jiangxi Province, Southeast China. Lithos, 346: 105150. https://doi.org/10.1016/j.lithos.2019.105150
    Zindler, A., 1986. Chemical Geodynamics. Annual Review of Earth and Planetary Sciences, 14: 493–571. https://doi.org/10.1146/annurev.earth.14.1.493
    Zong, Z. J., Du, Y. S., Li, S. T., et al., 2021. Petrogenesis of the Early Permian A-Type Granites in the Halajun Region, Southwest Tianshan, Western Xinjiang, NW China: Implications for Geodynamics of Tarim Large Igneous Province. International Geology Review, 63(9): 1110–1131. https://doi.org/10.1080/002 06814.2020.1749898 doi: 10.1080/00206814.2020.1749898
    Zou, T. R., Xu, J., Chen, W. S., et al., 2002. Rare and Rare Earth Mineral Deposits Related to Alkaline Rocks on Northern Margin of Tarim Basin, Xinjing, China. Mineral Deposits, 21(S1): 845–848 (in Chinese with English Abstract)
    Zou, T. R., Li, Q. C., 2006. Rare and Rare Earth Metallic Deposits in Xinjiang, China. Geological Publishing House, Beijing (in Chinese with English Abstract)
  • 加载中

Catalog

    通讯作者: 陈斌, bchen63@163.com
    • 1. 

      沈阳化工大学材料科学与工程学院 沈阳 110142

    1. 本站搜索
    2. 百度学术搜索
    3. 万方数据库搜索
    4. CNKI搜索

    Figures(16)  / Tables(8)

    Article Metrics

    Article views(102) PDF downloads(11) Cited by()
    Proportional views
    Related

    /

    DownLoad:  Full-Size Img  PowerPoint
    Return
    Return