Advanced Search

Indexed by SCI、CA、РЖ、PA、CSA、ZR、etc .

Volume 36 Issue 5
Oct 2025
Turn off MathJax
Article Contents
Dazheng Huang, Renguang Zuo, Jian Wang, Raimon Tolosana-Delgado. Spatially Constrained Variational Autoencoder for Geochemical Data Denoising and Uncertainty Quantification. Journal of Earth Science, 2025, 36(5): 2317-2336. doi: 10.1007/s12583-025-0180-y
Citation: Dazheng Huang, Renguang Zuo, Jian Wang, Raimon Tolosana-Delgado. Spatially Constrained Variational Autoencoder for Geochemical Data Denoising and Uncertainty Quantification. Journal of Earth Science, 2025, 36(5): 2317-2336. doi: 10.1007/s12583-025-0180-y

Spatially Constrained Variational Autoencoder for Geochemical Data Denoising and Uncertainty Quantification

doi: 10.1007/s12583-025-0180-y
More Information
  • Corresponding author: Renguang Zuo, zrguang@cug.edu.cn
  • Received Date: 25 Mar 2025
  • Accepted Date: 01 Jul 2025
  • Available Online: 14 Oct 2025
  • Issue Publish Date: 30 Oct 2025
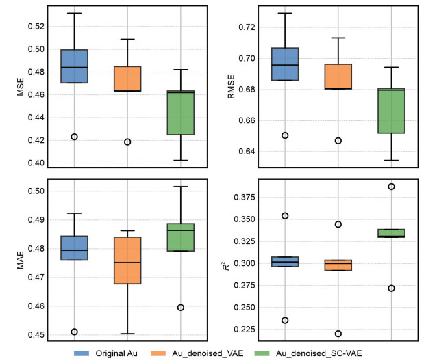
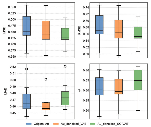
  • Geochemical survey data are essential across Earth Science disciplines but are often affected by noise, which can obscure important geological signals and compromise subsequent prediction and interpretation. Quantifying prediction uncertainty is hence crucial for robust geoscientific decision-making. This study proposes a novel deep learning framework, the Spatially Constrained Variational Autoencoder (SC-VAE), for denoising geochemical survey data with integrated uncertainty quantification. The SC-VAE incorporates spatial regularization, which enforces spatial coherence by modeling inter-sample relationships directly within the latent space. The performance of the SC-VAE was systematically evaluated against a standard Variational Autoencoder (VAE) using geochemical data from the gold polymetallic district in the northwestern part of Sichuan Province, China. Both models were optimized using Bayesian optimization, with objective functions specifically designed to maintain essential geostatistical characteristics. Evaluation metrics include variogram analysis, quantitative measures of spatial interpolation accuracy, visual assessment of denoised maps, and statistical analysis of data distributions, as well as decomposition of uncertainties. Results show that the SC-VAE achieves superior noise suppression and better preservation of spatial structure compared to the standard VAE, as demonstrated by a significant reduction in the variogram nugget effect and an increased partial sill. The SC-VAE produces denoised maps with clearer anomaly delineation and more regularized data distributions, effectively mitigating outliers and reducing kurtosis. Additionally, it delivers improved interpolation accuracy and spatially explicit uncertainty estimates, facilitating more reliable and interpretable assessments of prediction confidence. The SC-VAE framework thus provides a robust, geostatistically informed solution for enhancing the quality and interpretability of geochemical data, with broad applicability in mineral exploration, environmental geochemistry, and other Earth Science domains.

     

  • Conflict of Interest
    The authors declare that they have no conflict of interest.
  • loading
  • Akiba, T., Sano, S., Yanase, T., et al., 2019. Optuna: A Next-Generation Hyperparameter Optimization Framework. In: Proceedings of the 25th ACM SIGKDD International Conference on Knowledge Discovery & Data Mining, 2623–2631
    Blundell, C., Cornebise, J., Kavukcuoglu, K., et al., 2015. Weight Uncertainty in Neural Network. Proceedings of the 32nd International Conference on Machine Learning, PMLR, 37: 1613–1622
    Carranza, E. J. M., 2008. Geochemical Anomaly and Mineral Prospectivity Mapping in GIS. Elsevier, New York
    Chen, G. X., Cheng, Q. M., 2016. Singularity Analysis Based on Wavelet Transform of Fractal Measures for Identifying Geochemical Anomaly in Mineral Exploration. Computers & Geosciences, 87: 56–66. https://doi.org/10.1016/j.cageo.2015.1 1.007 doi: 10.1016/j.cageo.2015.11.007
    Chen, G. X., Cheng, Q. M., 2018. Fractal-Based Wavelet Filter for Separating Geophysical or Geochemical Anomalies from Background. Mathematical Geosciences, 50(3): 249–272. https://doi.org/10.1007/s11004-017-9707-9
    Cheng, Q. M., 2007. Mapping Singularities with Stream Sediment Geochemical Data for Prediction of Undiscovered Mineral Deposits in Gejiu, Yunnan Province, China. Ore Geology Reviews, 32(1/2): 314–324. https://doi.org/10.1016/j.oregeore v.2006.10.002 doi: 10.1016/j.oregeorev.2006.10.002
    Cheng, Q. M., Xu, Y. G., Grunsky, E., 2000. Integrated Spatial and Spectrum Method for Geochemical Anomaly Separation. Natural Resources Research, 9(1): 43–52. https://doi.org/10.1023/a:101 0109829861 doi: 10.1023/a:1010109829861
    Chiles, J. P., Delfiner, P., 2012. Geostatistics: Modeling Spatial Uncertainty. John Wiley & Sons, Hoboken
    Doersch, C., 2016. Tutorial on Variational Autoencoders. arXiv: 1606.05908
    Erfanian, N., Heydari, A. A., Feriz, A. M., et al., 2023. Deep Learning Applications in Single-Cell Genomics and Transcriptomics Data Analysis. Biomedicine & Pharmacotherapy, 165: 115077
    Frazier, P. I., 2018. A Tutorial on Bayesian Optimization. arXiv: 1807.02811. https://doi.org/10.48550/arXiv.1807.02811
    Gal, Y., Ghahramani, Z., 2016. Dropout as a Bayesian Approximation: Representing Model Uncertainty in Deep Learning. In: Proceedings of the 33rd International Conference on Machine Learning. https://doi.org/10.48550/arXiv.1506.02142
    Goodfellow, I., Bengio, Y., Courville, A., et al., 2016. Deep Learning. MIT Press, Cambridge
    Goovaerts, P., 1997. Geostatistics for Natural Resources Evaluation. University Press, Oxford
    Grunsky, E. C., de Caritat, P., 2020. State-of-the-Art Analysis of Geochemical Data for Mineral Exploration. Geochemistry: Exploration, Environment, Analysis, 20(2): 217–232. https://doi.org/10.1144/geochem2019-031
    Hengl, T., Nussbaum, M., Wright, M. N., et al., 2018. Random Forest as a Generic Framework for Predictive Modeling of Spatial and Spatio-Temporal Variables. PeerJ, 6: e5518. https://doi.org/10.7 717/peerj.5518 doi: 10.7717/peerj.5518
    Huang, D. Z., Zuo, R. G., Wang, J., 2022. Geochemical Anomaly Identification and Uncertainty Quantification Using a Bayesian Convolutional Neural Network Model. Applied Geochemistry, 146: 105450. https://doi.org/10.1016/j.apgeochem.2022.105450
    Isaaks, E. H., Srivastava, R. M., 1989. Applied Geostatistics, Oxford University Press, New York
    Kascenas, A., Sanchez, P., Schrempf, P., et al., 2023. The Role of Noise in Denoising Models for Anomaly Detection in Medical Images. Medical Image Analysis, 90: 102963. https://doi.org/10. 1016/j.media.2023.102963 doi: 10.1016/j.media.2023.102963
    Kendall, A., Gal, Y., 2017. What Uncertainties do We Need in Bayesian Deep Learning for Computer Vision?. Advances in Neural Information Processing Systems, arXiv: 1703.04977. https://doi.org/10.48550/arXiv.1703.04977
    Kingma, D. P., Welling, M., 2013. Auto-Encoding Variational Bayes. arXiv: 1312.6114. https://doi.org/10.48550/arXiv.1312.6114
    Lawley, C. J. M., McCafferty, A. E., Graham, G. E., et al., 2022. Data-Driven Prospectivity Modelling of Sediment-Hosted Zn-Pb Mineral Systems and Their Critical Raw Materials. Ore Geology Reviews, 141: 104635. https://doi.org/10.1016/j.oregeorev.202 1.104635 doi: 10.1016/j.oregeorev.2021.104635
    Letham, B., Karrer, B., Ottoni, G., et al., 2019. Constrained Bayesian Optimization with Noisy Experiments. Bayesian Analysis, 14(2): 495–519. https://doi.org/10.1214/18-ba1110
    Li, N., Deng, J., Yang, L. Q., et al., 2014. Paragenesis and Geochemistry of Ore Minerals in the Epizonal Gold Deposits of the Yangshan Gold Belt, West Qinling, China. Mineralium Deposita, 49(4): 427–449. https://doi.org/10.1007/s00126-013-0498-8
    Li, N., Deng, J., Yang, L. Q., et al., 2018. Constraints on Depositional Conditions and Ore-Fluid Source for Orogenic Gold Districts in the West Qinling Orogen, China: Implications from Sulfide Assemblages and Their Trace-Element Geochemistry. Ore Geology Reviews, 102: 204–219. https://doi.org/10.1016/j.orege orev.2018.08.025 doi: 10.1016/j.oregeorev.2018.08.025
    Liu, G., 2011. Study on Characteristics and Its Prediction of Carlin-Type Gold Ore Belt in Sichuan-Shannxi-Gansu Region: [Dissertation]. Northeastern University, Chongqing
    Luo, Z. J., Xiong, Y. H., Zuo, R. G., 2020. Recognition of Geochemical Anomalies Using a Deep Variational Autoencoder Network. Applied Geochemistry, 122: 104710. https://doi.org/10. 1016/j.apgeochem.2020.104710 doi: 10.1016/j.apgeochem.2020.104710
    Mao, J. W., Qiu, Y. M., Goldfarb, R. J., et al., 2002. Geology, Distribution, and Classification of Gold Deposits in the Western Qinling Belt, Central China. Mineralium Deposita, 37(3): 352–377. https://doi.org/10.1007/s00126-001-0249-0
    Pourgholam, M. M., Afzal, P., Adib, A., et al., 2024. Recognition of REEs Anomalies Using an Image Fusion Fractal-Wavelet Model in Tarom Metallogenic Zone, NW Iran. Geochemistry, 84(2): 126093. https://doi.org/10.1016/j.chemer.2024.126093
    Reichstein, M., Camps-Valls, G., Stevens, B., et al., 2019. Deep Learning and Process Understanding for Data-Driven Earth System Science. Nature, 566(7743): 195–204. https://doi.org/10.1038/s41586-019-0912-1
    Ridsdill-Smith, T. A., Dentith, M. C., 1999. The Wavelet Transform in Aeromagnetic Processing. Geophysics, 64(4): 1003–1013. https://doi.org/10.1190/1.1444609
    Snoek, J., Larochelle, H., Adams, R. P., 2012. Practical Bayesian Optimization of Machine Learning Algorithms. Advances in Neural Information Processing Systems, 25
    Stanley, C. R., 2006. On the Special Application of Thompson–Howarth Error Analysis to Geochemical Variables Exhibiting a Nugget Effect. Geochemistry: Exploration, Environment, Analysis, 6(4): 357–368. https://doi.org/10.1144/1467-7873/06-111
    Stanley, C. R., 2008. Missed Hits or near Misses: determining how Many Samples Are Necessary to Confidently Detect Nugget-Borne Mineralization. Geochemistry: Exploration, Environment, Analysis, 8(2): 129–138. https://doi.org/10.1144/1467-7873/07-157
    Stanley, C. R., Lawie, D., 2007. Average Relative Error in Geochemical Determinations: Clarification, Calculation, and a Plea for Consistency. Exploration and Mining Geology, 16(3/4): 267–275. https://doi.org/10.2113/gsemg.16.3-4.267
    Templ, M., Filzmoser, P., Reimann, C., 2008. Cluster Analysis Applied to Regional Geochemical Data: Problems and Possibilities. Applied Geochemistry, 23(8): 2198–2213. https://doi.org/10.1016/j.apgeochem.2008.03.004
    Wang, J., Zuo, R. G., 2018. Identification of Geochemical Anomalies through Combined Sequential Gaussian Simulation and Grid-Based Local Singularity Analysis. Computers & Geosciences, 118: 52–64. https://doi.org/10.1016/j.cageo.2018.05.010
    Wang, J., Zuo, R., 2024. Uncertainty Quantification in Geochemical Mapping: A Review and Recommendations. Geochemistry, Geophysics, Geosystems, 25(3): e2023GC011301. https://doi.org/10.1029/2023gc011301
    Wang, X. Q., Zhang, Q., Zhou, G. H., 2007. National-Scale Geochemical Mapping Projects in China. Geostandards and Geoanalytical Research, 31(4): 311–320. https://doi.org/10.1111/j.1751-908x.2007.00128.x
    Xie, X. J., Mu, X. Z., Ren, T. X., 1997. Geochemical Mapping in China. Journal of Geochemical Exploration, 60(1): 99–113. https://doi.org/10.1016/s0375-6742(97)00029-0
    Xiong, Y. H., Zuo, R. G., 2016. Recognition of Geochemical Anomalies Using a Deep Autoencoder Network. Computers & Geosciences, 86: 75–82.https://doi.org/10.1016/j.cageo.201 5.10.006 doi: 10.1016/j.cageo.2015.10.006
    Xu, G. M., Cheng, Q. M., Zuo, R. G., et al., 2016. Application of Improved Bi-Dimensional Empirical Mode Decomposition (BEMD) Based on Perona-Malik to Identify Copper Anomaly Association in the Southwestern Fujian (China). Journal of Geochemical Exploration, 164: 65–74. https://doi.org/10.1016/j.gexplo.2015.09.013
    Yang, L. Q., Deng, J., Li, N., et al., 2016. Isotopic Characteristics of Gold Deposits in the Yangshan Gold Belt, West Qinling, Central China: Implications for Fluid and Metal Sources and Ore Genesis. Journal of Geochemical Exploration, 168: 103–118. https://doi.org/10.1016/j.gexplo.2016.06.006
    Zhang, G., 2012. Metallogenic regularities and Ore-Prospecting Direction of Manaoke Gold Deposit in Sichuan: [Dissertation], Chengdu University of Technology, Chengdu (in Chinese with English Abstract)
    Zhang, S. E., Bourdeau, J. E., Nwaila, G. T., et al., 2024. Denoising of Geochemical Data Using Deep Learning–Implications for Regional Surveys. Natural Resources Research, 33(2): 495–520. https://doi.org/10.1007/s11053-024-10317-5
    Zuo, R. G., Kreuzer, O. P., Wang, J., et al., 2021. Uncertainties in GIS-Based Mineral Prospectivity Mapping: Key Types, Potential Impacts and Possible Solutions. Natural Resources Research, 30(5): 3059–3079. https://doi.org/10.1007/s11053-021-09871-z
    Zuo, R. G., Luo, Z. J., Xiong, Y. H., et al., 2022. A Geologically Constrained Variational Autoencoder for Mineral Prospectivity Mapping. Natural Resources Research, 31(3): 1121–1133. https://doi.org/10.1007/s11053-022-10050-x
    Zuo, R. G., Xia, Q. L., Wang, H. C., 2013. Compositional Data Analysis in the Study of Integrated Geochemical Anomalies Associated with Mineralization. Applied Geochemistry, 28: 202–211. https://doi.org/10.1016/j.apgeochem.2012.10.031
    Zuo, R. G., Xiong, Y. H., Wang, J., et al., 2019. Deep Learning and Its Application in Geochemical Mapping. Earth-Science Reviews, 192: 1–14.https://doi.org/10.1016/j.earscirev.2019.0 2.023 doi: 10.1016/j.earscirev.2019.02.023
  • 加载中

Catalog

    通讯作者: 陈斌, bchen63@163.com
    • 1. 

      沈阳化工大学材料科学与工程学院 沈阳 110142

    1. 本站搜索
    2. 百度学术搜索
    3. 万方数据库搜索
    4. CNKI搜索

    Figures(15)  / Tables(3)

    Article Metrics

    Article views(237) PDF downloads(19) Cited by()
    Proportional views
    Related

    /

    DownLoad:  Full-Size Img  PowerPoint
    Return
    Return