Advanced Search

Indexed by SCI、CA、РЖ、PA、CSA、ZR、etc .

Volume 37 Issue 2
Apr 2026
Turn off MathJax
Article Contents
Nardthida Kananithikorn, Thitirat Siriborvornratanakul. Investigating Downhole Drilling Temperature Prediction: A Data-Driven Trial of Machine Learning and Deep Learning Methods. Journal of Earth Science, 2026, 37(2): 828-842. doi: 10.1007/s12583-025-0263-9
Citation: Nardthida Kananithikorn, Thitirat Siriborvornratanakul. Investigating Downhole Drilling Temperature Prediction: A Data-Driven Trial of Machine Learning and Deep Learning Methods. Journal of Earth Science, 2026, 37(2): 828-842. doi: 10.1007/s12583-025-0263-9

Investigating Downhole Drilling Temperature Prediction: A Data-Driven Trial of Machine Learning and Deep Learning Methods

doi: 10.1007/s12583-025-0263-9
More Information
  • Corresponding author: Thitirat Siriborvornratanakul, thitirat@as.nida.ac.th
  • Received Date: 06 Jun 2024
  • Accepted Date: 27 Aug 2024
  • Available Online: 30 Mar 2026
  • Issue Publish Date: 30 Apr 2026
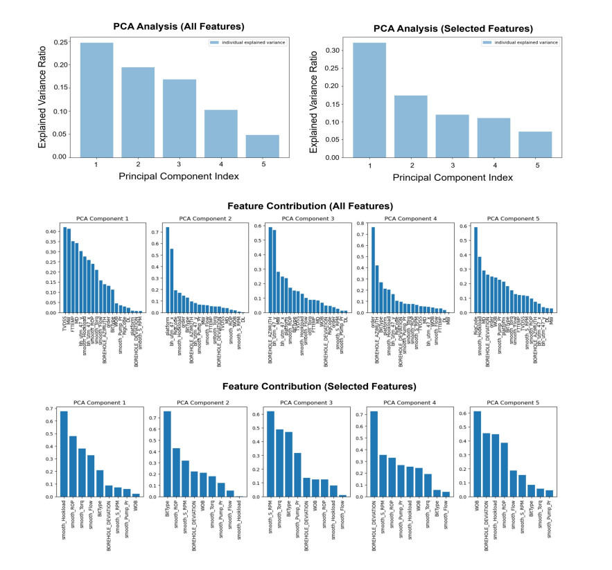
  • Understanding the dynamic behavior of downhole temperature during drilling operations is crucial for optimizing tool configuration and maximizing the acquisition of logging data, thereby eliminating the need for additional tripping or wireline logging runs. This paper presents a comprehensive study on the application of machine learning and deep learning techniques for predicting downhole temperatures in drilling operations. Following an extensive preprocessing stage that included smoothing and normalizing drilling parameters and related well data, the study compares several machine learning algorithms and long short-term memory (LSTM) architectures. Notable models such as random forest, k-nearest neighbors, decision tree regressors, and LSTM (both sequential and encoder-decoder) were found to be effective for temperature prediction. The LSTM Encoder-Decoder model demonstrated the highest accuracy, with a root mean squared error (RMSE) of 0.892, though it requires higher computational resources. Sensitivity analysis of the model identified revolutions per minute (RPM) and borehole deviation as key factors, providing valuable insights for model refinement and improved thermal management.

     

  • Availability of Data and Materials
    The data associated with this study cannot be made publicly available due to confidentiality constraints imposed by Chevron Corporation. As a result, the research data used in this study are not accessible to external parties. However, the findings and conclusions drawn from this study are based on the analysis of proprietary data provided by Chevron.
    Conflict of Interest
    The authors declare that they have no conflict of interest.
  • loading
  • Abadi, M., Agarwal, A., Barham, P., et al., 2015. TensorFlow: Large-Scale Machine Learning on Heterogeneous Systems. Software available from tensorflow. org
    Abdelhafiz, M. M., Hegele, L. A., Oppelt, J. F., 2021. Temperature Modeling for Wellbore Circulation and Shut-in with Application in Vertical Geothermal Wells. Journal of Petroleum Science and Engineering, 204: 108660. https://doi.org/10.1016/j.petrol.2021.108660
    Abdelhafiz, M. M., Oppelt, J., Mahmoud, O., et al., 2023. Effect of Drilling and Wellbore Geometry Parameters on Wellbore Temperature Profile: Implications for Geothermal Production. Advances in Geo-Energy Research, 8(3): 170–180. https://doi.org/10.46690/ager.2023.06.04
    Al-Fakih, A., Li, K. W., 2022. Estimation of Bottom-Hole Temperature Based on Machine/Deep Learning. Proceedings of the 2021 International Petroleum and Petrochemical Technology Conference. Springer, Singapore
    Ali, M., 2020. PyCaret: An Open Source, Low-Code Machine Learning Library in Python. Pycaret Version 1.0 (2020). Retrieved from https://www.pycaret.org
    Al-Qahtani, A. S., Momtan, B. A., 2023. Generating Synthetic Temperature Surveys for Wells through Subsurface Spatial Machine Learning Modeling and Time Series Forecasting. ADIPEC. October 2–5, 2023. Abu Dhabi, UAE. Richardson: Society of Petroleum Engineers, SPE 216137-MS. https://doi.org/10.2118/216137-ms
    Cheraghian, G., 2021. Nanoparticles in Drilling Fluid: A Review of the State-of-the-Art. Journal of Materials Research and Technology, 13: 737–753. https://doi.org/10.1016/j.jmrt.2021.04.089
    Cho, K., van Merrienboer, B., Gulcehre, C., et al., 2014. Learning Phrase Representations Using RNN Encoder-Decoder for Statistical Machine Translation. Proceedings of the 2014 Conference on Empirical Methods in Natural Language Processing (EMNLP). Doha, Qatar. Stroudsburg, PA, USA: ACL, 1724–1734. https://doi.org/10.3115/v1/d14-1179
    Dursun, S., Kumar, A., Samuel, R., 2014. Using Data-Driven Predictive Analytics to Estimate Downhole Temperatures while Drilling. SPE Annual Technical Conference and Exhibition. October 27–29, 2014. Amsterdam, The Netherlands. Richardson: Society of Petroleum Engineers, SPE 170982-MS. https://doi.org/10.2118/170982-ms
    Gautam, S., Guria, C., Gope, L., 2021. Prediction of High-Pressure/High-Temperature Rheological Properties of Drilling Fluids from the Viscosity Data Measured on a Coaxial Cylinder Viscometer. SPE Journal, 26(5): 2527–2548. https://doi.org/10.2118/206714-pa
    Gul, S., Aslanoglu, V., Tuzen, M. K., et al., 2019. Estimation of Bottom Hole and Formation Temperature by Drilling Fluid Data: A Machine Learning Approach. Proceedings of the 44th Workshop on Geothermal Reservoir Engineering, Stanford University, Stanford
    Hochreiter, S., Schmidhuber, J., 1997. Long Short-Term Memory. Neural Computation, 9(8): 1735–1780. https://doi.org/10.1162/neco.1997.9.8.1735
    Khaled, M. S., Wang, N. Y., Ashok, P., et al., 2023. Strategies for Prevention of Downhole Tool Failure Caused by High Bottomhole Temperature in Geothermal and High-Pressure/High-Temperature Oil and Gas Wells. SPE Drilling & Completion, 38(2): 243–260. https://doi.org/10.2118/212550-pa
    Kumar, A., Samuel, R., 2013. Analytical Model to Predict the Effect of Pipe Friction on Downhole Fluid Temperatures. SPE Drilling & Completion, 28(3): 270–277. https://doi.org/10.2118/165934-pa
    Liu, C., Phan, D. T., Abousleiman, Y. N., 2023. Effects of Temperature and Rate-Dependent Mud Cake Buildup on Wellbore Stability in Multi-Permeability Formations. Middle East Oil, Gas and Geosciences Show. February 19–21, 2023. Manama, Bahrain. Richardson: Society of Petroleum Engineers, SPE 213374-MS. https://doi.org/10.2118/213374-ms
    Mao, L. J., Wei, C. J., Jia, H., et al., 2023. Prediction Model of Drilling Wellbore Temperature Considering Bit Heat Generation and Variation of Mud Thermophysical Parameters. Energy, 284: 129341. https://doi.org/10.1016/j.energy.2023.129341
    Olukoga, T. A., Feng, Y., 2021. Practical Machine-Learning Applications in Well-Drilling Operations. SPE Drilling & Completion, 36(4): 849–867. https://doi.org/10.2118/205480-pa
    Pedregosa, F., Varoquaux, G., Gramfort, A., et al., 2011. Scikit-Learn: Machine Learning in Python. Journal of Machine Learning Research, 12: 2825–2830
    Piccialli, V., Sciandrone, M., 2022. Nonlinear Optimization and Support Vector Machines. Annals of Operations Research, 314(1): 15–47. https://doi.org/10.1007/s10479-022-04655-x
    Ramadan, A. M., Osman, A., Mehanna, A., et al., 2024. Simulation of Filter-Cake Formations on Vertical and Inclined Wells under Elevated Temperature and Pressure. SPE Journal, 29(5): 2212–2224. https://doi.org/10.2118/219446-pa
    Suryadi, H., Bolchover, P., Xin, C., et al., 2017. Application of Dynamic Temperature Modelling for Planning High Temperature Well. Middle East Oil & Gas Show and Conference, Manama, Bahrain
    Williams, R. J., Zipser, D., 1989. A Learning Algorithm for Continually Running Fully Recurrent Neural Networks. Neural Computation, 1(2): 270–280. https://doi.org/10.1162/neco.1989.1.2.270
    Xiao, D., Hu, Y. F., Meng, Y. F., et al., 2022. Research on Wellbore Temperature Control and Heat Extraction Methods while Drilling in High-Temperature Wells. Journal of Petroleum Science and Engineering, 209: 109814. https://doi.org/10.1016/j.petrol.2021.109814
    Zhang, Y., Li, Y. A., Kong, X. W., et al., 2024. Temperature Prediction Model in Multiphase Flow Considering Phase Transition in the Drilling Operations. Petroleum Science, 21(3): 1969–1979. https://doi.org/10.1016/j.petsci.2024.01.004
  • 加载中

Catalog

    通讯作者: 陈斌, bchen63@163.com
    • 1. 

      沈阳化工大学材料科学与工程学院 沈阳 110142

    1. 本站搜索
    2. 百度学术搜索
    3. 万方数据库搜索
    4. CNKI搜索

    Figures(13)  / Tables(3)

    Article Metrics

    Article views(96) PDF downloads(7) Cited by()
    Proportional views
    Related

    /

    DownLoad:  Full-Size Img  PowerPoint
    Return
    Return